当前位置: 材料牛 » HTH官网地址 » 导读 » 重要发现: 氧三团簇使玻璃兼具高硬度和低脆性!

重要发现: 氧三团簇使玻璃兼具高硬度和低脆性!

【导读】

近期,由武汉理工大学陶海征教授、上海光机所任进军研究员和丹麦奥尔堡大学岳远征教授组建的联合团队,发现:铝硅酸盐玻璃存在一个铝含量临界点,也就是说,在临界点以上,玻璃硬度和抗裂纹萌生能力随铝含量增加同时展现巨大提升;通过同位素技术、系列先进的核磁共振测试方法等手段,首次量化了三配位氧的分数([(3)O],解决了多年来玻璃中二配位氧和三配位氧无法量化这一科学难题;发现[(3)O]与玻璃的抗裂纹萌生能力存在定量关系,从而为高硬高韧玻璃的结构和力学性能设计提供了关键理论和实验基础。相关研究成果以“Oxygen tri-clusters make glass highly crack-resistant”为题发表在国际著名材料科学期刊Acta Materialia上。

【核心创新点】

氧化物玻璃因其出色的透光性、多样化的功能特性以及卓越的热、力学和化学稳定性,被视为人类文明和社会可持续发展中最具价值的一种材料。然而,无机玻璃具有固有的高脆性弱点,也就是说,该类材料中裂纹更容易萌生和扩展,使该类材料在服役过程中出现灾难性断裂的概率极大,从而限制了该类材料作为结构件的应用范围。基于互联化、共享化等时代发展新趋势,兼具高硬度低脆性的玻璃在智能手机、笔记本电脑、平板电脑和可穿戴设备显示屏领域具有极为迫切的需求。因此,如何降低无机玻璃的脆性,长期以来一直是玻璃领域亟待攻克的难题之一;如何设计出符合市场需求的高硬耐刮擦和低脆性玻璃,是该领域具有重大挑战性的课题。为解决这一问题,找寻阻碍裂纹萌生并抑制其扩展的方法至关重要。尽管在此领域已取得了一些进展,但提升玻璃硬度的同时降低玻璃的脆性仍面临重大挑战,其背后关键的结构因素尚未完全理解

目前,人们发现少数铝硅酸盐玻璃可同时兼具高硬高抗碎裂性。国际上普遍认为Al2O3的含量提高可以同时提升玻璃硬度和抗碎裂性,但是玻璃中Al2O3含量与其他元素如何配比才可达到最佳性能是所有玻璃研究者一直困扰的难题。为了解决和阐明这一矛盾性关键科学问题,结合团队在特种玻璃领域的多年研究基础,本工作通过玻璃组成设计,利用无容器气动悬浮激光加热技术,通过系统地改变Al2O3的含量,成功的制备出从纯硅酸盐(m=0)到极端过铝(m=80)的组成为50CaO·mAl2O3·(100-m)SiO2的玻璃。通过系统实验表征,具体发现如下:

1)铝硅酸盐玻璃存在一个铝含量临界点

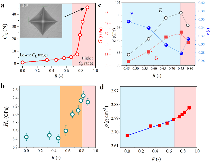
系统力学性能表征发现:玻璃的硬度、弹性模量、剪切模量和泊松比与氧化铝含量并不呈正相关;但是,抗裂纹萌生能力(CR)超过临界点后出现陡然提升的现象。

2)首次量化了三配位氧的分数([(3)O]

制备了含高丰度17O的样品,并采取一系列先进的固态核磁共振(NMR)技术,包括17O MAS、29Si MAS、17O{27Al} TRAPDOR和27Al{17O} WURST-J-HMQC双共振实验方法,准确地识别了玻璃中非桥氧(NBOs)的相连形式,实现了原子级别的结构分辨率;发现NBOs更偏向于与Si而非与Al结合;由于两配位桥氧和三配位氧的17O MAS NMR信号之间存在高度重叠,仅通过17O MAS NMR 与17O MQMAS 谱无法精确解析出三配位氧。团队在精确解析玻璃原子尺度的结构基础上,提出了一种玻璃中量化三配位氧分数([(3)O])的新结构模型;再通过玻璃结构的定量计算,首次量化了玻璃中[(3)O]含量,这标志着“如何量化玻璃中三配位氧”这一科学难题经多年探索后成功解决,是玻璃科学领域的一个重要里程碑。

3)发现[(3)O]与玻璃的抗裂纹萌生能力存在定量关系

随着Al2O3含量变化,发现[(3)O] 分数与CR的演变趋势显示出高度的一致性。该发现揭示了,在铝硅酸盐玻璃中,Al2O3提高玻璃硬度和韧性背后的结构根源是氧三团簇在增强玻璃CR方面起着关键作用。氧三团簇的存在有助于机械冲击能量的耗散,从而在局部增加了材料的延展性。这一发现对于理解和优化玻璃的力学性能具有重要的指导意义。

【数据概览】

图 1. 二维27Al{17O} WURST-J-HMQC固态核磁共振实验脉冲序列。

图 2. 50CaO·mAl2O3·(100-m)SiO2玻璃力学性能与氧化铝含量的关系。(a) 抗裂纹萌生能力CR; (b)维氏显微硬度HV; (c)剪切模量G、弹性模量E和泊松比υ; (d)密度ρ。注:R=[Al/(A1+Si)]。

图 3. 含高丰度17O玻璃的17O MAS NMR谱。(a) 50CaO·mAl2O3·(100-m)SiO2玻璃的17O自旋回波谱。(b) 40Al2O3·60SiO2·50CaO玻璃的17O{27Al} TRAPDOR谱。绿色虚线和蓝色实线分别代表有和无27Al激发脉冲的谱。激发时间为1.32毫秒。(c) 40Al2O3·60SiO2·50CaO玻璃二维的27Al{17O} WURST-J-HMQC谱。

图 4. 核磁共振波谱法的结构表征。 (a) 50CaO·mAl2O3·(100-m)SiO2玻璃的27Al MAS NMR谱。(b) R= 0.89玻璃的27Al MQMAS 谱,其中星号表示自旋边带。(c)当摩尔比R=[Al/( Al +Si)])时,含高丰度17O的50CaO·mAl2O3·(100-m)SiO2玻璃29Si MAS NMR谱。(d)[(3)O]分数和CRR演变趋势的比较。

图 5. (3)O提升抗裂纹萌生能力的微观机理图。左图:[Al]/([Al]+[Si]) >~0.7的钙铝硅酸盐玻璃中程尺度结构异质示意图。结构异质涉及两种类型的团簇:Ca0.5AlSiO4团簇(黄色阴影区域)和含氧((3)O)的富Al2O3的Cam/2Al(3m-100)O(5m-150)团簇(蓝色虚线圆圈)。右图:通过局部能量耗散阻碍裂纹萌生的结构示意图。能量耗散通过(3)O的键合环境变化的三种可能路径实现。路径1:Al的配位数从5变为6;路径2:打开和重新关闭(3)O-Al键;路径3:将一个(3)O-Al键切换到另一个桥接氧上。

论文链接:

https://doi.org/10.1016/j.actamat.2023.119425

未经允许不得转载:材料牛 » 重要发现: 氧三团簇使玻璃兼具高硬度和低脆性!

相关文章

Baidu
map