一、【导读】
具有高理论比容量、低氧化还原电位的金属钾(K)或石墨(Gr)是基于丰产元素钾离子电池(PIBs)的理想负极选择,由于对K的化学惰性,使得质轻且价廉的铝(Al)可以取代传统的铜作为PIBs的负极集流体,在减少电池非活性物质重量占比的同时进一步降低电池的构建成本。然而由于高反应活性负极表面缺乏有效的固体电解质中间相(SEI)钝化层,长循环过程中电解液在负极端持续发生的还原反应易导致电极容量快速衰减、电池循环可逆性较差。
尽管传统碳酸酯基电解液具有优异的室温离子导电率和一定的钾电负极兼容性(可实现较高的初始Gr储钾容量和K金属循环效率),但易燃溶剂以及热稳定性较差的溶质盐在高温及热失控条件下容易起火、甚至发生爆炸,高反应性负极的使用更加剧了钾电面临的安全隐患,严重阻碍了PIBs的实际应用。探索合适的固态电解质被认为是解决上述安全问题的有效途径,但目前全固态钾离子型快离子导体的室温电导率普遍较低(<10-4 S cm-1)、与电极间界面阻抗大,短时间内仍难以克服技术壁垒。因此,如何开发出兼顾高安全性与高电极相容性的液态电解液成为目前PIBs领域的一大研究热点。
二、【成果掠影】
四川大学肖丹教授、深圳大学秦磊研究员等人为了解决钾基电池面临的安全问题,通过在高浓度双(氟磺酰)亚胺钾(KFSI)/磷酸三甲酯(TMP)中添加低级性的高氟代醚类稀释剂来构建具有本征阻燃特性的磷酸酯基局部高浓度电解液(LHCE)。在LHCE体系中,溶剂化鞘中钾离子-盐阴离子间相互作用得到增强,独特的电解液溶剂化结构能够促进在负极表面形成富含无机物组分、结构稳定的SEI保护层,可以有效钝化高活性的金属K或嵌钾石墨负极,抑制界面副反应的持续发生。相较于传统的碳酸酯类电解液,长时间静置条件下SEI的自溶解现象得到有效抑制。与此同时,由于LHCE中较少的自由溶剂数量,极大拓宽了电解液稳定窗口,并有效抑制充电高电压条件下由FSI–阴离子诱导的铝基正极集流体腐蚀现象,使电解液可以很好的匹配高电压正极。相关研究成果以“Tuning solvation structure in non-flammable, localized high-concentration electrolytes with enhanced stability towards all aluminum substrate-based K batteries.”发表在Energy Storage Material上。

三、【核心创新点】
1. 与传统易燃的碳酸酯/醚类电解液相比,所设计的基于TMP溶剂的LHCE具有固有的阻燃特性,电解液的高温安全性得到显著提升。
2. 通过引入非溶剂性高氟代稀释剂,进一步降低钾离子的溶剂化程度并形成大量的盐阴离子-钾离子对,通过成膜过程中盐阴离子在负极的择优分解自发形成坚固、富含无机物组分的高强度SEI钝化层,来解决常规低浓度电解液阻燃溶剂不适当钝化负极而导致的电池性能降低;并通过减少自由溶剂,显著提升KFSI基电解液与Al基正极集流体的相容性。
3. 使用Al基集流体作为K金属的沉积/剥离宿主,观察到在LHCE体系中K负极上由FSI–盐阴离子分解主导衍生的SEI钝化层存在动力学自活化过程,经历初始循环过程后,K金属沉积/剥离过电位逐渐降低并趋于稳定,这意味着稳定K电极/电解液界面的构筑。
四、【数据概览】

图1 电解液的溶剂化结构表征。(a)TMP溶剂和FSI–阴离子在低浓度电解液TMP_LCE(1.0 M KFSI/TMP),高浓度电解液TMP_HCE(4.20 m KFSI/TMP)和局部高浓度电解液TMP_LHCE的Raman图谱;(b)各种电解液中与FSI–相关的物种(包括自由阴离子、接触离子对和团聚体)占比的统计柱状图;(c)TMP_HCE以及TMP_LHCE体系里TMP溶剂中-CH3的1H NMR图谱比较;(d)LHCE中K+和临近O原子的径向分布函数;(e)LHCE中不同组分的原子投影态密度比较;(f)K金属在LHCE电解液中久置后的副产物19F NMR图谱。@2023 The Authors

图2 不同电解液中Al箔基底作为K金属沉积宿主循环效率以及正极集流体抗高电压氧化性能比较。(a)不同电解液中金属K在Al箔基底的沉积-剥离行为及(b)相应的库伦循环效率和(c)Aurbach效率比较;(d)4.5 V恒电位条件下Al箔基底的阳极氧化曲线及循环后Al箔的SEM图(d插图);铝箔在(e)LCE电解液中的腐蚀示意图以及(f)在LHCE中的腐蚀抑制机理示意图。@2023 The Authors

图3 Al箔基底作为K金属沉积宿主界面反应动力学分析。(a)K/Al半电池在碳酸酯类电解液和所设计的阻燃LHCE中首圈特征沉积-剥离曲线图;(b)K/Al半电池前40圈的K沉积-剥离过电位(ΔV)、形核电位(ηn)及形核过电位(Δη)趋势图;(c-d)K/Al半电池在碳酸酯电解液和LHCE电解液中前两圈沉积-剥离过程中电化学阻抗的三维分布弛豫时间图谱比较;(e)K/Al半电池在特定电压区间内(0.01~2.0 V)的电压-时间曲线(每5圈循环后搁置特定时间)和(f)不同搁置时间后半电池放电容量增长示意图比较。@2023 The Authors

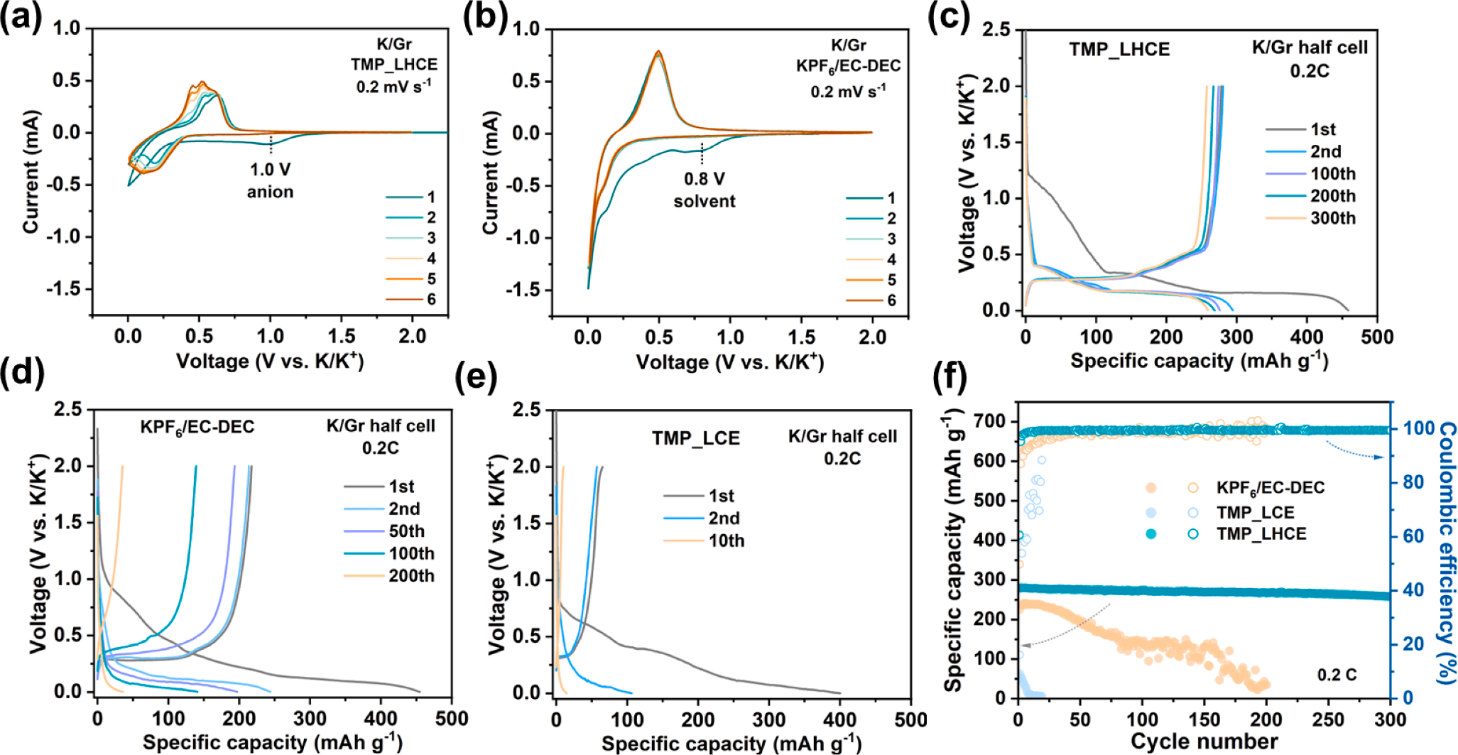
图4 不同电解液中以Al箔基底作为集流体的Gr负极储钾循环可逆性比较。K/Gr半电池在(a)所设计的TMP_LHCE和(b)传统碳酸酯类电解液中的循环伏安曲线比较;K/Gr半电池在(c)TMP_LHCE,(d)0.8 M KPF6/EC-DEC和(e)TMP_LCE电解液中特征充放电电压曲线和(f)Gr长程储钾稳定性比较。@2023 The Authors

图5 不同电解液体系下Gr负极表面SEI特性表征。K/Gr半电池20圈循环后Gr负极的(a)F谱和(b)P谱XPS特征图谱;及(c)SEI层中各组分的相对占比柱状统计图;(d)不同电解液体系中对应SEI的形成机制及其对所形成SEI稳定性的影响。@2023 The Authors

图6 以Al箔为正负极集流体的钾离子全电池电化学性能表征。(a-b)K/普鲁士蓝和(d-e)嵌钾石墨/普鲁士蓝钾离子全电池在所设计的阻燃LHCE电解液体系中的特征充放电曲线、可逆循环容量和效率比较;(c)以嵌钾石墨为负极,普鲁士蓝为正极、Al箔为正负极集流体、阻燃LHCE为电解液的“摇椅式”钾离子全电池工作原理示意图。@2023 The Authors
五、【成果启示】
本文设计了一种阻燃的磷酸酯基局部高浓电解液,在Al基基底上实现了K金属的高效稳定沉积/剥离(超过800次循环,高达98%的平均循环可逆效率)以及在Gr中高效可逆储钾(0.2 C电流密度300次循环后仍具有257.6 mAh g-1的可逆嵌钾容量)。通过对K/Al半电池的界面动力学分析,发现使用Al基底为金属沉积宿主时,K金属负极表面生成的SEI表现出动力学自活化过程,经历初始循环过程后,K金属沉积/剥离过电位和SEI界面电阻都有所降低。得益于盐阴离子衍生的富含无机物组分的负极SEI、优异的电化学窗口、显著抑制的正极铝集流体腐蚀,所组装的钾离子全电池表现出优异的电化学稳定性。
将不易燃溶剂与LHCE概念相结合,有助于更好地理解电解液溶剂化化学,为基于全铝基基底(正负极集流体)的PIBs提供更多使用高理论克容量金属K或Gr负极的机会,并使这些PIBs兼具高性能和极好的安全性。
文献链接:Xiaojuan Chen, Yan Meng, Dan Xiao, Yiying Wu, Lei Qin, Tuning solvation structure in non-flammable, localized high-concentration electrolytes with enhanced stability towards all aluminum substrate-based K batteries, Energy Storage Mater., 2023, 61, 102923.
https://doi.org/10.1016/j.ensm.2023.102923.
本文由辞书供稿





