一、 【导读】
锂电池在目前全球新能源市场中,在新能源电池中应用广泛。钠离子电池和锂离子电池的工作原理可以说是非常接近的,但在电池材料方面还是存在一定差异。钠离子电池是利用钠离子在充放电时,在正极、负极材料中反复地嵌入、脱出,从而发生可逆的氧化还原反应,故其工作原理与锂离子电池相似。电池材料上的差异主要体现在正极、负极和集流体方面。
钠电池材料成本相比于锂电池大幅下降。其材料成本降幅在30%-40%,其降本原因主要在于:1、金属钠地壳丰度高,价格远低于锂。2、集流体不同,锂电负极集流体必须为铜箔,而钠电池正负极集流体可以均为更为便宜的铝箔。2023年有望成为钠离子电池量产元年,对于钠离子电池相关企业可以关注:宁德时代、维HTH官网地址 术、华阳股份、振华新材、鹏辉能源等。
二、【成果掠影】
层状钠锰基氧化物可用于钠离子电池的正极材料,但有限的初始库仑效率(ICE)和较差的结构稳定性成为其发展受限的原因。高熵双相Na0.7Mn0.4Ni0.3Cu0.1Fe0.1Ti0.1O1.95F0.1正极材料被报道表现出显著的初始库仑效率(ICE)、倍率性能和循环性能。原位结构分析揭示了,在正极制备过程中通过改变烧结温度,可调的P2/O3的比例。合成的高熵氧化物的P2/O3比为23:77(wt%),提供了97.6%的高ICE,在800 mA g-1的电流密度下具有86.7 mAh g-1的可观放电比容量,以及在-40至50 ℃的宽温度范围内具有可观的容量保持率。另外,基于正极的质量,在1172 W Kg-1的功率密度下,耦合Na0.7Mn0.4Ni0.3Cu0.1Fe0.1Ti0.1O1.95F0.1和硬碳的全电池表现出268.3Wh kg-1的能量密度。该工作由山东理工大学的周晋教授、翁俊迎副教授联合南开大学的程方益教授,以标题为:“High-entropy P2/O3 biphasic cathode materials for wide-temperature rechargeable sodium-ion batteries”发表在Energy Storage Materials上。

三、【核心创新点】
- 在不同烧结温度下,P2/O3比例可调的P2/O3双相结构的生成。
- 合成的高熵氧化物的P2/O3比为23:77(wt%),提供了97.6%的高ICE,在800 mA g-1的电流密度下具有86.7 mAh g-1的可观放电容量,以及在-40至50 ℃的宽温度范围内具有可观的容量保持率。
四、【数据概览】

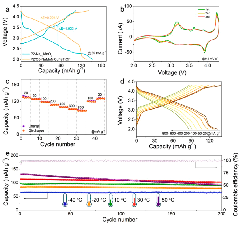
图1. (a)P2/O3-NaMnNiCuFeTiOF在烧结过程中的原位XRD图的等高线图。(b)在550 ℃下烧结的NaMnNiCuFeTiOF的HRTEM图像。(c)在各种温度下烧结的P2/O3-NaMnNiCuFeTiOF的P2/O3比和(d)初始充电/放电曲线。©2023 Energy Storage Materials

图2. (a) XRD精修图谱,(b)P2和O3相的晶体结构示意图,(c)HRTEM图像,(d)EDS图谱,(e)在900 ℃下烧结的P2/ O3-NaMnNiCuFeTiOF的XPS光谱。©2023 Energy Storage Materials

图3. (a)P2-Na0.7MnO2和P2/O3-NaMnNiCuFeTiOF的初始充电/放电曲线。(b)前三个CV曲线,(c)倍率性能,和(d)P2/03-NaMnNiCuFeTiOF在不同温度下的循环性能。©2023 Energy Storage Materials

图4. 在(a)30 ℃和(B)-40 ℃下初始充电/放电过程中的原位XRD图,(c)不同温度下原位XRD图的等高线图,(d)Na+提取后晶格参数的演变,(e)XRD图,(f)老化P2/O3-NaMnNiCuFeTiOF的HRTEM图像,以及(h)循环P2/ O3-NaMnNiCuFeTiOF的HRTEM图像。©2023 Energy Storage Materials

图5. (a)P2/O3-NaMnNiCuFeTiOF在不同充电/放电状态下的初始循环期间的非原位XPS光谱。(b)原始状态和(c,d)充电至4.0V的P2/O3-NaMnNiCuFeTiOF的HAADF图像。(e)Ni迁移的示意图。©2023 Energy Storage Materials

图6. 用NEB方法计算了Na离子在(a)纯P2-Na0.7MnO2、(b)掺杂P2-Na0.7MnO2、(d)纯O3-NaMn0.5Ni0.5O2和(e)掺杂O3-NaMn0.5Ni0.5O2中的最佳扩散路径。(g)在不同温度下的EIS光谱,(h)GITT曲线,(i)计算的P2/O3-NaMnNiCuFeTiOF的DNa+。©2023 Energy Storage Materials

图7. (a)初始前三圈充电/放电曲线,(b)倍率性能,(c)相应的能量密度和功率密度,(d)全电池P2/03-NaMnNiCuFeTi OF//硬碳的长循环性能。(h)P2/O3-NaMnNiCuFeTiOF的结构演化示意图。©2023 Energy Storage Materials
五、【成果启示】
本文设计并合成了一种高熵P2/O3-NaMnNiCuFeTiOF作为一种有前途的SIB正极材料。通过原位XRD分析发现,在不同烧结温度下,P2/O3比例可调的P2/O3双相结构的生成。组成配方的P2/O3-NaMnNiCuFeTiOF提供高ICE(20 mA g−1时为97.6%)、相当大的倍率性能(800 mA g −1时为86.7 mAh g− 1)、在宽范围内的显著容量保持率(200 mA g−1时为97.6%)、高容量保持率(800 mA g−1时为86.7 mAh g−1)。
结合实验和计算研究表明,所制备的Na0.7Mn0.4Ni0.3Cu0.1Fe0.1Ti0.1O1.95F0.1正极由于独特的P2/O3两相结构和高熵效应,具有可逆的结构演化、快速的Na+扩散动力学和低的能垒。为高熵P2/O3双相正极的设计和制备带来了深入的见解,以构建先进的钠离子电池。
原文详情:https://www.sciencedirect.com/science/article/pii/S2405829723001083
本文由金爵供稿





