当前位置: 材料牛 » HTH官网地址 » 南工大刘庆丰/昆士兰HTH官网地址 大学陈志刚Energy & Environmental Science:Ag2Se基热电材料:从材料到应用

南工大刘庆丰/昆士兰HTH官网地址 大学陈志刚Energy & Environmental Science:Ag2Se基热电材料:从材料到应用

 

【引言】

随着化石能源消耗量的大幅增长,寻找可再生能源和开发可持续发电技术尤为迫切。热电转化技术可以实现热能和电能之间的直接转换,且转化过程绿色环保、零噪音、无碳排放,在实现“双碳”目标上展现出巨大的潜力。作为典型的快离子导体的一种,Ag2Se具有极高的载流子迁移率和极低的热导率,在室温区具有优异的ZT值,在柔性可穿戴设备和固态制冷器件上展现出极大的应用潜力。考虑到Ag2Se基热电材料和器件的快速发展,对其研究进展、面临挑战和未来发展前景进行及时地总结非常重要。

 

【成果简介】

南京工业大学刘庆丰教授与昆士兰HTH官网地址 大学陈志刚教授合作发表了长篇综述论文,系统地总结了Ag2Se基热电材料和器件的最新研究进展。该综述全面地总结了Ag2Se的基本属性,包括热力学、晶体结构、能带结构、机械性能和本征的电/热传输性能;概述了优化Ag2Se基块体材料的热电性能、机械性能和稳定性的先进策略,如引入第二相、合金化、掺杂和化学计量调控等;全面总结了Ag2Se基薄膜材料和柔性器件的重要发展,包括各向异性调控、开发杂化薄膜用于优化薄膜性能,通过计算模拟,开发新的制造技术来进行器件设计等;最后,概括了目前尚未解决的挑战,并展望了Ag2Se基热电材料和器件未来的发展方向。

 

【图文导读】

要点1:Ag2Se基热电材料和器件的进展

Ag2Se热电材料近年来发展迅速,块体和薄膜材料的热电性能得到显著提升,基于薄膜的柔性热电器件受到了越来越多的关注。

图1. Ag2Se基热电材料与器件的性能总结。

 

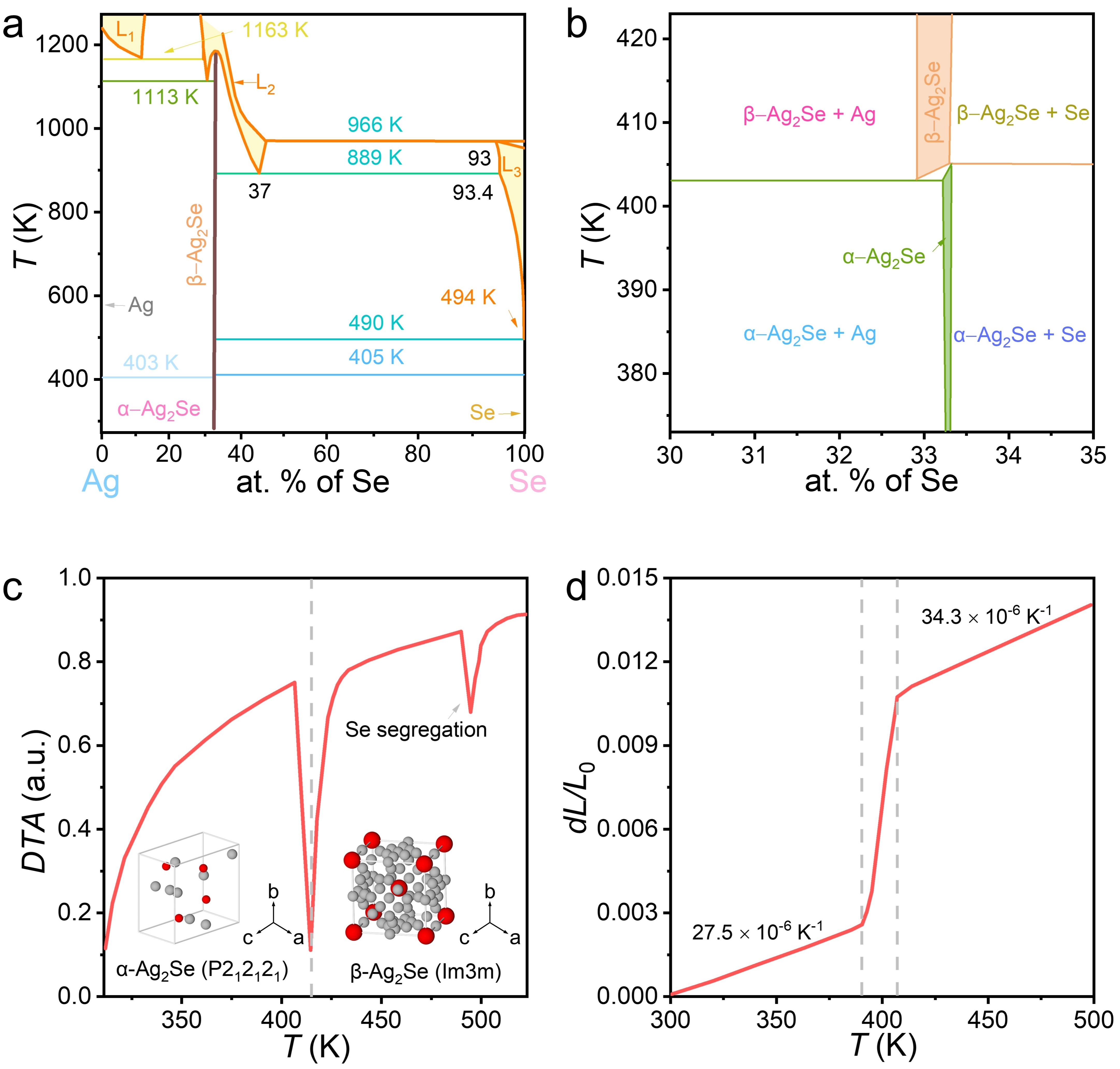
要点2:Ag2Se的热力学属性

这里系统地总结了Ag2Se的热力学性质,包括相图,温度相关的差热分析以及相对长度的变化,热膨胀系数等。

图2. Ag2Se的热力学性质。

 

要点3:Ag2Se的晶体结构特征

这里系统地总结了块体α-Ag2Se和β-Ag2Se的晶体结构特征,并介绍了Ag2Se薄膜和纳米晶的晶体结构特征。

图3. Ag2Se的晶体结构图。

 

要点4:Ag2Se的能带结构和本征电传输性能

这里系统地总结了Ag2Se的本征电传输性能,从能带结构出发,结合单抛物模型来总结塞贝克系数和载流子浓度的关系,同时总结了Ag2Se的本征载流子浓度和载流子迁移率。

图4. Ag2Se的本征电传输性能。

 

要点5:Ag2Se的本征热传输性能

这里总结了Ag2Se的快离子导体的结构特征,并从声子色散关系等角度来总结其具有低热导率的原因,最后对比了Ag2Se和典型的快离子导体的热导率。

图5. Ag2Se的本征热传输性能。

 

要点6:合金化调控Ag2Se的热电性能和机械性能

这里总结了S,Te合金化对Ag2Se的热电性能和机械性能的调控,包括对能带结构,载流子浓度和迁移率,微观结构的影响。

图6. S/Te合金化Ag2Se的热电性能和机械性能。

 

要点7:掺杂对于Ag2Se的热电性能的调控

这里总结了采用湿化学法进行阳离子位掺杂的Ag2Se,包括合成方法和掺杂对热电性能的调控。

图7. 湿化学法进行Ag2Se的阳离子位掺杂。

 

要点8:引入第二相来调控Ag2Se的热电性能和机械性能

除了合金化和掺杂,引入第二相可以显著地改Ag2Se的热电性能和机械性能,本节总结了第二相的引入机制,第二相的类别,对热电性能和机械性能的提升机理。

图8. Ag2Se复合材料的热电性能和机械性能。

 

要点9:调控化学计量比和晶粒择优生长来调控Ag2Se薄膜的热电性能

这里介绍了纯Ag2Se薄膜的热电性能的调控策略,包括调控Ag-Se的化学计量比、新的薄膜制备工艺和调控晶粒的生长取向等。

图9. Ag2Se薄膜的热电性能。

 

要点10:Ag2Se有机杂化薄膜

这里介绍了Ag2Se-有机杂化薄膜的研究进展,包括制备工艺和性能调控策略。从调控策略的角度可以分为强化结晶度,引入界面势垒,提升柔韧性。

图10. Ag2Se-有机杂化薄膜的制备工艺、热电性能及柔性。

 

要点11:Ag2Se无机杂化薄膜

这里介绍了Ag2Se无机杂化薄膜的研究进展,总结了包括Ag纳米颗粒,CuAgSe颗粒,碳材料等对于Ag2Se薄膜的热电性能和柔性的调控。

图11. Ag2Se-无机复合薄膜的微观结构,Ag-Ag2Se、CuAgSe-Ag2Se和Ag-CuAgSe的平衡能带图,复合薄膜的电传输性能和弯曲循环测试。

 

要点12:打印Ag2Se薄膜

这里介绍了打印Ag2Se薄膜的研究进展,包括制备工艺和热电性能。

图12. Ag2Se基柔性器件的打印制备流程,薄膜和基底的微观结构和打印薄膜的电传输性能。

 

要点13:Ag2Se柔性器件的计算模拟

这里介绍了计算模拟来指导Ag2Se器件设计的研究进展,包括器件的几何尺寸、温度场和势场等。

图13. 热电臂的尺寸和温差模拟,柔性热电器件的制备过程,温度场和势场模拟,器件的输出性能。

 

要点14:新开发的器件制备技术和新奇的器件

这里系统地介绍了在开发Ag2Se器件中应用到的新技术,如3D打印和机器学习等,还介绍了一些新奇的热电器件,如自愈合的柔性器件和可穿戴制冷器件等。

 

图14. 3D打印Ag2Se基柔性器件的制备过程,机器学习辅助制备Ag2Se薄膜,Ag2Se基制冷器的制备过程及制冷性能,自愈合的可穿戴Ag2Se柔性器件。

 

【总结】

Ag2Se基热电材料由于其本征低热导率和高载流子迁移率,在室温区域具有优异的热电性能,在柔性热电应用领域展现出极大的潜力。本综述从材料的基本属性出发,全面地总结了Ag2Se基热电块体和薄膜的先进调控策略,并系统地讨论了器件设计的典型案例。此外,我们指出了Ag2Se基热电材料和器件所面临的挑战,并展望了未来的发展方向。

图15. Ag2Se基热电材料和器件的优化策略

 

【作者简介】

吴昊,南京工业大学2022级博士生,以第一作者在Nano Energy、Chem Eng J、Appl Mater Today.等期刊发表论文3篇。目前的研究方向为柔性热电材料及器件用于发电和制冷。

 

史晓磊,澳大利亚昆士兰HTH官网地址 大学研究员,于2019年在昆士兰大学取得材料工程博士学位,于2019至2021年于南昆士兰大学进行博后工作。长期致力于高性能热电材料与器件的研究,目前作为主要负责人承担澳大利亚研究理事会等多个科研项目,总计约310万澳元。共指导4名博士研究生和9名硕士研究生,其中已毕业硕士研究生9名。连续两年为全球Top 2%科学家(Elsevier),共发表学术论文147篇,中国发明专利3项,其中以第一及通讯作者身份在Nat. Sustain.,Chem. Rev.,Prog. Mater. Sci.,Mat. Sci. Eng. R,Energy Environ. Sci.,Adv. Energy Mater.,Adv. Funct. Mater.,ACS Nano等高水平国际学术期刊上发表论文61篇,15篇被选为ESI高被引论文(前1%),1篇被选为Hot Paper(前1‰)。这些论文被Google Scholar引用6600余次,H-index达到44。目前担任ARC项目评审专家及十余个国际知名期刊的审稿人。

 

 

刘庆丰,南京工业大学化工学院教授,江苏特聘教授。主要从事碳与非碳基功能材料的控制制备及其器件应用等方面的基础研究。2009年1月博士毕业于中国科学院金属研究所;2009-2012日本九州大学应用化学系学术研究员、特任助教;2012-2014美国凯斯西储大学高分子科学与工程系研究助理;2014-2017美国堪萨斯大学物理与天文系高级助理研究员;2018年加入南京工业大学化工学院材料化学工程国家重点实验室。主持包括国家自然科学基金面上项目、江苏省特聘教授资助项目、材料化学工程国家重点实验室资助项目、中科院炭材料重点实验室资助项目等多项基金项目。迄今已在J. Am. Chem. Soc.、Adv. Energy Mater.、Adv. Funct. Mater.、ACS Nano等国际学术期刊上发表学术论文80多篇。受邀担任包括Science,Sci Adv、Adv Mater、ACS Nano、Adv. Funct. Mater、ACS Energy Lett等40余种国际期刊的审稿专家。

 

陈志刚教授是澳大利亚昆士兰HTH官网地址 大学能源学科讲席教授 (Capacity Building Professor in Energy Materials),昆士兰大学和南昆士兰大学荣誉教授,科睿唯安“高被引科学家”。师从成会明院士和逯高清院士。2008年申请到“澳大利亚研究理事会博士后研究员”职位,前往澳大利亚昆士兰大学机械与矿业学院工作,先后担任研究员,高级研究员,荣誉副教授,荣誉教授,后转入南昆士兰大学担任副教授(2016)和教授(2018)。目前是昆士兰HTH官网地址 大学能源学科讲席教授 (Capacity Building Professor in Energy Materials, 2021)。先后主持共计二千万澳元的科研项目,其中包括10项澳大利亚研究委员会、1项澳大利亚科学院、2项州政府、10项工业项目和10项校级的科研项目。目前为止,共指导17名博士生和24名硕士研究生,其中已毕业博士生7名和硕士生14名。在在Nat. Energy、Nat. Nanotech.、 Nat. Sustain. 、Nat. Commun.、Chem. Rev. 、Prog. Mater. Sci.、 Adv. Mater.、 J. Am. Chem. Soc.、Angew. Chem. In. Ed. 等国际学术期刊上发表380余篇学术论文,SCI引用26500余次,H-index达到86。陈志刚教授是Journal of Materials Science and Technology副编辑,国际期刊Progress in Natural Science; Journal of Advanced Ceramics; Rare Metal; Energy Materials Advances; Microstructure; Tungsten; Electronics; and Energies的编委。

未经允许不得转载:材料牛 » 南工大刘庆丰/昆士兰HTH官网地址 大学陈志刚Energy & Environmental Science:Ag2Se基热电材料:从材料到应用

相关文章

Baidu
map