当前位置: 材料牛 » HTH官网地址 » 顶刊 » 俄亥俄州立大学Nature:发现了魔角石墨烯超导的可能机制

俄亥俄州立大学Nature:发现了魔角石墨烯超导的可能机制

一、【导读】

2018年3月,麻省理工学院Pablo Jarillo-Herrero教授带领的团队通过实验发现,将两层单原子厚度的石墨烯堆叠在一起,当它们之间扭曲角度为1.1°时,双层石墨烯表现为绝缘体,而只要施加微弱的电场,这种材料就会转变为超导体,这个特别的扭转角度也被称为“魔角”。在经典的金属导电系统中,电子运动速度很快。不过,魔角石墨烯则拥有一种名为平带的特殊电子结构,即在k空间内,不同波矢下的动能近乎不变,因此,电荷载流子的群速度vF将会变慢。这就同经典的BCS理论产生了矛盾,即相干长度、超流体刚度和临界电流的消失,超导性似乎不大可能出现。那么,魔角体系的平带超导体背后的真正起因究竟是什么?

二、【成果掠影】

近日,美国俄亥俄州立大学Marc W. Bockrath教授、Chun Ning Lau教授等联合团队探索了扭转双层石墨烯(tBLG)的超导狄拉克平带系统中微小速度效应的深远影响。使用Schwinger有限的非线性输运研究,研究者们证明了一个极其缓慢的正常状态漂移速度用于填充莫尔超晶格的-1/2和-3/4之间的分数ν。在超导状态下,相同的速度极限构成了临界电流新的限制机制,类似于相对论超流体。更为重要的是,通过对控制超导体电动力学响应的超流体刚度的测量表明,它不是由动能主导,而是由相互作用驱动的超导间隙主导,这与最近关于量子几何贡献的理论一致。作者发现了小库珀对的证据,这是Bardeen-Cooper-Schrieffer到Bose-Einstein的凝聚渡越(condensation crossover)特征,超导转变温度与费米温度的比值超过了1,并讨论了如何产生于超平狄拉克带的超强耦合超导性。该论文以题为“Evidence for Dirac flat band superconductivity enabled by quantum geometry”发表在知名期刊Nature上。

三、【核心创新点】

本研究展示了一个极其缓慢的正常状态漂移速度用于填充莫尔超晶格的-1/2和-3/4之间的分数ν,证明超平带tBLG中的超流体刚度是由量子几何贡献主导的,使能更深入地理解在具有非微观拓扑结构的平带中如何产生超导性。

四、【数据概览】

1 θ = 1.08°B = 0.2 T以及T = 0.3 KtBLG的正常状态传输 © 2023 Springer Nature

(a)B = 0时,θ = 1.08°的tBLG的装置D1的零偏压纵向电阻R与栅极电压Vbg以及填充分数v的关系。

(b-c)dV/dI与偏置电流密度J的关系。

(d)vn与ñ的关系。

(e)各种测量方法和文献中费米速度与扭曲角的关系图。

(f)dV/dI(J,T)在ñ = -1.75×1011 cm-2时的线迹,显示了峰值随温度的变化。

(g-h)θ = 1.08°和vn ≈ 1,000 m s-1时迷你狄拉克点附近的tBLG的带状结构计算。

 

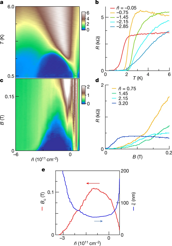
2  B=0时零偏差传输数据 © 2023 Springer Nature

(a-b)特征穹顶显示了不同ñ(1011 cm-2)下的超导穹顶(深蓝色)和线迹RT)。

(c-d)在T = 0.3K时,超导圆顶与B和ñ的关系。

(e)临界磁场Bc和超导相干长度ξñ的关系。

 

3 超导系统中的非线性传输数据 © 2023 Springer Nature

(a)dV/dIJñ的关系图。

(b-e)在B=0和B=0.2T时的dV/dI以及不同临界电流密度。

(f)超导(蓝色)和正常(红色圆圈)状态下的临界电流密度。。

(g)具有二次色散和Δ<<EF的传统超导体的费米能量转移示意图。

(h-j)不同J值时极限中小vF的狄拉克带的费米能量示意图。

 

4 超流体刚度和平带的特征温度 © 2023 Springer Nature

(a)测量的超流体刚度Dsñ的关系。

(b)相干长度ξ和粒子间距离1/kF与ñ的关系。

(c)临界温度Tc、费米温度TF和它们的比例与ñ的关系。

五、【成果启示】

这项工作提供了实验证据,证明超平带tBLG中的超流体刚度是由量子几何贡献主导的,使我们更深入地理解在具有非微观拓扑结构的平带中如何产生超导性,以及当量子几何效应占主导地位时,著名的BCS关系如何被修改,并指出了寻找高Tc超导体的可能的新的指导原则。

原文详情Evidence for Dirac flat band superconductivity enabled by quantum geometry ( Nature 2023, 614, 440-444)

本文由大兵哥供稿。

未经允许不得转载:材料牛 » 俄亥俄州立大学Nature:发现了魔角石墨烯超导的可能机制

相关文章

Baidu
map