当前位置: 材料牛 » HTH官网地址 » 埃尔朗根-纽伦堡大学Adv. Energy Mater.:通过光谱分辨加速老化分析揭示有机太阳能电池的光降解途径

埃尔朗根-纽伦堡大学Adv. Energy Mater.:通过光谱分辨加速老化分析揭示有机太阳能电池的光降解途径

【导读】

近年来,有机太阳能电池(OSC)的效率稳步提高,目前已接近20%的里程碑。虽然OSC的功率转换效率(PCE)已足以用于商业应用,但有关设备长期稳定性的不确定性仍阻碍着该技术在市场上的广泛推广。最近,一些研究表明,当将合适的半导体与合适的界面材料和测试条件相结合时,OSC确实可以稳定数千个工作小时。最稳定的装置与观察到老化阶段后出现非特异性缓慢降解动力学的典型报告之间的差异尚未得到澄清。虽然可能导致OSC降解的因素是众所周知的,但这些因素背后的物理机制几乎不为人所知。

【成果掠影】

近日,埃尔朗根-纽伦堡大学Thomas Heumüller教授提出了一种有机太阳能电池(OSC)稳定性测试方法,旨在为OSC退化模式的原因提供更独特的见解。该方法涉及使用高辐射剂量的单色光来加速老化的降解机制,同时通过一系列原位稳态和瞬态电测量来监测设备。实验结果伴随着漂移扩散模拟,以定位降解路径。对PM6:Y6基OSC进行了测试,实验揭示了导致PM6:Y6层内陷阱态密度增加的降解机制。瞬态模拟表明,这些态是在PM6:Y6和电子传输层之间的界面处或周围形成的。此外,还证明了照明波长对降解模式的惊人主导影响。相关成果以“Revealing Photodegradation Pathways of Organic Solar Cells by Spectrally Resolved Accelerated Lifetime Analysis”发表在Advanced Energy Materials上。

核心创新点

本研究展示了高强度和光谱选择性降解是加速稳定性测试的最有前途的方法,并且有助于更快地开发稳定的OSC。

【数据概况】

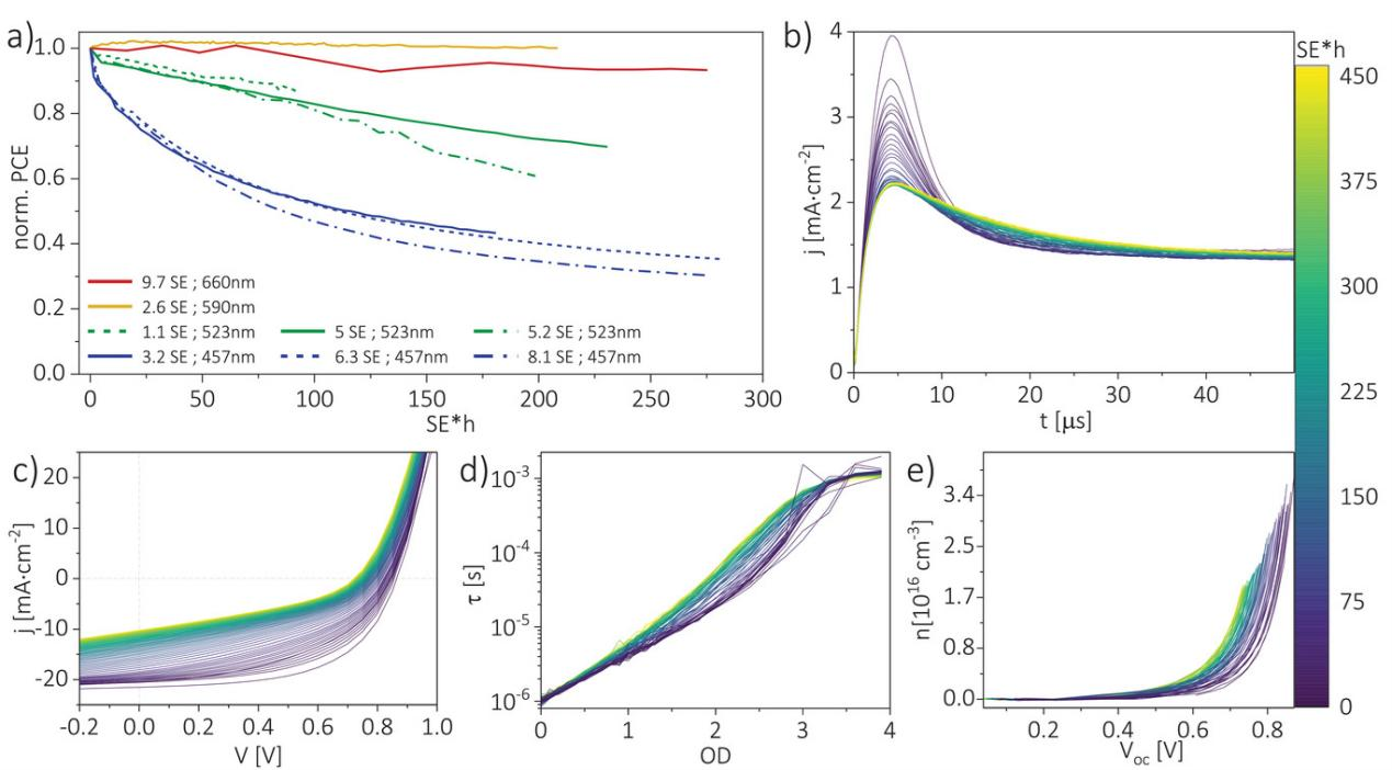
图1:退化测量的实验结果。

a) 显示了这些系统在SE*h上对于不同波长的PCE。b–e)指在8.1suns和457 nm下降解的样品。b) 样品的照片CELIV光谱。c) 样品的JV曲线。d) 光密度(OD)上TPV测量的电荷载流子寿命τ。e) Voc上的电荷载流子密度n,用CE测量并通过几何电容减小。© 2022 The Authors   

图2:不同参数变化的模拟照片CELIV和J–V曲线。

a) 活性层(AL)的Langevin复合系数在0.01和0.05之间的光电CELIV和J–V曲线。b) 电子传输层(ETL)附近20 nm AL内陷阱态密度增加的光电CELIV图和J–V曲线。c) AL内部陷阱态密度增加的CELIV图和J–V曲线。d) CELIV图和J–V曲线显示ETL内部陷阱态密度增加。e) AL的电子和空穴迁移率在10−5和10−3 cm2 V−1 s−1之间的CELIV图和J–V曲线。f) HTL内部陷阱态密度增加的CELIV图和J–V曲线。当结合(a,c)的效果时,可以通过模拟再现图1中的实验结果。准欧姆行为的开始和尾部形成也可以在(b)中看到,但不像(c)中那样明显。© 2022 The Authors 

 图3:ZnO ETL样品降解测量的实验结果。

(b,e)两者均指在6.3 suns和457 nm下降解的样品。a) 不同波长的ZnO系统在SE*h上的PCE。当λ≥590 nm时,没有明显的降解,但对于较短的波长,降解的波长依赖性效应明显可见。b) 样品的光CELIV光谱在6.3 suns(457nm)下降解。c) 用CE和CELIV图测量两个系统的设备容量。这些线显示数据的线性拟合。d) 两个系统在SE*h上的反应顺序。这些线显示数据的线性拟合。e) 样品的JV曲线。© 2022 The Authors

【成果启示】

总之,在本文中提供了OSC退化与照明源光谱分布之间因果关系的证据。证明高能(蓝光)照明导致了低能(黄光)照明下不存在的降解机制。详细的稳态和瞬态联合实验和模拟方法能够确定电荷阱的光诱导形成(可能与活性层的无意p掺杂相关)是光谱敏感退化的一个原因。该机制之前没有被描述过,并且与选择SnO2作为电子传递层界面相关,这表明选择电子传递层会严重影响降解动力学。通过使用可见光谱中黄色和红色部分的低能量光子来操作电池,可以停止老化降解。这对于低带隙OSC耦合到高带隙钙钛矿半导体的长期稳定串联配置的设计特别有意义。

 

参考文献:Weitz P, Le Corre VM, Du X, et al. Revealing Photodegradation Pathways of Organic Solar Cells by Spectrally Resolved Accelerated Lifetime Analysis. Advanced Energy Materials 2022.

https://doi.org/10.1002/aenm.202202564

 

 

本文由春国供稿。

未经允许不得转载:材料牛 » 埃尔朗根-纽伦堡大学Adv. Energy Mater.:通过光谱分辨加速老化分析揭示有机太阳能电池的光降解途径

相关文章

Baidu
map