01【导读】
氧化锌(ZnO)由于其优异的光电性能和简单的制备方法,在有机太阳能电池(OSCs)中得到了广泛的应用。尽管过去已经设计了多种多样的阴极界面材料,但是ZnO由于其优异的综合性能仍然是不可或缺的。然而,ZnO/本体异质结(BHJ)界面上非富勒烯受体的胺残基诱导的降解显著降低了填充因子(FF)和开路电压(Voc)。因此,迫切需要开发一种方法来彻底去除ZnO阴极界面层(CIL)中的胺残留物,而不损坏ZnO本体。
02【成果掠影】
近日,中科院化学所侯剑辉研究员和北京HTH官网地址 大学郑众教授等人报道了一种简单、有效、经济的方法,用硼酸(BA)去除溶胶-凝胶ZnO CIL中残留的胺而不损伤ZnO。BA被用作胺清洗剂,因为其具有合适的酸离解常数(pKa)以避免ZnO分解。X射线光电子能谱(XPS)结果表明,由于BA的冲洗,残留的胺可以被有效地去除。ZnO的功函数(Φ)可以从3.86 eV改变到3.79 eV,导致基于PBDB-TF:HDO-4Cl:BTP-eC9的OSCs的Voc增加10 meV。此外,清洗后的ZnO CIL在电子提取能力方面表现出明显的改善,例如BA处理的ZnO中的电子提取可以在44.29 ns内完成(比原始ZnO快33.64%)。另一方面,ZnO CIL的电荷收集能力增强,ZnO CIL的功函数有利于实现更高的Voc。ZnO CIL的改进性质将PBDB-TF:HDO-4Cl:BTP-eC9 OSC的FF从75.07%提高到78.13%,并且将PBDB-TF: BTP-eC9 OSC的FF从73.97%提高到77.28%。基于上述结果,优化的单结OSCs的稳定性和功率转换效率(PCE)同时提高。活性面积为0.04和1.00 cm2的电池分别表现出18.40%和17.42%的PCEs。此外,基于BA处理的ZnO CIL的串联OSCs表现出19.56%的PCE,证明了所提出方法的有效性。
相关研究文章以“New Method for Preparing ZnO Layer for Efficient and Stable Organic Solar Cells”为题发表在Adv. Mater.上。

03【核心创新点】
本文提供了一种新的ZnO CIL制备方法,有效地去除了胺残留物而不损伤ZnO本体。
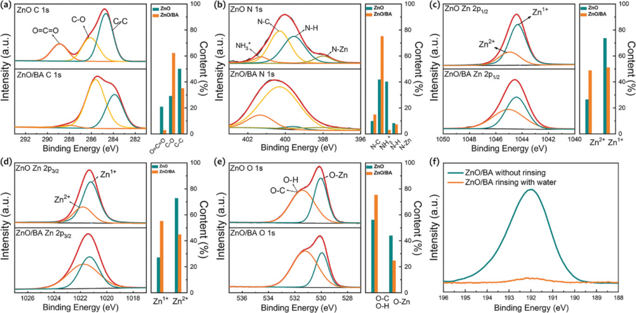
04【数据概览】

图一、a)处理前ZnO的FT-IR数据。b)BTP-eC9和BTP-eC9/EA溶液的吸收光谱。c)加工过程的示意图。d) 处理前ZnO和ZnO/BA的XRD。PDF#36-1451 (Jade)是纤锌矿ZnO的标准图谱。e) 处理前ZnO、ZnO/苯酚、ZnO/BA和ZnO/乙酸的吸收光谱。f,g) 处理前ZnO和ZnO/BA的AFM高度图像。h–k) 处理前ZnO和ZnO/BA的接触角。© 2022 Wiley

图二、处理前ZnO和ZnO/BA的XPS光谱。a) C 1s,b) N 1s,c) Zn 2p1/2,d) Zn 2p3/2,e) O 1s,和f)B信号的强度。© 2022 Wiley

图三、a)研究的CILs的UPS数据。b)基于所研究CILs的器件的Mott–Schottky图。c)在没有偏置白光的情况下,在488 nm的激发下,具有所研究的CILs的反式OSCs的TPC。d)在具有不同CILs的OSCs上测量的阻抗谱的奈奎斯特图。数据由Schottky等效电路模型拟合,其中Rs是串联电阻,Cg是几何电容,Rt是传输电阻,Cn是化学电阻,Rrec是复合电阻。© 2022 Wiley

图四、a)本工作中使用的给体和受体。b)本工作所涉及材料的能级图。c)经过各种处理的器件的J-V曲线。活性层为PBDB-TF:HDO-4Cl:BTP-eC9。d)基于具有PBDB-TF:HDO-4Cl:BTP-eC9活性层的CILs的最佳器件的EQE光谱。e)经过各种处理的器件的J-V曲线。活性层分别是A: PBDB-TF:BTP-eC9P3HT,B: PBDB-TF:IT4F,C: PPDT2FBT:PC71BM,D: P3HT:PC71BM。f)空气稳定性。在AM 1.5G下,标准化PCE作为OSCs在空气中储存时间的函数。温度为65°C,相对湿度为30%。串联OPV电池的原理图、J-V曲线和EQE曲线。J)基于1.0 cm2 PBDB-TF:HDO-4Cl:BTP-eC9电池的器件的J-V曲线。© 2022 Wiley
05【成果启示】
本工作将溶胶-凝胶ZnO CIL中残留的胺通过用BA冲洗有效地去除,留下完整的纤锌矿ZnO。这种方法对BHJs的突出通用性显示了在未来的应用中的巨大潜力。
原文详情:Wang, Y., Zheng, Z., Wang, J., Liu, X., Ren, J., An, C., Zhang, S., Hou, J., New Method for Preparing ZnO Layer for Efficient and Stable Organic Solar Cells. Adv. Mater. 2022, 2208305. https://doi.org/10.1002/adma.202208305
本文由景行供稿





