当前位置: 材料牛 » HTH官网地址 » 导读 » 清华大学Nature Energy:开发高性能低温质子传导电解质

清华大学Nature Energy:开发高性能低温质子传导电解质

【导读】

多年来,在与能源相关的研究领域,如固体氧化物电解质、气体分离膜和传感器,一直在寻求在降低的操作温度下具有增强的离子导电性的设计固态材料。固体氧化物质子导体由于质子的小离子半径和低传输活化能而具有重要的前景。而固体氧化物离子导体用于广泛的能量转换应用,例如燃料电池中的电解质。通常,基于金属氧化物的传统离子导体需要高于约500 °C以激活离子传输,但在较低温度下操作的能力可以避免机械不稳定性和操作复杂性。

【成果掠影】

近日,清华大学于浦教授和吴健教授报道了一种固体氧化物质子导体HSrCoO2.5,它在40℃至140℃之间表现出异常高的质子电导率,在此温度范围内,质子电导率在0.028S cm-1至0.33S cm-1之间,离子活化能约为0.27 eV。结合实验结果和第一性原理计算,将这些有趣的性质归因于高质子浓度和氢插层钙铁石晶体结构赋予的有序氧空位通道。这结果为在低温器件中使用固体氧化物材料作为质子传导电解质提供了可能性。相关成果以“Enhanced low-temperature proton  conductivity in hydrogen-intercalated brownmillerite oxide”发表在Nature Energy上。清华大学鲁年鹏、张卓、王宇佳和李好博为共同一作,于浦教授和吴健教授为共同通讯作者。

核心创新点

本研究在具有H离子嵌入的有序氧空位通道钙铁石结构,构建了燃料电池模型器件,在室温区实现了高效能量转化。

【数据概况】

图1 |质子电解质HSrCoO2.5设计原理。

a,b,分别是氧空位介导的氢插层(ABO3−δ) (a)和直接氢插层钙钛矿氧化物(HABO3) (b)固体氧化物质子导体示意图。c,基于氢插层钙铁石晶体HABO2.5的增强质子电导率的晶体结构。©2022 Springer Nature

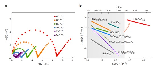
图2 |质子电导率测量。

a,薄膜厚度为40 nm时,在形成气体气氛(H2:Ar = 10:90)下测量的HSrCoO2.5阻抗谱随温度变化的Nyquist图。b, HSrCoO2.5中质子电导率与其他固体氧化物离子导体的比较,其中橙色箭头表示离子电导率增强和工作温度降低的趋势。©2022 Springer Nature

图3 |贵金属催化下钴酸锶薄膜的氢插层。

a,通过离子液体门控(ILG)和贵金属催化实现相变的结构演示。b,横向质子扩散诱导HSrCoO2.5薄膜示意图。c,d,生长时SrCoO2.5(SCO)薄膜(c)和在100℃气体中退火后的光学图像的比较(d)。e,生长的SCO与贵金属催化(100℃)诱导的HSrCoO2.5之间的x射线衍射θ−2θ扫描比较。f,随温度变化的相变时间(左y轴,绿色曲线)和相应的估计质子扩散系数(右y轴,蓝色曲线)的总结。©2022 Springer Nature

图4 |计算HSrCoO2.5内氢迁移路径。

a,计算HSrCoO2.5内质子输运的能量分布。b,c, HSrCoO2.5晶体结构中氢扩散的俯视图(b)和侧视图(c)。被命名为“I”和“II”的箭头表示扩散过程中的两个后续步骤。©2022 Springer Nature

图5 | HSrCoO2.5作为质子电解质的平面双腔SOFC概念验证。

a,双室固体氧化物燃料电池(SOFC)开路电压(OCV)的环境气氛依赖性。b,平面双室燃料电池的温度依赖OCV。c,在60℃下,燃料电池在满OCV和负载(半OCV)条件下,覆盖电解质区域氘(D+)浓度的成分分析。d,在HSrCoO2.5电解液(60 nm)下制备的燃料电池的测量电流密度(虚线,x轴和左y轴)和功率密度(实线,右y轴)。©2022 Springer Nature

【成果启示】

总之,作者已经证明了HSrCoO2.5中优异的低温质子导电性。作者将这种行为归因于内在有序的氧空位通道、高质子浓度和强烈抑制的电子导电性。报告的晶体结构可以通过合理的设计为工程固体氧化物离子导体开辟一条道路,并有可能用于多种应用,如电化学传感器,气体分离,交换膜等。

 

 

 

参考文献:Lu, N., Zhang, Z., Wang, Y. et al. Enhanced low-temperature proton conductivity in hydrogen-intercalated brownmillerite oxide. Nat Energy 7, 1208–1216 (2022).

https://doi.org/10.1038/s41560-022-01166-8

未经允许不得转载:材料牛 » 清华大学Nature Energy:开发高性能低温质子传导电解质

相关文章

Baidu
map