导读
单线态激子裂分和三线态激子对(TT)融合的反向过程是有机材料中独特的自旋依赖性现象,其在光伏产业、生物医学成像、光化学反应、有机发光器件和量子信息等领域具有潜在的应用。与需要高强度入射辐射的用于波长转换的传统非线性光学技术(如二次谐波)相比,激子裂分和融合可在不相干和低强度照明下在微型固态器件中运行。
激子裂分和融合都是将一个单线态(自旋零)激子偶联到两个三线态激子。例如,在裂分中,初始状态是一个单线态激子。最终状态是两个独立的三线态激子对,每个激子的能量大约是初始状态的一半。激子裂分和融合过程由三线态激子对介导。三线态激子对的净自旋可以是单线态,三线态或五重态。五重三线态激子对的特别之处在于它的总自旋为2。这在有机半导体中是不寻常的,部分原因是五重激子对通常无法从单线态基态进入,而五重激子的能量远高于单线态或三线态。然而,由于三线态激子对状态中的相互作用要弱得多,因此可以容易地进入三线态激子对状态。因此,五重三线态激子对可促进激子裂分和融合。尽管五重态激子的重要性显而易见,但它们的产生、维持和控制仍然具有挑战性。迄今为止,五重三线态激子对状态的研究需要非常大的磁场或低温,这限制了五重三线态激子对在许多领域中的应用。
成果掠影
近日,美国麻省理工学院的Mircea Dincă等人报道了一种通过晶体结构工程控制五重态动力学的途径。该工作发现,多孔有序的结构极大地促进了单线态-五重态(SQ)共振混合,因为三线态间交换耦合较弱,激子跳跃缓慢。因此,基于三线态融合上转换发射的磁场效应(MFE),该工作实现了在室温下在仅0.14 T的低磁场下观察到明显的SQ共振。研究成果以题为“Exchange controlled triplet fusion in metal–organic frameworks”发表在国际著名期刊Nature Materials上。

数据概览

图1. 三线态激子对融合过程的自旋动力学和实现单线态-五重态(SQ)耦合的策略。© 2022 Springer Nature

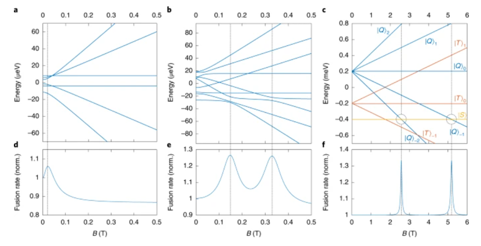
图2. 磁场效应(MFE)在三线态激子对交换耦合期间对三线态激子对特征态能量和三线态融合速率的影响。© 2022 Springer Nature

图3. NU-1000和NU-901的部分结构示意图及其光物理性质。© 2022 Springer Nature

图4. 磁场效应对上变频发射的影响。© 2022 Springer Nature
成果启示
该工作通过NU-1000中的SQ TT态共振表明,与分子和聚合物的对应物相比,金属有机框架(MOFs)能够精确地设计交换耦合和自旋动力学。因此,MOFs为受控访问和耦合五重态提供了有效的方法。该结果还表明,MOFs的非常规结构和巨大的结构和组成可调谐性为阐明多激发过程的详细机制提供了一个令人信服的解释。
原文链接
Ha, DG., Wan, R., Kim, C.A. et al. Exchange controlled triplet fusion in metal–organic frameworks. Nat. Mater. (2022). https://doi.org/10.1038/s41563-022-01368-1
本文由我亦不离去供稿。





