解读–致密的无机电解质颗粒促进复合电解质的导电性
传统上,液态电解质(LEs)由于具有较高的电导率和良好的电极润湿性而被用于锂离子电池,但由于其易燃性,在安全性方面非常不理想。LEs无法抑制循环过程中容易造成短路的枝晶的形成。因此,人们越来越倾向于使用固态电解质,因为它们既可以提高安全性,又可以抑制枝晶的形成。
固态电解质主要分为两大类:固体聚合物电解质(SPEs)和陶瓷电解质(CEs)。SPEs 在其柔软的机械性能、有希望的低成本加工(例如,无溶剂挤出)和与电极的紧密接触方面具有优势。然而,SPEs的低电导率阻碍了它们在室温下的实际应用。CEs显示出更高的离子电导率和热稳定性,但它们的成型需要高温和/或高压,导致材料变脆。随着循环过程中锂体积的变化(锂电镀/剥离),紧密的锂/陶瓷界面难以形成和维持,从而导致分层和电池故障和/或枝晶形成。包含分散在聚合物基质中的陶瓷颗粒的复合电解质似乎是一种有希望的折衷方案,它可以继承以上两种电解质的优点。
复合聚合物-陶瓷电解质是可能解决方案,得益于聚合物电解质的综合机械性能和陶瓷电解质的热稳定性和高导电性。然而,在导电有机基质中驱动分散的CEs 电导率的因素尚不清楚,因此对有效电导率的物理描述是非常必要的。重要的是,聚合物电解质对陶瓷颗粒的反应性和颗粒微观结构的影响均被忽略。
[成果掠影]
在这项研究中,法国格勒诺布尔-阿尔卑斯大学Renaud Bouchet课题组使用不同的液体电解质化学作为聚合物电解质的模型,并评估了添加各种多孔和致密陶瓷电解质对电导率的影响。所有结果都可以用有效介质理论建模,从而可以预测电解质组合的电导率。本工作明确地确定,高导电性多孔颗粒在此类系统中充当绝缘体,而致密颗粒充当导体,从而促进了本工作对复合电解质电导率的理解。相关论文以题为:“Dense inorganic electrolyte particles as a lever to promote composite electrolyte conductivity”发表在Nature Materials上。

[核心创新点]
- 本工作创新性的使用了复合电解质模型系统来测量添加陶瓷对电导率的影响。所有结果都可以用有效介质理论建模,从而可以预测电解质组合的电导率。
- 本工作使用LEs代替SPEs,因为在测量分散体(复合电解质)的电导率后,可以让陶瓷颗粒沉淀并测量上清液的电导率,确保添加陶瓷颗粒后电导率的任何变化都是由于陶瓷而不是液相的变化。
- 本工作使用基于麦克斯韦方程(Maxwell equation)的有效介质理论对整个数据集进行了完美拟合。该模型给出了分散液中颗粒(致密或多孔的团聚体)的有效电导率,能够诊断由陶瓷粉末的微观结构引起的问题,还可以预测聚合物和CEs的组合的电导率,只需要知道相应组分的电导率和陶瓷微观结构(颗粒孔隙率)。
[数据概览]
- 理论建模
本工作通过引入有效的多孔粒子电导率(σp,eff),对多孔颗粒(由密集的颗粒聚集在这里形成) (孔隙率为εp)的分散方程进行了修正,从而得到了多孔颗粒的修正Maxwell方程(3):

重要的是,σp,eff包含来自固相(晶粒和晶界)和存在于聚集体孔隙内的连续相的贡献,以及沿晶粒表面的任何电导率(图1)。在这项工作中,麦克斯韦方程应用于一系列分散在不同连续 LE 相中的导电陶瓷颗粒,以对复合电解质的不同组合进行基准测试。通过简单地测量每次添加陶瓷后LEs的电导率和LE-CE复合材料的有效电导率(σeff),只要εp已知,就可以计算出分散陶瓷相的有效电导率。
图2显示了复合材料在40°C下的归一化电导率,即有效电导率(σeff)除以LE的电导率(σ0)与εLE。所有复合材料的行为方式相同:向LE添加多孔CE会导致σeff/σ0<1,即有效电导率随着陶瓷的添加而降低。本工作发现无论粉末和电解质的性质如何,结果都是相似的:两个不同的LEs中的相同粉末产生相同的结果。这些结果非常普遍,适用于所有聚合物电解质。
通过实验观察,本工作发现在颗粒沉降后测量的LE(σ0)的电导率甚至比σeff增加更多,这表明复合材料的电导率增益可以归因于LE电导率的增加。这一结果可以解释文献中观察到的非单调行为:最初添加陶瓷会由于聚合物电解质的降解、陶瓷表面杂质的溶解、H+/Li+交换等导致电导率增加,而进一步添加则会由于添加多孔陶瓷颗粒导致电导率降低(图2)。因此,图2中显示的结果均根据添加陶瓷后倾析的LE测量的σ0进行校准,从而使整个组合具有均匀性。

图1. 影响复合电解质有效电导率的可能因素© 2022 Springer Nature Limited

图2. 多孔颗粒复合材料的电导率© 2022 Springer Nature Limited
- 多孔颗粒复合材料的电导率
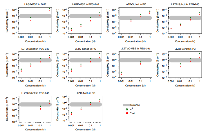
为了进一步理解这些多孔体系,本工作用修正的麦克斯韦方程(3)来拟合分散体的实验有效电导率,使用颗粒孔隙率εp并调整唯一未知量,即多孔颗粒的有效电导率(σp,eff)。所有拟合都非常好,相关因子χ2>0.99。使用LE在不同LiTFSI浓度下获得的σp,eff结果值显示在图3中,以及相应倾析LE的测量σ0值和预期CE值。从图3可以得出三个关键观察结果:(1)σp,eff 始终小于σ0,(2)σp,eff完全独立于CE电导率的预期值和(3)σp,eff 和σ0是成比例的。外推表明,不可能制备具有比SPE更高电导率的多孔颗粒的复合电解质,这对这些颗粒在复合电解质中的使用具有严重影响。
为了了解多孔颗粒的有效电导率,σp,eff/σ0与εp的关系如图4所示。在图4中,陶瓷颗粒的有效电导率(σp,eff)叠加在非导电颗粒分散体的预测曲折度上,表明σp,eff完全是由于LE的电导率存在于孔隙中陶瓷颗粒,以及CE壁的电导率(即陶瓷材料本身、晶粒和晶界)的表观电导率为零。这个结果可以通过考虑在一个聚合体中解释,晶粒-晶粒相互作用是点接触,因此与大部分材料相比具有高电阻。
一般来说,研究小组已经研究了用于复合电解质的纳米结构材料的效果,这推动了供应商减少陶瓷颗粒的粒度,从而产生强聚集的颗粒。因此,很难找到由致密、孤立的颗粒组成的CE粉末的商业样品,本工作所知唯一的例子是LATP-Tosh的粉末。

图3. 多孔粒子的有效电导率© 2022 Springer Nature Limited

图4. 将聚集的CE颗粒的电导率建模为非导电的© 2022 Springer Nature Limited
- 具有致密颗粒的复合材料的电导率
包含分散在不同盐浓度的PEG-240中的无孔LATP-Tosh的复合材料的归一化电导率与εLE的关系如图5a所示。复合电解质在10 mM LiTFSI下的电导率高于初始LE。有效电导率以单调的方式增加,测量到高达32 vol%CE(即εLE=0.68)。 粒子沉降后没有观察到σ0或颜色的变化。
为了确定这些体系中陶瓷颗粒的电导率,实验结果用麦克斯韦方程进行拟合,该方程适用于没有颗粒孔隙率(εp=0)的情况,σp是唯一变量。拟合的结果如图5a所示,与实验数据非常吻合,甚至高达32 vol% CE。在不同盐浓度下得到的σp值显示在图5b中,以及测量的LE相的电导率和预期的CE电导率。
对于盐浓度为100 mM或以上的LE PEG-240 (图5a),σeff/σ0<1的值可以简单地解释为LE的电导率高于LATP CE45的电导率,因此添加陶瓷后电导率会降低。在这类复合材料在固态电池的实际应用中,连续相是在相同盐浓度下电导率比PEG-240低几个数量级的聚合物。
本工作已经证明,陶瓷颗粒在粘弹性介质(液态或熔融聚合物电解质)中的分散将导致复合电解质的电导率相对于起始LE的增加,前提是(1)陶瓷的电导率高于连续相的电导率,并且(2)颗粒致密,没有聚集(即εp=0)。麦克斯韦方程可以用来预测复合电解质的电导率,前提是已知各组分的电导率。归一化后的预测值(σeff/σ0)如附图7所示。虽然本工作已经证明麦克斯韦方程与高达32 vol %陶瓷负载量的实验数据是一致的,但在颗粒相互作用占主导地位的高负载量下,预测值可能会偏离。预测表明,复合材料电导率的数量级总是受到连续相电导率的限制,因此固态(聚合物-陶瓷)复合材料必须含有电导率相对较高的聚合物,才能不限制整体电导率。

图5. 含有致密颗粒的复合材料的电导率© 2022 Springer Nature Limited

附图7. 复合电解质电导率极限的预测© 2022 Springer Nature Limited
第一作者:James A. Isaac
通讯作者:Renaud Bouchet
通讯单位:法国格勒诺布尔-阿尔卑斯大学
论文doi:
https://doi.org/10.1038/s41563-022-01343-w





