一、导读
将稀土元素加入钢种会带来非常巨大的优势。如,在脱氧和脱硫过程中表现出有效的净化左右,修正夹杂物并实现微合金化。这些影响会导致众多材料性能的改善,包括韧性、塑性、耐热性、耐腐蚀性和耐磨性。大量的研究表明,加入稀土元素后,钢的力学性能非常不稳定。有时恶化了材料的性能,有时则对材料的力学性能非常有利。这种不稳定性导致稀土钢的应用受限,尤其是在高端设备的应用中,材料力学性能的稳定性非常重要。另外,稀土钢工艺不顺行,存在浇口严重堵塞的问题;尽管作出了巨大的努力,但这些问题尚未得到成功解决。 因此,稀土钢的相关研究和应用大幅下降。怎样将稀土元素的有益作用发挥到最大,是亟需解决的国际性难题。
二、成果掠影
近日,金属所李依依院士团队的李殿中研究员,陈星秋研究员等人基于上述问题。受氧致偏析新机制的启发,通过长期的机理研究和实验,发现稀土钢性能不稳定、浇口堵塞问题的根本原因在于其中含有较多的氧含量。本工作提出了一种双低氧技术,在钢熔体中特别是在稀土原料中保持低水平的氧含量,这是长期被忽视的,以获得稳定的和有利的稀土强化效果。仅添加百万分之一的稀土元素就能大大提高疲劳寿命,拉伸压缩疲劳寿命提高40倍,滚动接触疲劳寿命提高40%。结合计算和表征揭示了稀土元素在钢中的关键作用机制。发现稀土的作用是通过降低碳扩散速率和延缓奥氏体晶界处的铁素体形核。相关成果以“Low-oxygen rare earth steels”为题发表在国际材料顶级期刊Nature Materials.

论文链接:https://www.nature.com/articles/s41563-022-01352-9
三、核心创新点
(1) 发明双低氧技术,制备纯净低氧的稀土钢;
(2) 揭示了稀土钢性能不稳定、浇口堵塞问题的根本原因,并理论结合实际,解决了稀土钢面临的突出问题;
四、数据概览

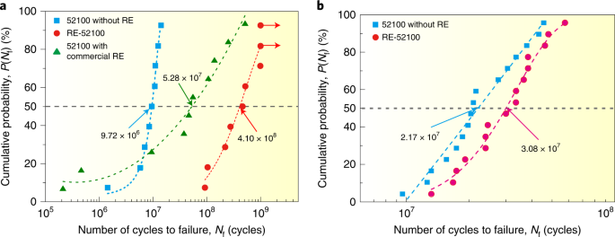
图1 稀土元素对52100钢的拉压寿命和轧制接触疲劳寿命的显著影响;a、实验测量了未添加稀土的52100钢、RE-52100钢和添加稀土的52100钢在最大应力±800 MPa循环拉压载荷下的疲劳使用寿命分布。表示为累计概率(P)作为到循环次数(Nf)的函数;b、在转速为2000转/分的轴向加载条件下,采用4.2 GPa的赫兹接触压力,实验测量了未添加稀土的52100钢和RE-52100钢的滚动接触疲劳寿命分布。L-FC类型号。32油浴润滑系统。虚线表示50%的累计失败概率。

图2 稀土添加对包裹体的影响;a, 18个3吨52100钢锭中添加和不添加稀土的52个样品中大夹杂物(>5 μm)的统计数量。N,样本中的项目数。b,在不添加稀土的52100钢中电解得到的夹杂物的三维形貌,通过扫描电镜观察。c,用SEM观察RE-52100钢中添加稀土后的RE-氧化物夹杂物的三维形貌。d, 通过SEM观察了RE-52100钢中的稀土氧硫化物和稀土硫化物夹杂物的三维形貌。e,稀土氧化硫化物和Al2O3纳米压痕加载力与压痕深度的函数关系。维克氏硬度。f,g,疲劳后夹杂物的形貌(f)和夹杂物中位错的积累(g)。在f中,红色箭头表示马氏体基体的板条边界。白色虚线表示不同夹杂物之间的边界以及夹杂物与基体之间的边界。红色虚线曲线勾勒出Al2O3附近受应力集中影响的区域。

图3 稀土在钢中的溶解;a,理论上模拟了钢基体中的稀土纳米团簇与单空位的相互作用。Ebind(nREcluster-Vac)表示每个nRE簇与单个空位之间的结合能,单位为eV。nRE簇表示由n个RE原子组成的簇,Vac为单空位。b,∑5 <100>{013} GB的二维投影;其中的数字表示RE原子在该GB上的取代位置。c, RE在GB下与一系列其他合金添加物的分离能。d, RE-S355低碳钢沿[111]方向的高角度环形暗场扫描TEM图像。由于在添加稀土的S355低碳钢中,只有稀土元素的原子序数高于Fe,因此某些纳米簇的鲜明对比可以归因于稀土原子的富集。e, d中选定区域A的FFT图; f, d中选定区域B的FFT模式; g,h,碳在bcc (g)和fcc (h) Fe中扩散的能垒,添加La或Ce和不添加RE。

图4 稀土在钢液中对相变温度和碳扩散的影响;a,在冷却速率为20°C s-1时,实验测量了添加和不添加稀土的S355低碳钢的膨胀曲线;b、Fe-0.14%C在20°C s-1冷却速率下添加和不添加稀土时的实验测量膨胀曲线。a和b中的黑色直线是测得的膨胀曲线的切线。c,电子探针显微分析测量典型碳浓度随扩散偶(红点为Fe-0.6%C / Fe-0.14%C,黑点为Fe-0.6%C – RE / Fe-0.14%C – RE)距离的函数关系及其根据菲克第二定律拟合曲线。
五、成果启迪
该工作的研究表明,钢只需添加百万分之一的稀土元素,在工艺流程基本不改变的条件下即可显著提升钢的性能。我国是稀土资源大国,这对于发挥我国优势,平衡稀土资源利用,提升优特钢的品质具有重要意义。





