当前位置: 材料牛 » HTH官网地址 » 武汉大学Nature Catalysis:位点选择性胺化反应构建三级烷基烯丙胺

武汉大学Nature Catalysis:位点选择性胺化反应构建三级烷基烯丙胺

【导读】

 烷基烯丙胺是一种具有独特生物和药理活性的基本亚结构,在抗真菌药物中广为人知,其合成引起了合成化学家、药剂师和材料科学家的广泛关注。催化烯丙基C-H氨基是合成烯丙基胺最有效、原子经济的途径之一。同时由于烷基烯丙胺广泛用于合成农用化学品和药物的各种结构单元,人们对使用常见的化学原料(烯烃和胺)开发烷基烯丙胺的通用和直接路线越来越感兴趣。然而,这种偶联反应的例子仍然有限,通过精确的站点控制来实现这一目标更具挑战性。

【成果掠影】

近日,武汉大学化学与分子科学学院高等研究院 (IAS)雷爱文教授和戚孝天教授报告了光催化剂和钴肟协同催化的位点选择性胺化构建三级烷基烯丙胺,从而消除了对氧化剂的需求。该方法兼容于广泛烯烃,并且可以扩展到萜烯的位点和非对映选择性胺化。相关成果以“Site-selective amination towards tertiary aliphatic allylamines”发表在Nature Catalysis上。高研院博士后王盛淳和博士研究生高一鸣为共同第一作者,武汉大学雷爱文教授和戚孝天教授为论文的共同通讯作者。

 

【核心创新点】

通过钴肟催化剂的氢原子攫取能力(HAT),解决位点选择性难以控制的难题;在过程中同时释放氢气,避免烯丙胺合成中底物预活化步骤以及当量氧化剂的使用,使得原子经济性显著提高。

【数据概况】

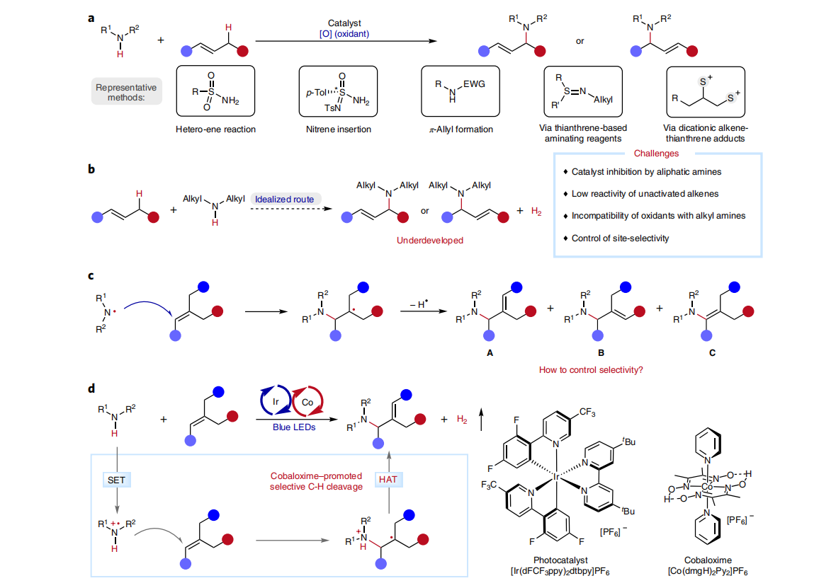
图 1:烷基烯丙胺合成中的挑战与该策略

a:技术现状:烯烃分子间烯丙基胺化的代表性合成方法。EWG:吸电子集团。b:理想路线:烯烃与烷基胺通过放氢气氧化偶联获得烷基烯丙胺。c:自由基烯丙基功能化方法的说明。d:通过钴肟促进的HAT与二级烷基烯丙胺的位点选择性胺化。

图 2:烯烃底物拓展:不同烯丙位选择性比较

a,一级与三级烯丙位C-H键同时存在,仅断裂一级烯丙位C-H键。b,一级与二级烯丙位C-H键同时存在,优先断裂一级烯丙位C-H键。反应条件:胺(0.2 mmol)、烯烃(0.5 ml或1.2 mmol)、[Ir(dFCF3ppy)2dtbpy)]PF6(1 mol%)和Co-I(2.5 mol%)在甲苯(6 ml)中的溶液在N2下搅拌并在25°C下用3 W蓝色LED照射9 h。

图 3:取代烯烃的附加范围和限制。

反应条件:胺(0.2mmol),未活化烯烃(0.5 ml)或芳基烯烃(1.2 mmol), [Ir(dFCF3ppy)2dtbpy)]PF6 (1 mol%)和Co-I (2.5 mol%)的甲苯(6 ml)溶液在N2下搅拌,并用3 W蓝色LED在25℃下照射9小时。

图 4:烷基烯丙胺的适用范围。

反应条件:胺(0.2 mmol)、烯烃(0.5 ml)、铱催化剂(1 mol%)和Co-I (2.5 mol%)的甲苯(6 ml)溶液在N2下搅拌,然后用3 W蓝色LED在25℃下照射9小时。

图 5:烯烃当量和钴肟的影响。

a,胺化产率与烯烃当量的关系,所有产率均由气相色谱法测定。以CH4为内标测定H2产率。b、ARCs的两种可能转化路线:去质子化和烯烃胺化。c, HAT对不同钴肟的选择性。反应条件:吗啉 (0.2 mmol),烯烃(0.5 ml), [Ir(dFCF3ppy)2dtbpy)]PF6 (1 mol%)和钴肟(2.5 mol%)的甲苯(6 ml)溶液在N2下搅拌,用3 W蓝色led在25℃下照射9小时

图 6:机理研究和DFT计算。

a,钴的XAFS。b,EPR实验。c,DFT计算。所有能量均在 M06/6-311 + G(d,p)–SDD/SMD(toluene)//B3LYP-D3(BJ)/6-31 G(d)–LANL2DZ理论水平下计算。 XANES:近边缘结构的归一化X射线吸收。 EXAFS:傅里叶变换扩展X射线吸收精细结构。DMPO:5,5-二甲基-1-吡咯啉 N-氧化物。 DMPO-C:碳自由基加成后的DMPO衍生物。

图 7:应用和策略扩展。

a,在农药合成中的应用。b,远程C-H去饱和策略实现天然萜烯的位点和非对映选择性胺化。 a胺化条件:胺(0.2 mmol)、2-甲基丙烯(1 ml, 2.4 M 的THF溶液)、[Ir(dFCF3ppy)2dtbpy)] PF6 (1 mol%) 和 Co-I (2.5 mol%) 在将脱气的甲苯(6 ml)在 N2下搅拌,并在25 °C下用3 W蓝色LED照射9 h。b远程去饱和条件:使用胺 (0.2 mmol)、蒎烯 (1 ml, 6.6 mmol, 33 当量)、[Ir(dFCF3ppy)2dtbpy)]PF6 (1 mol%) 和Co-IV(5 mol%) 的溶液)。

 

【成果启示】

总言之本文实现了烷基烯丙胺的精确合成,利用氮自由基阳离子对烯烃的反马氏加成和钴肟催化的HAT过程,可以使烷基胺和烯烃直接偶联,并产生H2。这一过程的特点是选择性烯烃转位,与其他烯丙基C-H键官能团化相比,该策略具有不同寻常的偏好,钴肟HAT促进了位阻更小的烯丙基C-H键优先断裂。这种方法解决了未激活烯烃与烷基烯丙胺合成的长期挑战,并为烯烃烯丙位选择性转化提供了新思想。

 

参考文献:Wang, S., Gao, Y., Liu, Z. et al. Site-selective amination towards tertiary aliphatic allylamines. Nat. Catal. 5, 642–651 (2022). https://doi.org/10.1038/s41929-022-00818-y

 

1.团队介绍;

雷爱文教授深耕绿色氧化偶联十五载,以发展绿色和可持续发展的现代有机合成化学作为核心思想,提出了一种无牺牲性氧化剂实现脱氢反应的通用策略:放氢气氧化交叉偶联,此策略摒弃了传统方法中当量氧化剂的使用,避免了从原料到产物转化过程中氧化剂的干扰。利用绿色电能驱动化学反应,该策略可应用于大规模绿氢制备、有机膦与硫化学品等高值化工品的高效生产。放氢气氧化交叉偶联为传统化学品的合成提供一条绿色途径,也为绿色能源转化提供了新的应用策略。迄今为止发表论文450余篇,在JACS(32)、ACIE(48)、Nature Catal. (2)、Nat. Commun. (16)Chem(2) 、Chem. Rev.(4)Chem. Soc. Rev.(3)Acc. Chem. Res.(2)等影响因子大于12 的杂志上发表研究论文130余篇,总被引用超29000余次,H 因子为96。2016-2022年连续入选Thomson Reuters和Elsevier的全球“高被引科学家”。

 

2.团队在该领域的工作汇总

团队利用光/电赋能绿色物质转化,实现了多种高值化合物的合成,取得了系列重要科学进展,可以参考团队综述:Electrochemical Oxidative Cross-Coupling with Hydrogen Evolution Reactions (Acc. Chem. Res. 2019, 52, 12, 3309–3324);Recent Advances in Oxidative R1-H/R2-H Cross-Coupling with Hydrogen Evolution via Photo-/Electrochemistry (Chem. Rev. 2019, 119, 12, 6769–6787);Recent advances in electrochemical oxidative cross-coupling with hydrogen evolution involving radicals (Chem. Soc. Rev., 2021,50, 10058-10086).

 

3.相关优质文献推荐;

最近十天,连发四文(Nature Catalysis, JACS, ACIE 及 Nature Communications)

 

7月21日光电协同催化JACS:

Electrophotochemical Ce-Catalyzed Ring-Opening Functionalization of Cycloalkanols under Redox-Neutral Condition: Scope and Mechanism. 

文章链接:https://pubs.acs.org/doi/abs/10.1021/jacs.2c05520

7月26日电化学物质转化ACIE

Synthesis of Cyclopentene Derivatives via Electrochemically Induced Intermolecular Selective (3+2) Annulation

文章链接https://onlinelibrary.wiley.com/doi/10.1002/anie.202207059

 

7月30日电化学物质转化Nature Communications

1,2-Amino oxygenation of alkenes with hydrogen evolution reaction

文章链接https://www.nature.com/articles/s41467-022-32084-8

 

未经允许不得转载:材料牛 » 武汉大学Nature Catalysis:位点选择性胺化反应构建三级烷基烯丙胺

相关文章

Baidu
map