1.【导读】
由于钠元素具有高的自然丰度以及与锂相似的化学性质,钠离子电池被认为是替代锂离子电池的低成本方案,有希望被应用于未来的大规模储能。发展钠离子电池的首要挑战在于开发高性能和低成本的电极材料。在现有正极材料中,P2型层状氧化物,特别是富锰钠氧化物(NaxMnO2)因较高的比容量和性价比被认为是最具吸引力的正极候选材料之一。然而,在高电压状态下(如4.0 V以上),不可逆的相变和阴离子氧化还原反应引起的结构扭曲和阳离子重排,会导致缓慢的钠离子动力学和严重的电池容量衰减。值得注意的是,离子传输动力学很大程度上取决于电极材料的主体结构和离子扩散通道。稳定的主体结构可以避免晶格和扩散通道的坍塌,有利于实现可逆的离子嵌入与脱出。因此,提高钠电P2型正极离子动力学的关键,在于构建具有更多离子传输通道的稳定主体结构。
2.【成果掠影】
近日,华侨大学付芳副教授、美国阿贡国家实验室徐桂良、Amine教授与厦门大学孙世刚院士(共同通讯作者)等人,提出通过增加熵与活性晶面来制备兼具快充能力与长循环性能的P2型层状氧化物正极材料。所制备的高熵多元素正极材料Na0.62Mn0.67Ni0.23Cu0.05Mg0.07Ti0.01O2 (CuMgTi-571)具有更多的{010}活性晶面,可以有效提高结构和热稳定性,获得更快的阴离子氧化还原动力学。相关研究成果以“Entropy and crystal-facet modulation of P2-type layered cathodes for long-lasting sodium-based batteries”为题发表在Nature Communications期刊上。

3.【核心创新点】
- 设计合成了一系列多元素P2型层状正极Na0.62Mn0.67Ni0.23Cu0.05Mg0.09-2yTiyO2。通过系统比较电化学性能,研究它们在充放电过程中的相变和Na离子扩散系数,明确了熵与活性晶面、阴/阳离子动力学以及P2型正极电化学性能之间的关系。
- 与Na0.62Mn0.67Ni0.37O2相比,高熵Na0.62Mn0.67Ni0.23Cu0.05Mg0.07Ti0.01O2 (CuMgTi-571)正极具有更高的快充能力与更好的长循环性能,可在1.2 A g−1(10 C)大电流密度下循环2000次后仍保留75%的电池容量。
4.【数据概览】
图1. 优化的P2型正极结构设计策略

多阳离子高熵层状正极可以提供高的结构稳定性和稳定的离子扩散通道。层状正极中高含量的{010}晶面可以为离子快速迁移提供更多通道。另外,熵的变化会影响体系和晶面的能量。
图2. 合成正极的层间距表征

(a)CuMgTi-533,(b)CuMgTi-552,(c)CuMgTi-571,(d)NaMNO2样品的XRD图谱及其对应Rietveld精修图。(e)左图为P2型层状结构的层间距(do-o)原子模型,右图为晶格参数c的取值和以上4种样品的层间距。
图3. 正极的物理化学表征

(a)CuMgTi-533,(b)CuMgTi-552,(c)CuMgTi-571,(d)NaMNO2样品的SEM图像。(e)CuMgTi-571的HAADF-STEM图像和其中相应的Na, Mn, Ni, Cu, Mg, Ti元素分布图。(f)CuMgTi-571的选区电子衍射图像。(g)具有6个{010}晶面和2个{001}晶面的微粒示意图,右图为{010}晶面的表面原子分布。(h)CuMgTi-533, CuMgTi-552, CuMgTi-571, NaMNO2样品{010}晶面的含量和构型熵。
图4. Na0.62Mn0.67Ni0.23Cu0.05Mg0.09-2yTiyO2和NaMNO2正极的循环和倍率性能

(a)CuMgTi-571与(b)NaMNO2在0.1 C(12 mA g-1)2.0-4.3 V电压范围内的充放电曲线。(c)CuMgTi-571与NaMNO2在0.1 C(12 mA g-1)的100次循环性能。(d)Na0.62Mn0.67Ni0.23Cu0.05Mg0.09-2yTiyO2与NaMNO2从0.1 C到10 C(1 C=120 mA g-1)的倍率性能。循环与倍率测试均在25℃下,以金属Na为负极组装扣式电池进行。
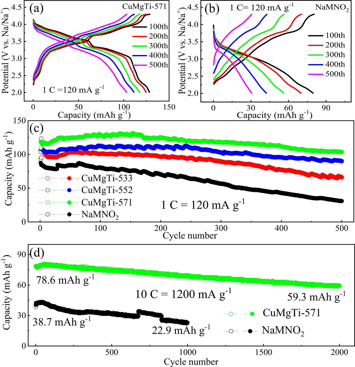
图5. Na0.62Mn0.67Ni0.23Cu0.05Mg0.09-2yTiyO2和NaMNO2正极的长循环性能。

(a)CuMgTi-571与(b)NaMNO2在1 C(120 mA g-1)2.0-4.3 V电压范围内的充放电曲线。(c)CuMgTi-571与NaMNO2在1 C(120 mA g-1)的500次循环性能。(d)CuMgTi-571与NaMNO2在10 C(120 mA g-1)高倍率下的长循环性能。长循环测试在25℃下,以金属Na为负极组装扣式电池进行。(c, d)中的空心圆和实心圆分别代表充电和放电容量。
图6. 不同正极材料Na离子扩散系数的研究

充放电过程中(a)CuMgTi-571与(b)NaMNO2的GITT曲线和相应的Na离子扩散系数。(c-f)在不同电压范围内CuMgTi-571与NaMNO2的平均Na离子扩散系数。GITT测试在25℃下,以金属Na为负极组装扣式电池进行。
图7. 25℃下扣式电池原位HEXRD表征

CuMgTi-571正极在2.0-4.3 V电压范围内原位HEXRD的(a)瀑布点图与(b)轮廓点图。(c)充放电过程中电池参数和电池体积的变化。
图8. 正极材料的结构与形貌研究

脱钠状态下CuMgTi-571与NaMNO2 5 °C min−1从30 °C加热到450 °C过程中的(a)轮廓点图与(b)瀑布点图,加热测试样品为充电至4.2 V时正极片上刮取的脱钠状态正极粉末。
5.【成果启示】
综上所述,构型熵可以通过吉布斯自由能的局部最小化影响热力学稳定结构,层状正极中高含量的{010}活性晶面可以提供更多的离子传输通道。将二者优点结合,构建高熵、丰富活性晶面的P2型层状正极材料,可以提高电极材料结构的稳定性,优化离子迁移路径。本工作结合TEM、电化学测试、原位XRD、原位EIS与GITT等多种表征测试手段,系统研究了熵、活性晶面、Na离子动力学和电化学性能之间的关系,并获得了具有高快充性能与高长循环稳定性的钠离子电池正极材料,对钠离子电池正极材料的研究具有重要的参考价值与指导意义。





