一、【导读】
苯等挥发性有机化合物(VOCs)是一类有毒污染物,可造成室内外空气污染,即使在微量浓度下也会造成环境和健康问题。目前去除室内空气中苯的方法有等离子体氧化法、光催化氧化法和活性炭吸附法等。氧化的方法常用于降解苯,但同时会产生二次污染物(CO、NOx和O3)。由于吸附剂使用方便、回收再利用的能耗相对较低,物理吸附剂是去除污染空气中苯的良好选择。然而,目前多种物理吸附剂材料与吸附物之间的相互作用较弱,因此在去除痕量苯的过程中通常表现出较差的选择性和较低的吸附量。
二、【成果掠影】
近日,北京工业大学李建荣教授、聂祚仁院士与利莫瑞克大学Michael J. Zaworotko教授等人合作报道了一系列双壁金属-吡唑框架,BUT-53~BUT-58,它们在常温低压下表现出优异的痕量苯吸附性能:298K、<10 Pa的苯吸附量高达2.47~3.28 mmol g-1。动态穿透实验表明,BUT-55具有最佳的痕量苯吸附性能:含苯的污染空气流经吸附剂后可获得苯含量低于可接受极限的清洁空气,而吸附后的BUT-55通过温和加热处理即可重复使用。综上,BUT-55是一种可回收的高效物理吸附剂,对苯具有很强的亲和力和良好的捕获能力,有望应用于实际条件下苯污染气体净化及环境修复。研究成果以题为“Trace removal of benzene vapour using double-walled metal–dipyrazolate frameworks”发表在知名期刊Nature Materials上,北京工业大学为本论文的第一单位。

三、【核心创新点】
1、BUT-53~BUT-58,展示了非常优异的常温低压痕量苯吸附性能,在<10 Pa和298 K条件下具有优异的苯吸附能力。
2、BUT-53~BUT-57在空气气氛保持1年后仍能够保持结构稳定。
3、BUT-55能够去除气体中的痕量苯,将空气气氛中的苯浓度维持在可接受范围。
4、机理研究表明,通过MOF孔表面与苯分子之间的弱相互作用(C-H…X)及限域协同,实现了较好的苯吸附能力。同时通过简单的温和热处理,能够实现材料的重复利用。
四、【数据概览】
图一、BUT-53~BUT-58的构筑策略

双壁金属-双吡唑框架的示意图,带有角型(BUT-53,BUT-54)和线型(BUT-55至BUT-58)双吡唑配体以及基于Co2+和Zn2+的RBBs。
图二、BUT-55/BUT-58和Co(BDP)/Zn(BDP)结构对比

(a-c)BUT-55和BUT-58的锯齿形的RBB,交错堆叠的BDP2-配体以及双壁三维框架结构。
(d-f)Co(BDP)和Zn(BDP)的链状RBB,BDP2-配体以及单壁三维框架结构。
图三、苯的吸附性能研究

(a)298 K的BUT-53~BUT-58苯吸附等温线。
(b)低压条件BUT-53~BUT-58的苯吸附性能图。
(c)BUT-53~BUT-58与代表性多孔吸附剂的低压苯吸附性能比较。
(d)在298K下,不同相对湿度条件下BUT-55和Co(BDP)的苯吸附穿透曲线。
图四、BUT-55的原位变压PXRD

从0到8.53 kPa的苯压力下BUT-55吸附苯后和120℃解吸后的PXRD图谱。
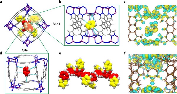
图五、C6H6@BUT-55的SCXRD结构和DFT计算

(a)沿c轴方向看到位于孔中吸附的苯分子。
(b,d)吸附苯分子在位点I和位点II的结合位点,其中蓝色虚线代表C-H···π作用力,粉红色虚线代表C-H···N作用力。
(e)吸附的苯分子之间的相互作用。
(c,f)在BUT-55中,位点I和位点II与被吸附苯分子相互作用的电荷密度差等值面。
五、【成果启示】
BUT-53~BUT-58,展示了非常优异的常温低压痕量苯吸附性能,在<10 Pa、298 K条件下的苯吸附量高达2.47~3.28 mmol g-1。动态穿透实验结果表明,BUT-55具有痕量苯捕获能力,吸附后的BUT-55通过温和加热处理即可重复使用。通过吸附苯的BUT-55晶体结构(C6H6@BUT-55)表征结合DFT计算,表明BUT-55呈现优异苯吸附能力的原因是框架中存在多重C-H…X相互作用。研究结果表明BUT-55能够作为一种可循环使用的物理吸附剂,具有较强的苯分子亲和力、吸附能力,有望用于苯污染气体净化及环境修复。
文献链接:Trace removal of benzene vapour using double-walled metal–dipyrazolate frameworks (Nat. Mater. 2022, DOI: 10.1038/s41563-022-01237-x)
本文由大兵哥供稿。
欢迎大家到材料人宣传HTH官网地址 成果并对文献进行深入解读,投稿邮箱:tougao@cailiaoren.com
投稿以及内容合作可加编辑微信:cailiaokefu





