【导读】
荧光热猝灭一直是制约发光材料在照明、显示、光学温度传感、光学防伪等领域应用的关键因素之一。荧光热猝灭是指发光强度随着温度升高而降低的现象,这主要由于温度升高,基质晶格的振动加剧导致电声相互作用增强以及无辐射跃迁概率增大,从而造成发光强度以及寿命减小。这种现象极大的限制了发光材料在高温区的应用,导致器件性能退化,最终导致系统故障。近年来,国内外研究人员尝试多种策略来改善稀土掺杂发光材料的热猝灭性能, 但依然无法同时实现热增强上转换发光和下转换发光。荧光热增强(荧光负热猝灭)的实现可以很好地保证材料在高温区的信噪比和发光强度,在光学温度传感以及光学防伪材料等领域具有重要的应用价值。为此,目前研究人员通过对稀土掺杂负热膨胀材料来实现热增强的发光更多聚焦整体晶格收缩对热增强上转换发光研究,并没有关注二维负热膨胀材料晶格不同维度收缩特性导致局域结构变化对发光性能的影响,更没有实现在宽温域下同时热增强上转换和下转移发光。为了实现和理清二维负热膨胀材料稀土离子热增强发光与负热膨胀性质之间的关系,基于稀土掺杂二维负热膨胀材料的负热膨胀性质与发光性质的系统研究必不可少。
【成果掠影】
近日,江西理工大学廖金生教授课题组和中国科学院福建物质结构研究所陈学元研究员、涂大涛研究员和中国科学院宁波材料研究所邱报副研究员等学者合作以Sc2(MoO4)3:Yb/Er二维负热膨胀材料作为研究对象,利用其在二维层面热缩冷胀的内禀特性,实现了在宽温域下(298K-773K)的绿光上转换发光和近红外下转换发光强度的显著增强(分别增强了45倍和450倍)。同时利用原位变温同步辐射X射线衍射(SXRD)、原位变温Raman光谱、时间分辨光谱等研究方法揭示了二维负热膨胀材料中稀土离子反常的荧光热增强机理。该课题历时三年多的深入研究,首次开发了二维负热膨胀性质与稀土发光性质相结合的新材料,为稀土发光材料领域提供了限域能量传递的新机制,为推动材料科学、稀土光学器件和光物理等多领域的交叉融合开辟了新途径。该论文以“Thermally boosted upconversion and downshifting luminescence in Sc2(MoO4)3:Yb/Er with two-dimensional negative thermal expansion”为题发表在知名期刊Nature Communication上。

【核心创新点】
1、首次开发了二维负热膨胀性质与稀土发光性质相结合的新材料
2、在同一材料中同时实现了热增强上转换发光和下转换发光
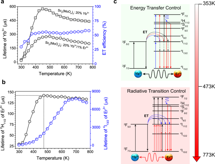
【数据概览】

图1 荧光粉中的热依赖效应

图2 Sc2(MO4)3:Yb,Er的负热膨胀特性

图3 Sc2(MO4)3:Yb,Er的热增强上转换发射

图4 Sc2(MO4)3:Yb,Er的热增强下转换发射

图5 Sc2(MO4)3:Yb,Er的光致发光热增强机理

图6基于寿命的发光测温法
论文链接:
https://www.nature.com/articles/s41467-022-29784-6





