当前位置: 材料牛 » HTH官网地址 » 导读 » 南京工业大学Nat. Commun:铂基催化剂——氢溢流提升酸性HER

南京工业大学Nat. Commun:铂基催化剂——氢溢流提升酸性HER

导读

氢能是下一代环境友好能源的候选者。实现绿色氢能的关键是使用由风能和太阳能产生的清洁电力来进行电解水制氢(hydrogen evolution reaction, HER)。目前,虽然人们研究了大量的非铂(Pt)类HER候选材料,但Pt仍被认为是酸性介质中HER电催化剂的“圣杯”。其具有良好的氢键能,过电位接近于零,动力学速度快等优势。但其天然稀缺性、高成本和耐久性差的问题限制了电解水的大规模商业应用。因此,有必要提高Pt的本征催化能力和利用效率。

提高Pt HER的催化效率对于水分解技术的发展具有重要意义。氢溢流已经成为设计双组分Pt/载体电催化剂的新策略。然而,这种二元催化剂通常存在长的反应路径、较高的界面能垒和复杂的合成过程等问题。

成果掠影

近日,来自南京工业大学邵宗平教授,莫纳什大学Yinlong Zhu(共同通讯作者)Nat. Commun上发表文章,题为“Hydrogen spillover in complex oxide multifunctional sites improves acidic hydrogen evolution electrocatalysis”。 文章展示了一种通过简单的固相反应方法,成功制备了独特的复合金属氧化物La2Sr2PtO7+δ,作为酸性介质中高活性和耐用的HER电催化剂。研究人员提出了La2Sr2PtO7+δ中多功能催化中心协同作用的独特机理:O位点起质子富集作用,热中性La-Pt桥位点起到有利的氢溢流/迁移的中介作用,Pt位点有利于H2的最终脱附。实验结果显示,La2Sr2PtO7+δ氧化物表现出显著的HER活性,在10 mA cm2时的过电位为13 mV,在0.5M H2SO4中的Tafel斜率为22 mV dec1,优于已报道的最先进的氢溢流型单组分催化剂(HSBCCs)和其他Pt基催化剂。此外,相比于商用铂黑催化剂,La2Sr2PtO7+δ催化剂的本征活性和操作寿命得到显著提高。

核心创新点

1.  研究人员提出了La2Sr2PtO7+δ中多功能催化中心协同作用的独特机理:O位点起质子富集作用,热中性La-Pt桥位点起到有利的氢溢流/迁移的中介作用,Pt位点有利于H2的最终脱附。

2. 实验结果显示,La2Sr2PtO7+δ氧化物表现出显著的HER活性,在10 mA cm2时的过电位为13 mV,在0.5M H2SO4中的Tafel斜率为22 mV dec1,优于已报道的最先进的氢溢流型单组分催化剂(HSBCCs)和其他Pt基催化剂。此外,此外,相比于商用铂黑催化剂,La2Sr2PtO7+δ催化剂的本征活性和操作寿命得到显著提高。

数据概览

图1. 晶体结构与形貌表征© 2022, The Author(s)

a. La2Sr2PtO7+δ的结构示意图

b. La2Sr2PtO7+δ的精修XRD图

c. 沿[-110]方向的La2Sr2PtO7+δ的SAED图

d. La2Sr2PtO7+δ的HRTEM图

e. La2Sr2PtO7+δ的HAADF-STEM和相应的元素mapping

图2. 酸溶液下电催化HER性能© 2022, The Author(s)

a. 极化曲线

b. 塔菲尔斜率

c. HER活性比较

La2Sr2PtO7+δ和铂黑的d ECSA和e RSA与应用偏压的关系

f. TOF和与测试电位的关系

g-j. 稳定性测试

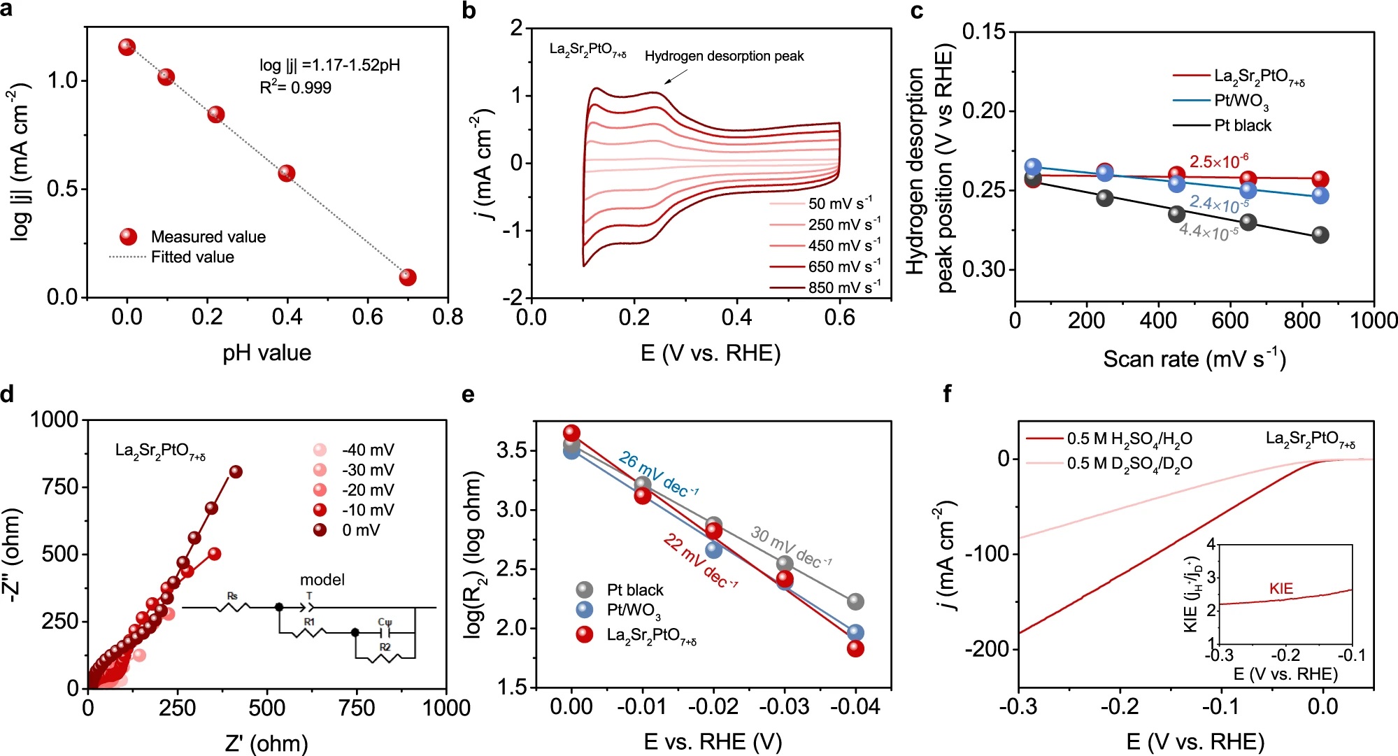
图3. 氢溢流的实验证据© 2022, The Author(s)

a. 在0.03 V (vs. RHE)log j与pH的线性关系

b. CV曲线

c. 氢脱附峰位置与扫描速率的关系图

d. 在不同过电位下La2Sr2PtO7+δ的Nyquist曲线

e. EIS导出的塔菲尔斜率曲线

f. La2Sr2PtO7+δ催化剂的极化曲线

图4. DFT计算© 2022, The Author(s)

a. 不同位点的La2Sr2PtO7+δ以及优化后的结构模型(001)表面模型

b. 氢吸附的吉布斯自由能图

c. 氢迁移/溢流过程的动力学能垒

d. Heyrovsky步的自由能分布

e. 催化机理示意图

成果启示

作者成功地合成了一种单相复合氧化物La2Sr2PtO7+δ,在酸性介质中具有优异的HER性能。这种复合氧化物以六角形结构结晶,具有包含孤立的PtIVO6八面体和[Sr2O1+δ]面的[La2PtO6]交替层。实验结果显示,La2Sr2PtO7+δ氧化物表现出显著的HER活性,在10 mA cm2时的过电位为13 mV,在0.5M H2SO4中的Tafel斜率为22 mV dec1,优于已报道的最先进的氢溢流型单组分催化剂(HSBCCs)和其他Pt基催化剂。此外,此外,相比于商用铂黑催化剂,La2Sr2PtO7+δ催化剂的本征活性和操作寿命得到显著提高。研究人员对La2Sr2PtO7进行了全面的实验和电化学测试,证实了La2Sr2PtO7+La2Sr2PtO7+SnO2中可能存在氢溢流现象。第一性原理计算表明,La2Sr2PtO7+δ中La-Pt桥位上的氢吸附是近热中性,这可能是有利的氢溢流的媒介,从而导致异常高的活性。本工作通过单组分多功能位点协同效应的氢溢流效应,为酸性介质中高性能HER催化剂的设计开辟了一条新的途径。

文献链接:Hydrogen spillover in complex oxide multifunctional sites improves acidic hydrogen evolution electrocatalysis. 2022, Nat. Commun, DOI: 0.1038/s41467-022-28843-2.

本文由纳米小白供稿

欢迎大家到材料人宣传HTH官网地址 成果并对文献进行深入解读,投稿邮箱:tougao@cailiaoren.com.

投稿以及内容合作可加编辑微信:cailiaokefu.

未经允许不得转载:材料牛 » 南京工业大学Nat. Commun:铂基催化剂——氢溢流提升酸性HER

相关文章

Baidu
map