【导读】
热电材料具有巨大的绿色能源发电潜力,因为它们可以实现热电之间的直接转换。热电性能由无量纲品质因数决定,ZT=S2σT/κtot,其中S、σ、T、κtot分别表示塞贝克系数、电导率、开尔文绝对温度和总导热系数,其中包括晶格导热系数κlat和电子导热系数κele。尽管这些参数之间复杂的相互关系对优化热电性能提出了挑战,但经过数十年的努力,研究人员已经开发出几种策略来解决它,包括能带结构工程以增强电传输特性,设计多维缺陷以抑制热传导,并利用固有的低热导率材料专注于优化电传输性能。由于这些策略,ZTmax值超过2.0的热电材料不再像几十年前那样罕见。而ZT值过高可能是温度因素造成的。用Z代替ZT计算电子和声子在不同温度下的输运更直观。在热电器件的设置上,一些最先进的热电材料仍然不能满足必要的要求,因为实际的热电器件要求在宽温度范围内ZT高,即ZTave高。
宽带隙半导体最近受到了广泛关注,因为它们在很宽的温度范围内表现出高热电性能。SnSe 是一种层状半导体,具有Eg ~ 33 kBT (0.86 eV)的宽带隙,在 p 型和 n 型晶体中均表现出显着的热电性能。最近在p型SnSe晶体中动量和能量多能带排列的策略已经在300至 773 K 沿面内方向实现了~1.9的高ZTave 。然而,其n型对应物在相同温度范围内的热电性能需要进一步提高。与p型SnSe晶体相比,n型SnSe晶体在面外方向上比在面内方向上实现更高的热电性能。
【成果掠影】
今日,北京航空航天大学赵立东教授联合奥地利科学技术学院Cheng Chang教授报道通过在n型SnSe中使用Cl和Pb促进3D电荷传输和加强2D声子散射来提高μH并降低κlat ,从而证明了电子和声子去耦。通过降低变形势来实现高μH,这源于应变和温度引起的高晶体对称性。此外,通过Pb合金化诱导质量和应变波动降低了 κlat。应用相变速率模型来修改相变期间的真实κtot。最后,得到了n型SnSe-Cl-PbSe晶体在748k时的Zmax约为4.1×10−3 K−1,在300到773K时的ZTave约为1.7。还测量了SnSe-Cl-PbSe的面内和面外方向的热电特性,以表明其优异的面外热电性能。这些发现减轻了p型和n型SnSe晶体之间的热电性能差距,并表明声子-电子去耦在实现高性能热电方面的关键作用。相关研究成果以“High thermoelectric performance realized through manipulating layered phonon-electron decoupling”为题发表在science上。

【数据概览】
图 1。通过增强 3D 电荷和 2D 声子传输使电子和声子去耦。

图 2。沿面外方向的电传输特性。

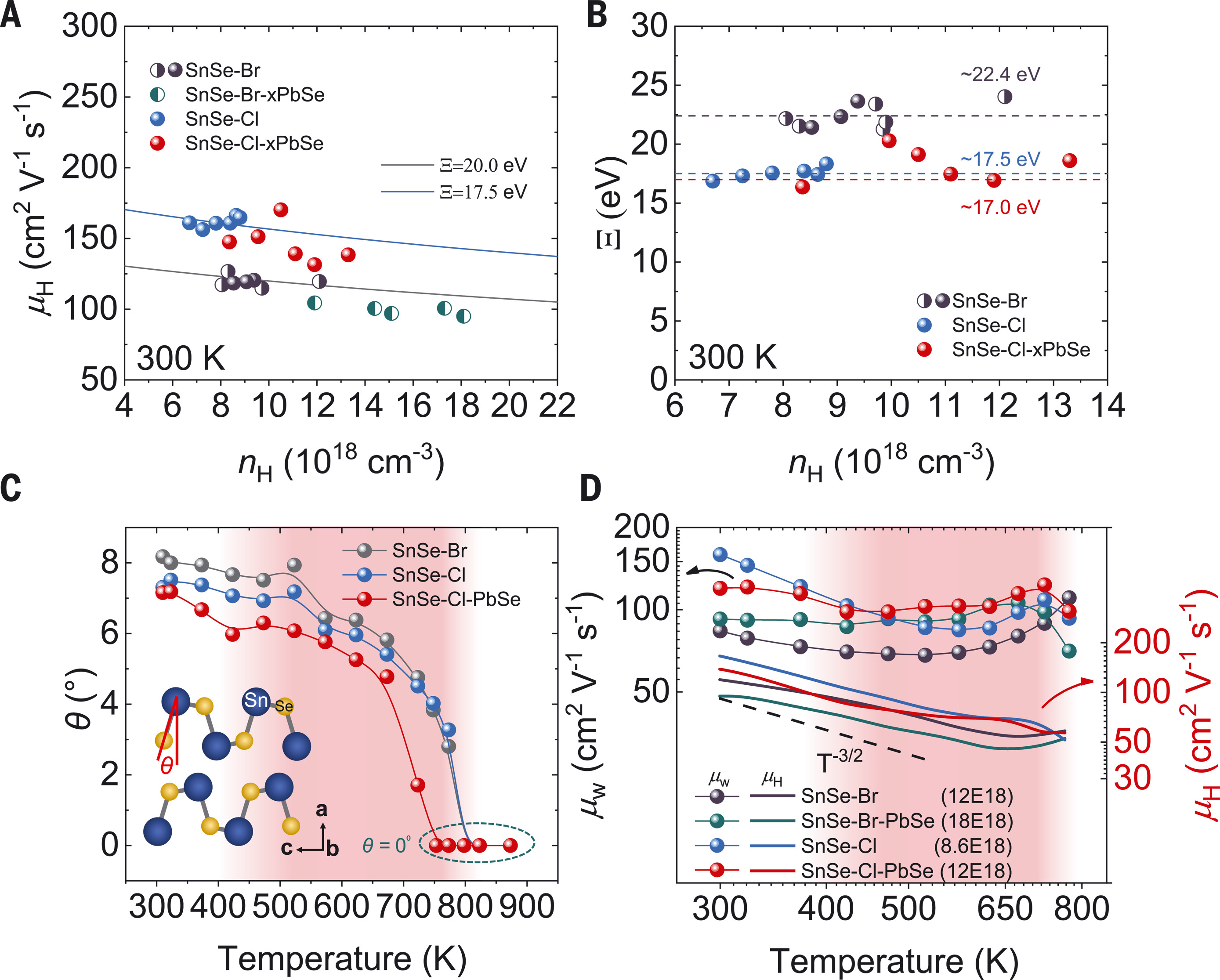
图 3。促进载体流动性。

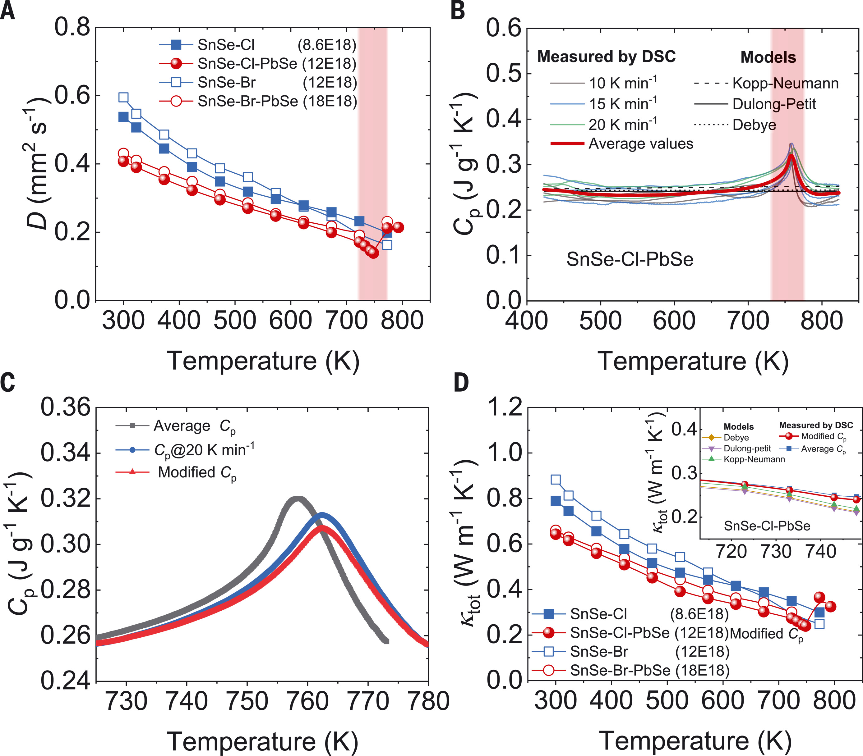
图 4。沿面外方向的热传输特性。

文献链接:“High thermoelectric performance realized through manipulating layered phonon-electron decoupling”(science,2022,10.1126/science.abn8997)





