[背景介绍]
能量密度高、安全性好、稳定性好的储能器件是下一代电池技术发展的必要和迫切要求。电极材料是决定能量密度的关键。锂金属被认为是最终的负极材料,因为其理论比容量为3860 mAh g-1,与标准氢电极相比具有极低的氧化还原电位(-3.04 V)。然而,锂金属负极目前面临的两个最大的问题是:锂枝晶问题(Li dendrites)和无限体积变化问题(Infinite volume change)。锂枝晶问题主要由于锂离子通量不均匀和电流密度较大;无限体积变化问题则由于锂金属电极本身属性所决定。
[成果简介]
武汉理工大学赵文俞、赵焱和华中HTH官网地址 大学黄云辉课题组合作,提出通过在铜箔表面沉积Bi、Al或Au金属与锂进行原位合金化,制备具有电子局域化和高表面功函数的锂基超薄合金。本工作发现电子局域化可以诱导锂离子的自平滑效应,从而显着抑制枝晶锂的生长。同时,高表面功函数可以有效缓解电解质与锂之间的副反应。以所获得的锂金属超薄合金作为负极,实现了优异的循环性能。S||Bi/Cu-Li全电池在200次循环后提供736 mAh g-1的比容量。这项工作为制造长寿命和高容量锂电池提供了新的策略。相关论文以题为:“Electronic Localization Derived Excellent Stability of Li Metal Anode with Ultrathin Alloy”发表在Adv.Sci.上。

[图文解析]
- 沉积锂自平滑行为的理论预测
电子局域函数(ELF)已被模拟为表征自由电子分布的有用指标。具有大量局域化自由电子的ELF还意味着电子转移路径和离子的潜在沉积位点。Li(001)、LiBi(111)、LiAl(111) 和 LiAu(011)表面的ELF结果分别如图1a1-d1所示。自由电子均匀分布在锂金属的表面和体相中(图1a1),这导致锂离子在表面上沉积的概率相同。当在Li(001)表面上沉积Li簇时,在完全弛豫后,Li簇被吸附在Li金属表面上,并且簇的结构仍然存在(图1a2),这导致了Li表面的尖端形状。如ELF结果所示,未分解的簇显示出强烈的局域分布。这表明均匀的电子分布对锂簇的锂沉积和分解的调节作用较小。通过对比,锂合金(LiBi、LiAl、LiAu)在表面显示出自由电子的局域分布(图 1b1-d1)。具体而言,自由电子集中在Bi或Al原子周围,值分别为0.5和0.7,这些具有局域电子的位点可能表现出对Li+的亲和力,并通过有效的电子转移过程调节沉积行为。而在LiAu表面,自由电子集中在Li原子周围,Au原子周围的ELF值低至0.2,对Li+的调节作用较弱。这一结果表明,在LiBi和LiAl表面上沉积的Li可以实现“自平滑效应”。此外,在形成Li簇后,LiBi中的局域电子仍然均匀分布在Bi原子周围,但电子似乎在LiAl中形成不利的偏析,表明LiBi合金更有利于锂簇的吸附和分解。

图1 锂合金相间电化学沉积锂自平滑行为的理论预测 ©2022 The Authors
- 超薄锂合金层的设计与制造
为了简单地将锂合金引入锂负极,本工作在商用铜箔表面沉积超薄金属膜,然后在电化学过程中与锂反应原位形成超薄合金层。与常用的浆料涂布法和真空过滤法相比,磁控溅射法可实现大规模生产均匀薄膜,具有良好的机械稳定性,可用于将Bi薄膜沉积到Cu箔上,得到Bi/Cu箔。磁控溅射后,Cu箔的粗糙和有棱纹的表面被一层均匀分布的细颗粒覆盖(图2a)。从X射线衍射(XRD)图案可以确认,Bi/Cu箔中的细颗粒是纯铋,没有氧化铋。这归因于磁控溅射的高真空和铋的强抗氧化活性。这也意味着在生产过程中如果在Cu箔上溅射Bi,集流体不易被氧化,这有利于电池的导电性。从高角度环形暗场(HAADF)图像和相应的元素映射可以发现,厚度约为300 nm的均匀致密的Bi薄膜紧密地粘附在铜箔表面(图2b)。虽然改性层非常薄,但铋的小粒径及其对铜箔粗糙表面的紧密粘附可以增强铜箔的机械变形性能,如应力-应变曲线所示(图2c)。Bi/Cu箔的极限强度和弹性模量分别为406 MPa和62 GPa,大于Cu箔,表明Bi/Cu集流体更适合工业运输。

图2 超薄锂合金层的设计与制造 ©2022 The Authors
- 受电子定位调节的锂成长
基于上述表征结果的确定,本工作使用Bi/Cu箔通过SEM和原位光学显微镜验证了电子定位对锂沉积行为的影响。使用铜箔作为集流体,沉积的锂有许多裂纹和粗糙的表面。锂含量增加会带来大量枝晶锂、多孔锂和死锂,这是由于锂沉积不均匀造成的。与此形成鲜明对比的是,沉积在Bi/Cu集流体上的Li的表面形态更加平坦和致密。即使在电镀了4 mAh cm-2的容量后,表面仍然非常光滑,没有出现多孔或枝晶锂(图3c)。从横截面图(图 3d)可以看出,镀4 mAh cm-2后,Bi/Cu箔上沉积的锂厚度约为24 µm,接近含4 mA h cm-2(20 µm),进一步表明在初始循环中形成的Li3Bi层可以有效地诱导锂沉积并导致沉积的锂非常致密,没有死锂或枝晶锂。因此,Bi/Cu集流体能够延长电池的使用寿命,即使在高容量的情况下也是如此。本工作进一步通过原位光学显微镜来表征Li的沉积过程并确认Bi/Cu集流体的稳定性。对于裸铜箔,随着镀覆时间的延长,表面会出现灰色沉积的金属锂颗粒,裸铜箔表面逐渐被针状锂枝晶覆盖,显示出锂离子分布不均匀,锂金属无序生长 在商业铜箔上(图3e)。相比之下,Bi/Cu电极对金属锂表现出优异的稳定性。虽然电镀时间持续了2小时,但与初始状态相比,Bi/Cu箔表面没有出现灰色锂枝晶(图3f)。这些结果表明,在实验中,锂在锂合金层的自平滑行为对于促进锂离子的均匀和致密沉积非常有效。 理论计算表明,当更多的锂簇沉积在Li3Bi相上时(图3g),锂簇仍会不断分解并表现出自平滑行为。从相应的ELF来看,通过第二次Li簇电镀,局域电子仍然集中在Bi原子周围,通过有效的电子转移过程来调节沉积行为(图3h)。通过连续电镀Li簇(图3i),从上往下看,表面局域电子分布广泛,Bi原子周围的ELF值略低。但从横截面来看,本工作惊奇地发现有一个非常强的局域电子吸附锂原子的区域,而且这个区域是四个锂原子形成的空隙,这可以解释为什么金属锂沉积在Bi/Cu箔上会非常平坦和密集。这种深度计算有力地匹配了具有不同容量的均匀锂沉积的实验结果(图3c、d、f)。此外,这意味着锂合金层不仅可以在初始阶段诱导锂沉积,而且可以在整个电镀过程中实现锂离子的可持续均匀分布。

图3 锂成长受电子定位的调节 ©2022 The Authors
- 半电池和全电池的电化学表征
基于上述对锂合金层电子局域化对Li+均匀沉积的影响的预测,并且由于首效(CE)对于保持电池的长循环寿命至关重要,本工作进一步研究了通过不对称半电池的Li沉积效率。 图4a-c比较了不同电极(Cu、Bi/Cu、Al/Cu和Au/Cu)在1 mA cm-2的固定电流密度和不同容量下的CE。显然,所有具有锂合金层的集电器在不同容量下都表现出更长的循环寿命。从30次电镀/剥离循环(1 和 4 mAh cm–2)后沉积锂的FESEM图像可以看出,裸铜箔上沉积的锂被锂枝晶和死锂占据(图 4e),厚度高达78 µm(图 4f),远远超过4 mAh cm–2的锂箔。相比之下,由于锂在合金层上的自平滑行为及其高SWF,沉积在Bi/Cu箔上的锂仍然光滑致密(图4g,h),厚度仅为25 µm,接近Li箔,这也为Bi/Cu箔具有良好的长循环稳定性提供了证据。
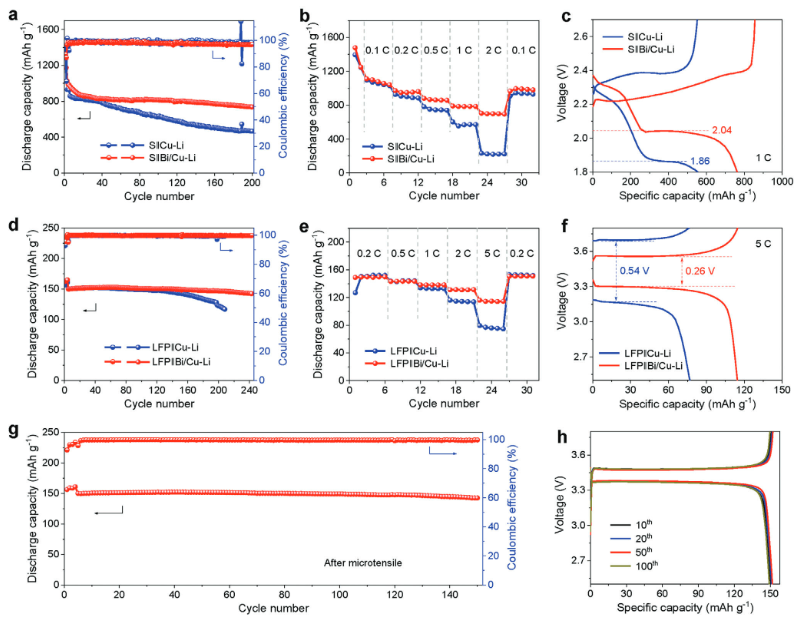
本工作制造了基于S或LiFePO4(LFP)正极的全电池,以研究Bi/Cu集流体在实际条件下的电化学性能。正如预期的那样,Bi/Cu集流体比裸铜箔表现出更好的循环性能。特别是,由于局域电子可以有效保护锂负极,S||Bi/Cu-Li电池在0.2 C的电流密度下提供736 mAh g-1的比容量,具有稳定的CE,远高于466 mAh g-1 S||Cu-Li电池(图5a)。此外,由于锂合金层可以降低内阻,并在大电流条件下抑制因高SWF而导致的副反应,从而提高了倍率性能,在0.2、0.5、1和2 C时可逆容量分别为972、881、790和698 mAh g-1,优于在2 C时比容量为220 mAh g-1的裸Cu-Li电池的性能(图5b)。这些结果明显支持了具有局域电子的锂合金可以有效地实现无枝晶锂沉积,从而显着提高全电池的容量、循环寿命和倍率性能。

图4 半电池的电化学表征 ©2022 The Authors

图5 全电池的电化学表征 ©2022 The Authors
[结论与展望]
总之,本工作开发了一种有效的策略,通过原位形成的超薄锂金属合金层对商用铜箔进行改性,以实现稳定的无枝晶锂金属负极,并首次提出了自由电子在表面上局域分布的机制。锂合金集中在Bi或Al原子周围,有利于对锂离子的附着力和锂簇的分解,从而在镀锂的初始状态下产生“自平滑效应”。随着锂团簇的不断沉积,之前积累的具有相当强局域电子的锂原子形成的空隙可以吸附锂原子,实现锂的平滑致密沉积。同时,锂合金的高SWF可以有效缓解锂与电解液的副反应。因此,由Bi/Cu箔组成半电池和全电池均也表现出优异的循环性能。更重要的是,本工作证明了这种由电子局域化引起的自平滑机制为金属锂负极的设计原理提供了新的启示,并为保护其他碱金属负极(如钠和钾)开辟了新的机会。
第一作者:Danqi He
通讯作者:赵文俞、黄云辉、赵焱
通讯单位:武汉理工大学、华中HTH官网地址 大学
论文doi:
https://doi.org/10.1002/advs.202105656





