【背景介绍】
酰基自由基是C-C键形成反应中的通用合成中间体,如Giese加成反应、Minici酰化反应等。然而,传统制取酰基自由基的方法通常需要高温、紫外线照射或使用有害试剂等苛刻条件。利用醛生成酰基自由基是最直接、原子和步骤最经济的途径。通过利用醛原料作为酰基自由基前体,已经开发出过多的酰基-C键形成反应。这种键的形成通常通过不饱和烯烃或(杂)芳烃的酰基自由基加成来实现,导致酰基-C(sp3)或酰基-C(sp2)键的形成。但是,醛类的酰基X(X=S, N, D)和酰基-C(sp)键的构建在很大程度上还没有得到充分的探索。直接光催化氢原子转移(HAT)在C-H功能化方面取得了重大突破。虽然阴离子曙红Y通常用作光氧化还原催化剂,但是中性曙红Y是一种优秀的直接HAT光催化剂,可在简单和温和的条件下激活广泛的C-H键以制备相应的碳自由基。曙红Y能够从醛原料中获得酰基自由基,醛原料分别与烯烃和炔烃进行不对称1, 4-加成反应和自由基Smiles重排反应。随着曙红Y-HAT光催化系统的不断深入,作者设想其与砜基SOMophiles的合并可以为醛基C-H功能化提供一个通用平台,以获得各种类型的功能性酰基化合物。
【成果简介】
近日,新加坡国立大学吴杰教授和辉瑞全球研发中心Shengquan Duan(通讯作者)等人报道了一种利用中性曙红Y-氢原子转移(HAT)与醛的光催化作用获得酰基自由基的便捷绿色方法。生成的酰基自由基利用各种功能化砜(X-SO2R’)进行SOMophilic取代,以提供增值酰基产物。曙红Y光催化和砜基SOMophilic的结合为广泛的醛基C-H功能化提供了一个多功能平台,包括氟甲硫基化、芳基硫化、炔基化、烯基化和叠氮化。曙红Y-HAT光催化具有操作简单、价格低廉、无金属、无氧化剂和无添加剂的绿色属性。因此,该合成方法具有绿色(如不含金属、有害氧化剂和添加剂)、经济、氧化还原中性、可在连续流技术的辅助下进行扩大合成等优点。研究成果以题为“Divergent functionalization of aldehydes photocatalyzed by neutral eosin Y with sulfone reagents”发布在国际著名期刊Nature Communications上。
【图文解读】
图一、不同的醛基C–H功能化
(a)选定的现有醛基C-H功能化;
(b)使用砜试剂通过HAT光催化实现不同的醛基C-H功能化。
图二、C-H氟甲基硫醇化的醛类范围
反应条件:1(0.3 mmol)、2(0.2 mmol)、曙红Y(4 mol%)和叔丁醇(2.0 mL),在充满氩气的Schlenk管(20 mL)中、470 nm光(18 W LED)照射、室温下(~27 °C)反应。
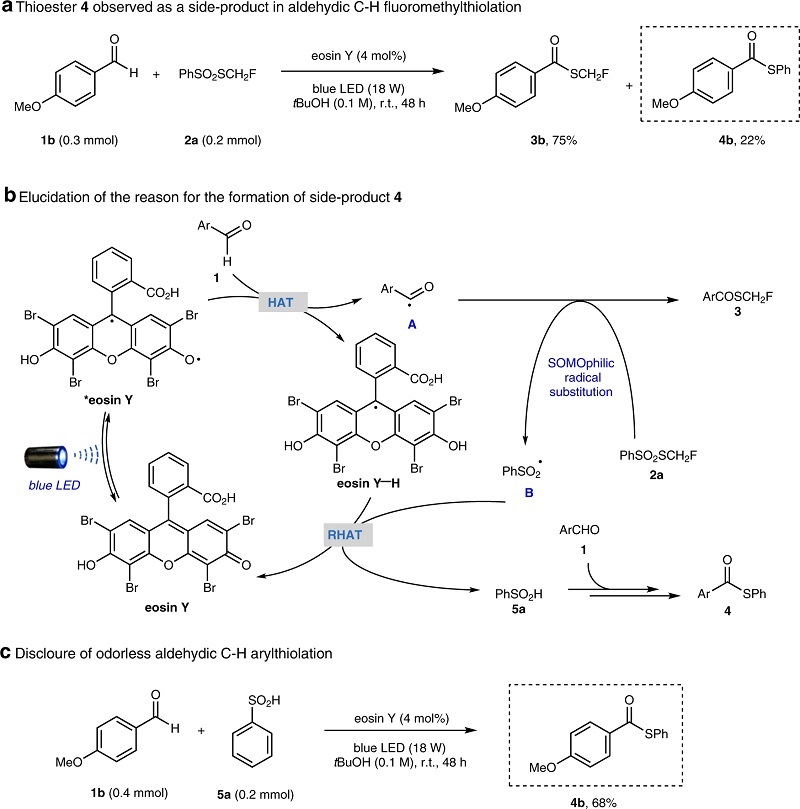
图三、利用芳基亚磺酸作为无味硫试剂实现醛基C-H硫醇化反应
(a)在醛基C-H氟甲基硫醇化反应中观察到作为副产物的硫酯4;
(b)形成副产物4的可能原因;
(c)无味醛基C-H硫醇化的研究进展。
图四、无味醛基C-H硫醇化的底物拓展

图五、醛基C-H芳基硫醇化的可能机制
(a)不同S-苯基来源的评估;
(b)曙红Y光催化从苯基亚磺酸5a形成S-苯基苯硫代磺酸盐9a;
(c)自由基捕获实验;
(d)18O-标记实验;
(e)可能的合理机制。
图六、醛基C-H炔基化的底物范围

图七、醛基C-H多样化和流动中的扩大合成
(a)醛基C-H叠氮化和乙烯基化;
(b)在连续流动微管反应器中的扩大反应。
【小结】
综上所述,作者通过将中性曙红Y-HAT光催化与各种砜基SOMOphiles合并以直接构建酰基-S、酰基-C和酰基-N键,展示了一个多功能的醛基C-H功能化平台。不同于现有的催化/化学计量系统,曙红Y-砜系统将作为一种更绿色和可持续的方法,更容易处理醛基功能化,并具有以下特点。(1)PhSO2-SCHxFy 2被证明对于与多种醛进行无金属、无添加剂和无氧化剂的氟甲基硫醇化反应特别有效。氟甲硫基化反应在连续流动条件下进行,可以达到每天15 g的生产率。(2)芳基亚磺酸(ArSO2H)作为一种无味且易于获取的试剂,用于醛的芳基硫醇化。初步机理研究表明,原位生成的芳基硫代磺酸盐(ArSO2-SAr)物种参与了随后的自由基取代步骤。(3)酰基-C(sp)键是通过酰基自由基加成-磺酰基自由基消除与甲磺酰基炔烃成功形成的。(4)利用自由基加成消除的多功能性,该策略进一步扩展到醛基C-H叠氮化和烯基化。总之,作者实验室目前正在研究将C-H底物范围扩展到丰富的烷烃并将砜基SOMophilic试剂的化学空间扩展到新的反应模式。
文献链接:Divergent functionalization of aldehydes photocatalyzed by neutral eosin Y with sulfone reagents. Nature Communications, 2021, DOI: 10.1038/s41467-021-27550-8.
本文由CQR编译。
欢迎大家到材料人宣传HTH官网地址 成果并对文献进行深入解读,投稿邮箱:tougao@cailiaoren.com.
投稿以及内容合作可加编辑微信:cailiaokefu.





