【引言】
层状范德华(vdW)材料具有可调的物理化学性质,尤适于新型催化剂和光电子器件等方面的应用开发,因而引起了研究者的极大兴趣。研究人员可用不同的方法来调节其层间的耦合强度,以产生诸多新奇的材料性质。其中一种方法是降低其维度,形成只有几层的二维材料;或者通过掺杂、改变层间堆叠角、构建异质结等来调节层间的耦合作用。这些调控手段可以使二维材料呈现出磁性反转和超导电性等奇异现象。
另外一种方法是通过施加外部压力来调制vdW材料的层间耦合作用。虽然这些层状材料的层间相互作用由范德华力来主导,但其层内原子间的相互作用则与它们的化学成分高度相关。因此,在高压下,不同材料的结构响应和物理化学性质将有所不同。例如,在高压下,类似金属的石墨可以变成绝缘的金刚石,而绝缘体或半导体化合物也可以变成金属,甚至超导体(如FePSe3)。基于此,人们对过渡金属硫族化物等层状二维材料进行了比较广泛的高压研究。然而,这些研究并未涉及元素铜。新型铜基范德华材料的许多结构和物理化学等性质仍然未知。因此,该工作以化学组成和晶体结构相对简单的范德华化合物CuP2Se为模型,研究高压对其结构、光学和电输运等性质的影响及机理。
近日,北京高压科学研究中心张衡中(通讯作者)等人利用多种原位高压实验技术和理论计算,研究了该新型层状化合物CuP2Se在高压下的结构演变以及光学和电学等性质的变化。他们发现,CuP2Se在高压下有两个同构相变(在约10和20 GPa下)和一个范德华相到高配位数相的转变(在35-40 GPa间)。这些相变,导致了一个由半导体到金属体的转变(在室温和约20 GPa下),以及一个由金属体到超导体的转变(在3.3-5.7 K之间和 27.0- 61.4 GPa下)。经过BCS理论模型化分析,他们发现,超导临界温度随压力的升高,主要归因于高压下体弹模量和费米能处的电子态密度随压力的提高。相关成果以“Metallization and Superconductivity in the van der Waals Compound CuP2Se through Pressure-Tuning of the Interlayer Coupling”为题发表在Journal of the American Chemical Society上。
【图文导读】
图一、压力诱导的半导体到金属体的转变

(a) 常温下CuP2Se电阻随压力的变化图;
(b) 原位高压拉曼图; (c) 原位高压紫外-可见吸收光谱图; (d) 高压红外反射光谱图;
(e) 17.5 和27.0 GPa下电阻随温度的变化图;
(f) DFT计算的在不同压力下Cu2PSe的电子态密度图。
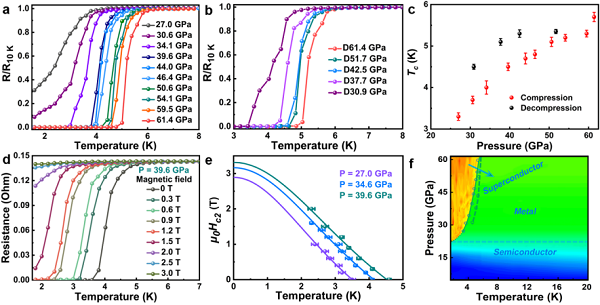
图二、压力诱导的金属体到超导体的转变

(a-b) CuP2Se加压(a)和卸压(b)过程中归一化后的电阻随温度的变化图;
(c) CuP2Se 临界转变温度随压力的变化图;
(d) 39.6 GPa下,CuP2Se在不同磁场强度下电阻随温度的变化图;
(e) 不同压力下临界磁场与超导临界温度的关系图;
(f) CuP2Se 超导体系的温度-压力相图。
图三、同步辐射测定高压下结构的变化

(a) CuP2Se高压下原位XRD图谱;
(b) Rietveld 精修出的晶胞参数随压力的变化及与DFT计算值的比较;
(c) Rietveld 精修出的晶胞体积随压力的变化及与DFT计算值的比较。
图四、压力诱导的层间滑移和样品纳米化

(a) CuP2Se 在27.3 GPa下卸压后的扫描电镜图;
(b) CuP2Se 在27.3 GPa下卸压后的透射电镜图及选区电子衍射图;
(c) CuP2Se 在51.8 GPa下卸压后的扫描电镜图;
(d) CuP2Se 在51.8 GPa下卸压后的透射电镜图及选区电子衍射图。
图五、DFT计算预测高压下晶体结构的演化

(a-d) DFT计算预测的CuP2Se在 0 (a), 20 (b), 40 (c) 和 50 GPa (d)下的晶体结构。
图六、超导转变温度随压力变化的BCS理论模型化

(a) CuP2Se在费米能级处的电子态密度和体弹模量随压力的变化图;
(b) BCS 方程中两项参数随压力的变化图;
(c) 实验和BCS方程拟合的超导转变温度对比图。
【小结】
作者合成了铜基层状化合物CuP2Se并利用多种高压实验技术和理论计算,研究了其在高压下的结构变化以及其光学、电输运和超导电性。结果表明,随着压力的增加,CuP2Se出现了丰富的结构变化,包括层间距缩小、层间滑移、层间合并以及晶体的破碎和纳米化等。伴随这些结构变化,出现了一vdW半导体相在约20 GPa下向一vdW金属相或超导相的转变。并且,在35 ~ 40 GPa之间,该相进一步转变为一高配位数金属相或超导相。BCS理论模型化分析则发现,其超导临界温度随压力的升高主要来源于高压下体弹模量的增加和费米能处电子态密度的提高。此外,高压使得CuP2Se纳米化后即使在接近安德森极限纳米尺寸的情况下依然可以出现超导电性。该工作的新发现对于通过简单的压力调节层间耦合来开发层状范德华化合物的新应用具有重要意义。
文献链接:“Metallization and Superconductivity in the van der Waals Compound CuP2Se through Pressure-Tuning of the Interlayer Coupling” (J. Am. Chem. Soc., 2021,10.1021/jacs.1c09735)
本文由作者投稿。





