当前位置: 材料牛 » HTH官网地址 » 导读 » 段镶锋Nature:无限接近二维半导体二极管中激子本征物理极限

段镶锋Nature:无限接近二维半导体二极管中激子本征物理极限

【引言】

二维(2D)半导体因其独特的光物理性质引起了人们的极大兴趣,包括大的激子结合能和强的栅极可调性,这是由它们的维数降低引起的。尽管人们付出了非常多的努力,原始2D半导体的基本光物理和实际器件性能之间的脱节仍然存在,而这些性能往往受到许多外部因素的困扰,包括半导体-接触界面的化学失调。同时,尽管激子在纳米半导体中普遍存在,由于接触或介电界面处的非理想性导致严重的非本征损耗,直接将光电器件特性与激子行为联系起来仍然具有挑战性

今日,美国加州大学洛杉矶分校的段镶锋、Justin R. Caram课题组,通过使用具有最小界面紊乱的范德华接触,抑制了接触诱导的Shockley-Read-Hall复合(肖克莱里德霍尔复合),实现了二维半导体二极管中几乎本征的光物理决定器件性能。利用裂开栅几何中的静电场对二硒化钨二极管中的电子和空穴掺杂进行独立调制,本工作发现在低电荷密度下的短路光电流中有一个不寻常的峰值。时间分辨光致发光显示,由于激子-电荷Auger复合增强,激子寿命从电荷中性区的800  皮秒左右大幅下降到高掺杂密度下的50 皮秒左右。总之,本工作发现一个激子扩散受限模型很好地解释了电荷密度依赖的短路光电流,这一结果进一步被扫描光电流显微镜所证实。由此论证了激子扩散和二体激子电荷Auger复合在2D器件中的基础性作用,并突出了2D半导体的本征光物理可以用来制造更高效的光电子器件。相关论文以题为“Approaching the intrinsic exciton physics limit in two-dimensional semiconductor diodes”发表在Nature上。

 

【图文导读】

图1. 原子薄WSe2 p-n二极管具有原子清洁vdW触点

 

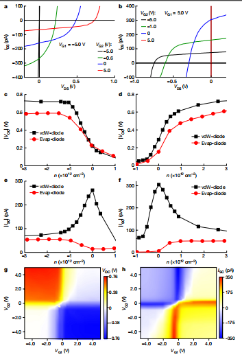
2. 2D WSe2 p-n二极管的掺杂相关光电性能

 

3. 依赖掺杂的TRPL和激子荷电俄歇

 

4. 光电流与激子寿命的关系

文献链接: “Approaching the intrinsic exciton physics limit in two-dimensional semiconductor diodes”. Nature 599, 404–410 (2021). https://doi.org/10.1038/s41586-021-03949-7

 

 

未经允许不得转载:材料牛 » 段镶锋Nature:无限接近二维半导体二极管中激子本征物理极限

相关文章

Baidu
map