【背景介绍】
聚合物电解质膜水电解(PEMEC)是一种清洁、有前途的电能转化为氢气(H2)的方法。由于缓慢的析氧反应(OER)动力学和恶劣的酸性环境,PEMEC电极在操作条件下需要具有高催化活性和稳定性。铱(Ir)基金属氧化物广泛应用于水电解,但是由于活性表面积的损失和长时间运行条件下Ir物种氧化状态的变化,IrO2仍倾向于在强酸性介质中分解。此外,原位实验中大多数电极都是通过简单地将电催化剂粉末浇铸到物理接触的基底上来制备,分离的电极样品会影响原位实验的信号,导致OER条件下的不真实演变。从机理理解的角度来看,开发具有优异催化活性和稳定电极结构的高耐酸OER电催化剂有望用于PEMEC的实际应用,但仍然面临巨大的挑战。
目前,研究人员做出了大量工作来改进Ir基电催化剂,但是由于存在多种Ir-O配位,Ir基样品氧化状态的变化将导致活性金属的持续溶解。原子分散电催化剂的活性和稳定性在很大程度上取决于金属位点的局部配位结构,与电子与几何结构之间的相互作用直接相关。强的金属-载体相互作用可促进金属到相邻原子的大电子转移,从而达到高酸性OER活性。因此,迫切需要找到一种有效的方法,通过原子分散的活性位点与其金属锚定基底之间的强电子耦合来激活酸性OER活性并提高超低铱电催化剂的抗溶解性。此外,对于嵌入具有稳定活性位配置的三维(3D)导电基底中的原子分散金属位点,深入了解原子尺度上活性电催化中心的反应动力学可以为酸性OER电催化剂的设计提供深入的见解。

【成果简介】
近日,中国科学技术大学韦世强教授和刘庆华副研究员(共同通讯作者)等人报道了一种新型原子分散的Ir活性位点,通过可控的电驱动氨基诱导策略耦合到杂-氮配置的3D碳基底上,作为超低铱电催化剂,从而实现高电催化活性和在酸性介质中的长期耐用性。在原子水平上,由于PAni和电驱动NH2的弱氧化还原单元中的选择性离子键效应,活性异Ir-N4部分被限制在杂-氮配置的3D碳基底中,具有强界面化学耦合。通过原位X射线吸收精细结构(XAFS)光谱显示,在低驱动电位下,一个氧原子以O杂Ir-N4部分的形式在Ir活性位点形成,加速了电子从金属位点向相邻原子的转移,从而加快了反应动力学。更重要的是,由于酸性OER过程中耦合氧的亲电效应,原位同步辐射红外光谱(SRIR)和电化学阻抗谱(EIS)在低驱动电压下直接观察到H2O吸附,并在O杂Ir-N4活性位点上产生关键的*OOH中间体,快速克服水氧化的速率决定步骤,从而提高有效的酸性OER活性和稳定性。因此,制备的AD-HN-Ir电催化剂可以提供216 mV的低过电位,以实现酸性OER的10 mA cm-2电流密度、超高质量活性为2860 A gmetal-1,高转换频率(TOF)为5110 h-1。此外,AD-HN-Ir电催化剂对OER的法拉第效率约为97%,在酸性介质中连续运行100 h后OER活性没有明显衰减。研究成果以题为“In-situ spectroscopic observation of dynamic-coupling oxygen on atomically dispersed iridium electrocatalyst for acidic water oxidation”发布在国际著名期刊Nature Communications上。
【图文解读】
图一、AD-HN-Ir电催化剂的原位电化学测量和结构表征
(a)合成过程示意图;
(b)AD-HN-Ir电催化剂的SEM图像;
(c)HAADF-TEM图像;
(d)AD-HN-Ir电催化剂的STEM-EDS映射图像。
图二、AD-HN-Ir电催化剂的电子结构表征
(a-b)NC和AD-HN-Ir电催化剂的C和N K-edge XANES光谱;
(c-d)AD-HN-Ir电催化剂的N 1s和Ir 4f XPS光谱;
(e-f)AD-HN-Ir、Ir-NP/NC、Ir箔和IrO2的Ir L3-edge XANES光谱和傅里叶变换(FTs)以及k2-加权EXAFS光谱的拟合曲线AD-HN-Ir 电催化剂。
图三、电化学OER性能
(a)线性扫描伏安法(LSV)曲线;
(b-c)AD-HN-Ir、Ir-NC、IrO2和Ir-NP/NC在10和100 mA cm-2处的过电位和Tafel斜率;
(d)AD-HN-Ir电催化剂的Arrhenius图;
(e)AD-HN-Ir电催化剂和IrO2在216和260 mV过电位下的质量活性(M.A.)和转换频率(TOF);
(f)在1.446和1.530 V的外加电位下,AD-HN-Ir电催化剂和IrO2的OER稳定性。
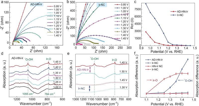
图四、原位EIS和SRIR测量
(a-b)AD-HN-Ir和Ir-NC电催化剂在0.5 M H2SO4中不同外加电位下的奈奎斯特图;
(c)AD-HN-Ir和Ir-NC电催化剂在不同电位下的离子吸附电阻(Rct)响应;
(d)在OER过程中,AD-HN-Ir电催化剂在不同电位下在1300-600 cm-1内的原位SRIR测量;
(e)对于AD-HN-Ir和Ir-NC电催化剂,在1.30和1.45 V的电位下,原位SRIR结果范围为1300-600 cm-1;
(f)在OER过程中,AD-HN-Ir和Ir-NC电催化剂在1055和784 cm-1处的红外信号强度差异与电位。
图五、原位XAFS测量
(a)在OER过程中,在1.25-1.45 V的不同外加电位下,在AD-HN-Ir电催化剂的Ir L3-edge处的原位XANES光谱;
(b)对应的k2-加权傅立叶变换(FT)光谱;
(c-d)在1.25、1.35和1.45 V下,AD-HN-Ir电催化剂的Ir L3-edge和OER机理图记录的拟合曲线。
【小结】
综上所述,作者通过可控的电驱动氨基诱导策略,开发了一种具有强耦合杂-Ir-N4部分的高效耐用AD-HN-Ir电催化剂。通过先进的原位XAFS和SRIR技术进行的动力学机理研究表明,一个氧原子耦合到Ir活性位点上,并且在工作电位下,耦合氧在O杂-Ir-N4部分上的亲电效应产生了一个关键*OOH中间体,这极大加速了四电子反应动力学,使其具有高效的酸性OER活性和稳定性。所制备的AD-HN-Ir电催化剂在电流密度为10 mA cm-2下提供了216 mV的超低过电位,并达到了2860 A g-1的超高质量活性和5110 h-1的高TOF。
文献链接:In-situ spectroscopic observation of dynamic-coupling oxygen on atomically dispersed iridium electrocatalyst for acidic water oxidation. Nat. Commun., 2021, DOI: 10.1038/s41467-021-26416-3.
本文由CQR编译。
欢迎大家到材料人宣传HTH官网地址 成果并对文献进行深入解读,投稿邮箱:tougao@cailiaoren.com.
投稿以及内容合作可加编辑微信:cailiaokefu.





