当前位置: 材料牛 » HTH官网地址 » 导读 » 渤海大学ACS AMI:掺杂Ca2+增强二氧化钛/石墨烯界面电荷转移提高电导率

渤海大学ACS AMI:掺杂Ca2+增强二氧化钛/石墨烯界面电荷转移提高电导率

引言

TiO2具有附着力强、白度高、无毒无害和物化性质稳定等优点,是一种性能最好的白色颜料,常用作塑料、橡胶和纤维等高分子制品表面涂料。由于其导电性较差,易因摩擦、碰撞引起静电积累导致火灾、爆炸等静电危害。因此,需在保持TiO2优点的基础上,提高TiO2的导电性能。而制备导电TiO2最常用的锑掺杂二氧化锡(ATO)包覆法,其制备条件要求苛刻、导电性较低,且反应过程会产生大量废酸碱,污染环境。随着高新技术发展,TiO2导电材料的应用范围不断拓展,市场需求量逐年增长,迫切需要探究新的导电TiO2制备方法。

第一作者鄂涛副教授工作照

近日,渤海大学化学与材料工程学院Tao E(鄂涛)副教授(第一作者),Zengying Ma(马增英)硕士研究生,Shuyi Yang (杨姝宜)副教授(通讯作者)等通过致力于调控TiO2的形貌为纺锤体状,进一步增加TiO2与G间界面接触面,并将Ca2+掺杂到TiO2中,提高载流子浓度,增强TiO2基涂料的导电性能。测定其电阻率减小了10倍,电阻率的降低归因于载流子浓度的增加及界面快速迁移。同时,Mott-Schottky图和DOS图验证了载流子密度的增加。此外,能带结构和Tauc曲线证明带隙和和电子有效质量减小,可以加速界面电荷转移。并且, TEM图表示Ca2+-T为具有更优异的电荷运输和连通性的纺锤体状,增大TiO2与G的接触面,增强TiO2与G间电子传输能力。相关研究成果以“Enhancement of Interfacial Charge Transfer of TiO2/Graphene with Doped Ca2+ for Improving Electrical Conductivity”为题发表在ACS Applied Materials & Interfaces上。

图文导读

图一、促进界面电荷转移速度

通过水热法制备纺锤体状TiO2,增加与G界面接触面积,减小带隙和提高载流子浓度,从而提高电导率。

图二、Ca2+-T/G的纺锤体形貌

(a-d) T/G的TEM图;

(e-h) Ca2+-T/G的TEM图;

(i) Ca2+-T/G的EDS元素映射图像;

(j) 2%Ca2+-T、5%Ca2+-T和7%Ca2+-T TiO2的(004)和(200)放大衍射峰;

(k) I(004)/I(200)的强度比和(004)峰的FWHM变化随Ca2+含量的变化;

图三、Ca2+-T/G的结构特征

(a) TiO2、Ca2+-T、G、T/G和Ca2+-T/G的XRD图;

(b) TiO2、Ca2+-T、T/G和Ca2+-T/G的拉曼光谱;

(c) TiO2和Ca2+-T的Ti 2p XPS图;

(d) TiO2和Ca2+-T的O 1s XPS图;

(e) TiO2、2%Ca2+-T、5%Ca2+-T和7%Ca2+-T的(101)XRD放大衍射峰;

(f) TiO2和Ca2+-T的结构模型;

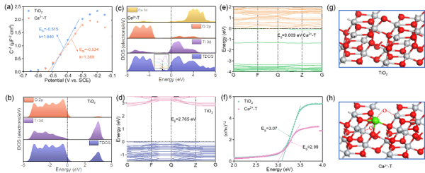
图四、T和Ca2+-T的电子结构

(a) TiO2和Ca2+-T的Mott-Schottky图;

(b) TiO2和(c) Ca2+-T的态密度;

(d) TiO2和(e) Ca2+-T的能带结构;

(f) TiO2与Ca2+-T的Tauc图;

(g) TiO2和(h) Ca2+-T的几何结构,红色的原子是O,浅灰色的原子是Ti,绿色的原子是Ca;

图五、T/G和Ca2+-T/G的电子结构

(a) T/G和(b) Ca2+-T/G的几何结构, 红色的原子是O, 浅灰色的原子是Ti, 绿色的原子是Ca, 深灰色的原子是C;

(c) T/G和(d) Ca2+-T/G的态密度;

(e) T/G和(f) Ca2+-T/G的电荷密度差;

小结

综上所述,本研究表明以CaCl2为掺杂源,通过水热法制备了Ca2+-T/G复合材料。为了提高电导率,将Ca2+掺杂到TiO2中,合成纺锤体状Ca2+-T纳米颗粒。最终合成的2%Ca2+-T/G复合材料的电阻率最低(0.004Ω cm),远低于未掺杂样品(0.046Ω cm)。实验和计算模拟结果表明:Ca2+-T/G复合材料的电阻率下降可能是由于Ca2+掺杂导致的载流子浓度增加、界面电荷转移加快和纺锤形的协同作用。因此,与未掺杂样品相比,电导率可以进一步提高。从而为提高T/G复合材料的导电性提供了新的思路,具有优异导电性的Ca2+-T/G复合材料可以在未来的导电涂料领域得到充分的应用。

文献链接:

“Enhancement of Interfacial Charge Transfer of TiO2/Graphene with Doped Ca2+ for Improving Electrical Conductivity (ACS Applied Materials & Interfaces, 2021, 10.1021/acsami.1c07401)

本文由作者投稿。

未经允许不得转载:材料牛 » 渤海大学ACS AMI:掺杂Ca2+增强二氧化钛/石墨烯界面电荷转移提高电导率

相关文章

Baidu
map