【背景介绍】
如今,电动汽车(EVs)市场对最先进的锂离子电池(LIBs)技术提出了更高挑战,能量密度要更高,充电时间缩短到15 min以下。然而,较厚的电极会阻止电池快速充电,可能会导致不必要的锂镀层,最终导致电池故障。人们普遍认为,快速充电的限制因素是锂离子在电解质和/或石墨负极中的有限传输特性。虽然利用先进的方法可以改善锂离子在石墨电极侧的质量传输,进而提高LIBs快速充电性能,但是尚未系统地研究电极材料(包括层状正极和负极材料)在快速充电过程中的结构演变。对于LIBs的快速充电,其挑战主要来自Li+在石墨负极侧的非平衡扩散/插层,因此Li+通过分段插层进入石墨已被深入研究。电化学方法(EIS、PITT和GITT)被报道用于获得有关锂插层动力学行为的相关信息。通过光学成像观察不同电荷状态下锂化石墨的颜色变化,对锂离子在石墨中的迁移进行了半定量研究。通过原位/非原位拉曼光谱对在插层过程中的定性结构演化和阶段进行了广泛的研究。然而,关于石墨分级相结构演变的详细定量信息,尤其是在快速充电条件下,仍然缺乏。

【成果简介】
近日,美国橡树岭国家实验室(ORNL)Zhijia Du和Jue Liu(共同通讯作者)等人报道了一种富含镍LiNi0.6Mn0.2Co0.2O2(NMC622)||石墨圆柱电池。该电池具有的面积负载高达2.78 mAh cm-2,可用用于不同充电速率下的operando中子粉末衍射研究。通过连续的Rietveld细化,NMC622和LixC6的结构在中等和快速充电(从0.27 C到4.4 C)期间发生变化。无论库伦(C)倍率如何变化,NMC622都表现出相同的结构演变。对于LixC6的相变,当充电速率增加时,在较低的荷电状态下,在逐步插层过程中,阶段-I(LiC6)相提前出现。研究还发现,阶段-II(LiC12)→阶段-I(LiC6)转变是快速充电过程中的限速步骤。利用Johnson-Mehl-Avrami-Kolmogorov模型进一步分析了LiC12→LiC6过渡机理,发现这是一种扩散控制的1D相变,随着炭化率的增加,成核动力学降低。研究成果以题为“Structural Evolution and Transition Dynamics in Lithium Ion Battery under Fast Charging: An Operando Neutron Diffraction Investigation”发布在国际著名期刊Advanced Science上。本文的第一作者为Xianyang Wu。
【图文解读】
图一、operando中子衍射实验的实验装置
(a)圆柱形电池的示意图;
(b)operando实验中使用的典型圆柱形电池;
(c)对收集的NPD数据进行Rietveld细化。
图二、石墨和NMC622在0.27 C充电和1 C放电下的结构/相演变

图三、在0.27 C充电和1 C放电下形成阶段-III(LiC30)、阶段-II(LiC12)和阶段-I(LiC6)

图四、NMC622在0.27 C充电和1 C放电下的晶格参数a和c演变

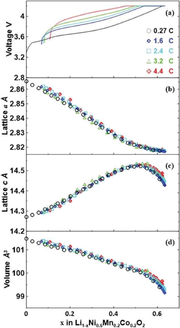
图五、NMC622在不同充电速率下的晶格参数演化
(a)充电过程中充电电压的演变;
(b)晶格参数a;
(c)晶格参数c;
(d)充电过程中的体积收缩。
图六、不同充电速率下充电过程中石墨负极的相演变
(a)1.6 C;
(b)2.4 C;
(c)3.2 C;
(d)4.4 C。
图七、不同充电速率下,LiC12和LiC6在充电过程中的时间演变
(a)1.6 C;
(b)2.4 C;
(c)3.2 C;
(d)4.4 C。
图八、CC阶段在5种充电率下LiC6的Sharp-Hancock图

图九、LiC6沿石墨薄片c方向的1D生长

【小结】
综上所述,作者通过定制的圆柱形电池实现了快速operando中子粉末衍射实验。收集到的operando数据的良好信噪比使NMC622正极和石墨负极的多相Rietveld细化和定量结构分析成为可能。发现在Li脱嵌过程中NMC622的结构演变始终由其Li含量决定,充电速率高达4.4 C,表明NMC622正极不太可能成为NMC/石墨电池快速充电的限制因素。但是,作者发现石墨锂化过程中的阶段-II(LiC12)→阶段-I(LiC6)转变是将全电池充电至3 C以上时的限速步骤。通过使用JMAK模型对LiC12和LiC6的演变进行定量研究进一步证实了这一点,其中随着充电速率从0.27 C增加到4.4 C,Avrami指数n从1.3减少到0.5,表明阶段-II(LiC12)→阶段-I(LiC6)转变是1D扩散控制生长增加充电速率下的成核动力学。总之,该研究阐明了对使用石墨负极的LIBs倍率性能的全面理解和进一步优化。
文献链接:Structural Evolution and Transition Dynamics in Lithium Ion Battery under Fast Charging: An Operando Neutron Diffraction Investigation. Adv. Sci., 2021, DOI: 10.1002/advs.202102318.
本文由CQR编译。
欢迎大家到材料人宣传HTH官网地址 成果并对文献进行深入解读,投稿邮箱:tougao@cailiaoren.com.
投稿以及内容合作可加编辑微信:cailiaokefu.





