1.研究背景
大块非晶材料(BMG)具有独一无二的力学、物理和化学性能,可广泛应用于结构和功能领域。为了实现大规模的商业化,开发具有高玻璃成形能力的经济型BMG材料是至关重要的。目前为止,用于描述非晶成型能力的参数主要有:约化玻璃转变温度、过冷液体区宽度、改性的还原玻璃化转变温度以及导电电子密度等。然而,这些参数的评估都是基于金属玻璃的成功制造,因此这些参数并不适合与设计和预测新合金的成型能力。目前,从平衡相图中的深层共晶成分入手,是寻找优良玻璃成型剂的简单有效途径。由于结晶相相对于液相的热力学竞争力降低,在共晶点或近共晶点处的成分通常表现出优良的非晶成型能力。 在二元和三元相图中,围绕深共晶点的成分选择相当有限,这限制了开发具有很大可调化学成分的新BMG,以及在低材料和加工成本下最大化组合性能。
2. 成果简介
基于以上的国内外研究现状,东南大学蒋建清课题组开发了一条新的途径,通过调整一次结晶反应来改善成分远离共晶点的合金的非晶化成型能力。通过2%的Si和4%的 B元素替代Ni60Pd20P20合金的P元素,形成Ni60Pd20P14Si2B4合金。少量合金化导致一次结晶由四方(Ni, Pd)3P相转变为化学调制的复单斜相。从打大大增强了合金的非晶成型能力,可获得最大加工直径(25 mm)的Ni基大块金属玻璃,比Ni60Pd20P20大4倍以上。研究表明:具有化学调制的初生晶相的复杂晶体结构和较大的单元胞导致晶体生长缓慢,因此提高了过冷液体的稳定性,以获得更好的非晶成型能力。相关论文以“Improving glass forming ability of off-eutectic metallic glass formers by manipulating primary crystallization reactions”发表在金属顶刊Acta Materilia上。这份工作可谓是非晶领域的一次重大突破,针对该论文的重大贡献,帝国理工大学Michael I. Ojovan教授在Scripita Materilia期刊上专门发表了相关评述性论文,对该工作表示高度赞扬。Michael I. Ojovan教授的评述性论文题为“Comments about a recent publication entitled “Improving glass forming ability of off-eutectic metallic glass formers by manipulating primary crystallization reactions”,对该工作的核心内容进行了精辟解读,并做出了前瞻性预测。

3. 图文导读

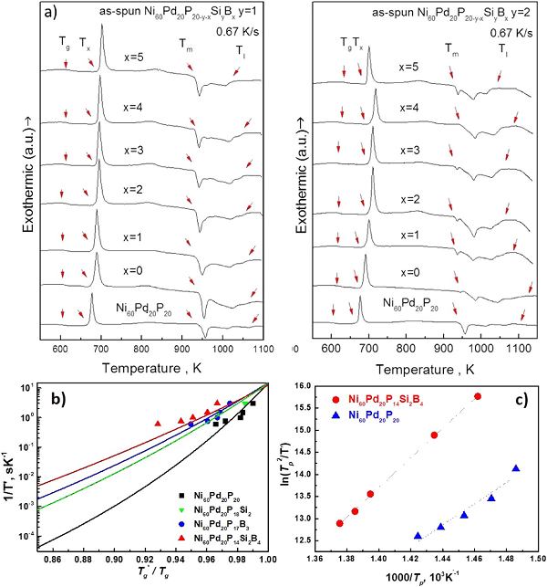
图1 Ni60Pd20P20-y-xSiyBx金属非晶合金的热表征。(a)升温速率为0.67 Ks−1时Ni60Pd20P20-y-xSiyBx的DSC曲线;(b) 热重归一化至Tg* (Tg*被定义为在加热速率为0.067 Ks−1时玻璃化转变的起始温度)函数的逆升温速率脆性图;(c) 基于Kissinger方程的Ni60Pd20P14Si2B4和Ni60Pd20P20的结晶活化能测量.

图2 铜型铸造Ni60Pd20P18-xSi2Bx玻璃合金的最大直径与B含量的函数关系。

图3 水淬形成大块非晶玻璃试样.(a) 水淬试样的外观尺寸为Ni60Pd20P14Si2B4 (25 mm)、Ni60Pd20P17B3 (15 mm)和Ni60Pd20P18Si2 (15 mm)。图片中也显示了部分结晶的Ni60Pd20P20 (6mm)样品,供参考;(b)图(a)所示样品的XRD谱。

图4 直径为25 mm的水淬 Ni60Pd20P14Si2B4样品的TEM照片,(a) BF-TEM, (b) DF-TEM, (c)样品中心部分的HRTEM照片。(a)中的插图为样品对应的SAED。

图5 Ni60Pd20P14Si2B4非晶玻璃在压缩下的应变-应力曲线插图分别为压缩破坏样品断口的SEM (a)断口图,(b)侧视图,和(c)断口的脉状图。

图6 对Ni60Pd20P14Si2B4、Ni60Pd20P17B3、Ni60Pd20P18Si2和Ni60Pd20P20约化偶分布函数G(r)。插图是第一个G(r)峰的放大图像。

图7 Ni60Pd20P20玻璃初晶的TEM表征. (a) Ni60Pd20P20退火带中析出的代表粒子的透射明场图像,(b)玻璃基体的SAED图案,(c)析出粒子的SAED图案。

图8 Ni60Pd20P14Si2B4非晶初晶的TEM表征。(a) Ni60Pd20P14Si2B4退火条带的BF-TEM图像,(b)玻璃基体的HRTEM图像和SAED图像,(c)沉淀粒子的HRTEM图像和SAED图像。

图9 Ni60Pd20P14Pi2B4非晶退火后初生晶相系统的SAED、HAADF-STEM和STEM-EELS 表征结果。 (a)和(b)为c轴的选区电子衍射, (c)为a轴和b轴的选区电子衍射。(d)和(e)为不同晶体取向的高分辨率HAADF-STEM图像,其分别对应初生晶相的(a)和(b)。(d-e) 化学调制结构,可以从质量对比度HAADF-STEM图像和显示化学调制的Pd−M边缘和Ni-L边缘的STEM-EELS映射中识别出来。
图10 原子探针层析成像取自部分结晶的Ni60Pd20P14Si2B4金属玻璃。(a)退火合金中Ni、Pd、P、Si和B元素的三维原子探针图,(B)退火后Ni60Pd20P14Si2B4玻璃的等浓度分布图.
论文链接:https://doi.org/10.1016/j.actamat.2020.09.042
Michael I. Ojovan教授的评述性论文链接:https://doi.org/10.1016/j.scriptamat.2021.114035
本文由虚谷纳物供稿。





