背景介绍
金属元素Nb、V、Ti是钢中碳化物、氮化物形成元素,它们在微合金钢中通常以固溶和第二相形式存在,当第二相的尺寸达到纳米级别时,(1)会产生强烈的弥散强化作用,(2)当它们具有较高的热稳定性时,会强烈抑制高温过程中奥氏体晶粒的长大,有利于细化晶粒和提高焊接性。在对第二相作用效果定量分析时,通常需要获得其在钢中分数信息,因而需要利用第二相在钢中的固溶度积公式。Metall. Mater. Trans. A系列四文(江西理工大学雷玄威博士为第一作者,赖朝彬教授、梁彤祥教授分别为论文通讯作者),通过热力学方法,推导建立了Nb、V、Ti的碳化物、氮化物、碳氮化物分别在铁素体和奥氏体中的固溶度积公式及热力学方程,并通过前人的数据、结果进行了验证。这一工作解决了平衡条件下,钢中Nb、V、Ti第二相分数的计算问题。
创新点
(1)推导建立了二元第二相在铁素体固溶体中固溶度积的热力学方法,获得了TiC、NbC、VC、TiN、NbN和VN的固溶度积公式;
(2)推导建立了二元第二相在奥氏体固溶体中固溶度积的热力学方法,获得了TiC、NbC、VC、TiN、NbN和VN的固溶度积公式;
(3)推导建立了化学计量比的三元第二相分别在铁素体和奥氏体中固溶度积及热力学方程的热力学方法,获得了TiCxN1-x、NbCxN1-x、VCxN1-x的固溶度积表达式,并分别揭示了其与其两个二元第二相固溶度积的关系;
(4)推导建立了非化学计量比的三元第二相分别在铁素体和奥氏体中固溶度积及热力学方程的热力学方法,获得了NbCxNy的固溶度积表达式,并揭示了其与其三个二元第二相固溶度积的关系。
结果展示
(1)Nb、V、Ti的碳化物、氮化物分别在铁素体中的固溶度积公式:


图1 第二相在铁素体中固溶度积的计算结果与前人研究结果的对比: (a)TiC , (b)NbC , (c)VC , (d)TiN , (e)NbN , (f) VN.
(2)Nb、V、Ti的碳化物、氮化物分别在奥氏体中的固溶度积公式:


图2 第二相在微合金钢奥氏体中固溶度积的计算结果与前人研究结果的对比: (a) 奥氏体中Cr含量为8.85wt%, (b) 奥氏体中Mn含量为0~10wt%, (c) 奥氏体中Cr含量为7.2wt%.
(3)化学计量比的Nb、V、Ti的碳氮化物分别在铁素体和奥氏体中的固溶度积公式:

计算化学计算比的第二相碳氮化物分数的热力学方程:

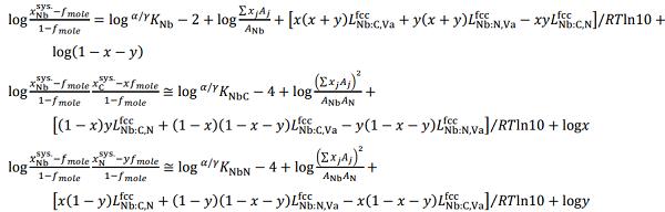
(4)非化学计量比的Nb的碳氮化物分别在铁素体和奥氏体中的固溶度积公式:

计算非化学计算比的Nb的碳氮化物分数的热力学方程:


图3 Nb的碳氮化物在奥氏体中固溶度积的计算结果与前人研究结果的对比: (a) NbC0.87, (b) NbN0.87 , (c) NbC0.87N0.14.
以上式子中, [wt.%M]表示M元素的固溶质量百分含量,
为钢中M元素的摩尔分数, fmole为第二相摩尔分数,xj 为j元素的固溶摩尔分数,Aj 为j元素的相对原子质量,
表示fcc晶格中第一点阵为M原子第二点阵为 N1或 N2原子的互易系相互作用参数。
结论
论文工作证实了双亚点阵模型可用于推导计算第二相固溶度积及分数。为研究人员摆脱热力学软件进行微合金成份设计提供了方法参考。论文得到的Nb、V、Ti的碳化物、氮化物、碳氮化物固溶度积表达式及热力学方程,可直接为Nb、V、Ti微合金钢成份设计提供参考。
论文信息
Effect of solid solution elements on solubility products of carbides and nitrides in ferrite: thermodynamic calculations, Metallurgical and Materials Transactions A, 2019, https://doi.org/10.1007/s11661-019-05188-y
Effect of solid solution elements on solubility products of carbides and nitrides in austenite: thermodynamic calculations, Metallurgical and Materials Transactions A, 2019, https://doi.org/10.1007/s11661-019-05295-w
Solubility products and equilibrium equations of carbonitrides in steels: thermodynamic calculations, Metallurgical and Materials Transactions A, 2021, https://doi.org/10.1007/s11661-021-06184-x
Solubility product and rquilibrium rquations of non-dtoichiometric niobium carbonitride in steels: thermodynamic calculations, Metallurgical and Materials Transactions A, 2021, https://doi.org/10.1007/s11661-021-06393-4
本文由作者投稿。





