当前位置: 材料牛 » HTH官网地址 » 综述 » 南昆士兰大学陈志刚,昆士兰大学邹进&化学所狄重安Prog. Mater. Sci.:基于导电聚合物的柔性热电材料和器件:从机理到应用

南昆士兰大学陈志刚,昆士兰大学邹进&化学所狄重安Prog. Mater. Sci.:基于导电聚合物的柔性热电材料和器件:从机理到应用

【引言】

人类社会严重依赖于煤,石油等不可再生资源作为能源供应,而大量的能源消耗造成了严重的问题,包括温室气体排放,空气污染和能源危机等。为了缓解能源消耗过快的现状,研究人员一直在探索可以提高能源利用效率从而降低能源消耗的绿色能源技术。热电材料能够实现固态能量的直接转换,因此为解决能源危机和环境问题提供了可靠的解决方案。

导电聚合物因其安全无毒,制备便宜,以及良好的柔性等优点被认为是具有巨大应用潜力的新一代热电材料而备受关注。然而,相较于传统的无机热电材料,导电聚合物本身较低的热电优值,使其目前还具备较大的发展优化空间。此外,由于聚合物本身并不具备严格的晶体结构,其内在的导电导热现象和热电性能之间的关联还尚未得到充分的理解。值得一提的是,相关的理论研究一直在进行,尽管系统性的理论并未发展成熟,但针对这些研究成果进行恰当和及时的整理将使我们更加深入理解导电聚合物的导电导热性质与其分子结构之间的密切联系。

时至今日,虽然导电聚合物作为热电材料的研究已经取得了一定的进展,然而目前仍旧没有一个较为全面而系统的综述性工作来总结这些成果。因此,迫切需要对其进行详细的总结并深入地讨论该热电材料体系中制约热电性能的关键因素,这对探索合适的工艺以进一步提高其热电性能而言非常重要。

【成果简介】

为了全面概述导电聚合物基热电材料的最新进展,澳大利亚南昆士兰大学陈志刚教授和昆士兰大学邹进教授团队与中国科学院化学研究所狄重安教授合作发表最新长篇综述总结了导电聚合物的结构特征以及掺杂程度与其热电性能之间的内在联系,并详细讨论了现有的理论模型对于描述其热电性能的适用性和局限性,以及现有的材料性能优化方法和制备方法。此外,该综述还总结了最新的柔性器件设计和组装方法,并介绍了几中具有代表性的器件构型,以及进一步的器件机械性能评估和优化方法。最后,该综述指出了目前针对于导电聚合物基热电材料所存在的争议,挑战, 以及相应的策略。相关研究成果以“Conducting polymer-based flexible thermoelectric materials and devices: from mechanisms to applications”为题发表在材料学领域顶级综述期刊Progress in Materials Science上。

【图文导读】

1. a) 热电材料的发展和应用; b) 柔性热电材料的优点;c) 理论能量效率和热电材料优值的关系

2. (a) 符合nearest neighbouring hopping model的电导率和温度关联; (b) 符合variable-range hopping model的电导率和温度关联;c) 符合mobility edge model的电导和塞贝克系数关联;d)符合transport edge model的电导和塞贝克系数关联。

3. a)掺杂 ClO4, PF6和bis(trifluoromethylsulfonyl)imide (BTFMSI)的PEDOT:PSS薄膜的热电性能;b)导电聚合物的两种掺杂方式;c) 没有掺杂EG和 d)掺杂3%EG的PEDOT:PSS薄膜的二维 GIWAXD图;e)PEDOT:PSS薄膜的电导率与掺杂的DMSO浓度的关系;f)PEDOT:PSS薄膜的电导率与掺杂的EG浓度的关系。

4. a) 制备单晶PEDOT纳米线的工艺流程示意图;b) PEDOT纳米线的TEM图像和衍射图谱 的;c) PEDOT纳米线电导率与线宽的关联。

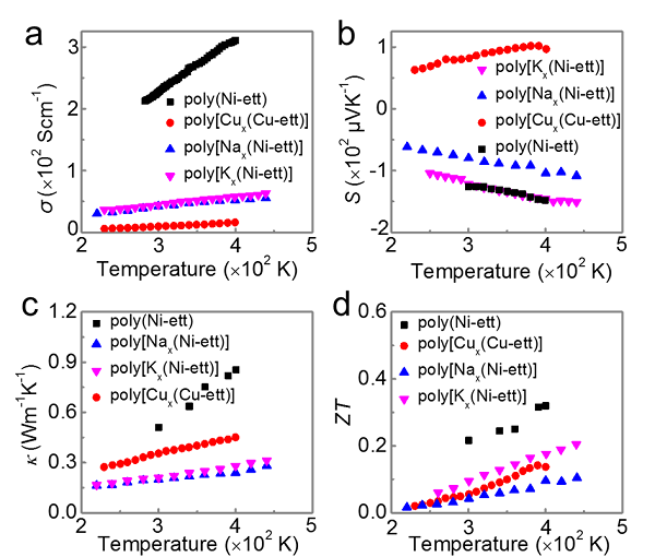
5. 四种金属元素络合聚合物的热电性质与温度的关联。a)电导率,b)塞贝克系数,c)热导率和d)ZT 。

6. a) 碳纳米管在球型乳胶颗粒表面形成三维网状结构的示意图;PVAc/CNT/PEDOT:PSS复合物的 b)电导率和c)塞贝克系数。

7. a)PEDOT:PSS/Te复合物原位合成法示意图;b)纳米Te棒的SEM和TEM图;c)PEDOT:DBSA/Cl-Te的HRTEM图;d)和e)PEDOT:DBSA/Cl-Te薄膜的热电性能不同掺杂单晶硒化锡块体的热电性能。

8. a)不同薄膜厚度t和 b)薄膜热导率κ条件下,薄膜长度方向上的温度分布曲线;c)最近几个代表性工作中报道的柔性器件输出功率密度比对图。

9. a)3D打印制备热电器件的示意图;b)liquid-bridge-mediated transfer moulding法制备热电器件示意图;c)紫外线刻蚀法制备热电器件示意图;d)电子束刻蚀法制备热电器件示意图。

图10 a)通过张力测试得到PPBH/CNT/PUBI薄膜的应力-应变曲线;b)通过张力测试得到PPy/SWCNT薄膜的应力-应变曲线;c)FET模块的内阻随弯曲半径的变化曲线;d)FET模块的内阻随弯曲次数的变化曲线;e)Au-doped CNT/PANI薄膜器件的内阻随温度的变化曲线;f)该器件内阻随弯折次数的变化曲线。

11. 指南针型示意图以说明提高导电聚合物基热电材料性能的方法。

【小结】

 本文首先从导电聚合物的输运机理出发,分析了导电聚合物的结构特征,掺杂程度以及载流子平均能量与其热电性质之间的内在联系,并阐明了这些因素对聚合物中载流子和声子输运的影响。此外,本文还总结了几种载流子输运模型,包括VRH(variable-range hopping)模型,NNH(nearest-neighboring hopping)模型,ME(mobility edge)模型,TE(Transport edge)模型以及混合模型,并分析了这些模型的适用性和局限性。在实验进展方面,我们从掺杂,二次掺杂,后处理,金属和卤族元素络合和替位反应等多方面详细讨论了不同优化策略对导电聚合物的性能增强的机理和优缺点,并进一步总结了以导电聚合物为基的多相复合物的合成方法及性能优化策略。据报道,纯相导电聚合物薄膜经性能优化之后热电优值ZT峰值可以达到0.42,而Bi2Te3-PEDOT复合薄膜的热电优值ZT峰值则达到了0.58,因此,通过有机相复合无机相的合成方法是获得高性能导电聚合物基热电材料的可行之路。最后,我们还介绍了导电聚合物基热电器件的设计思路,制造方法和性能强化策略。总的来说,基于高性能的热电材料制造的紧凑型热电器件在足够的温差条件下可以输出较大的功率,足以驱动一般的可穿戴设备,包括传感器和电子手表等。以上的内容旨在为高性能导电聚合物基热电材料的研发提供借鉴思路,并为高性能柔性热电器件的设计和制造提供设计方法,也阐明了导电聚合物在热电器件应用方面的巨大应用价值。因此,该综述必将会为进一步的导电聚合物基热电材料的理论,实验和应用研究注入新的动力。

文献链接:https://doi.org/10.1016/j.pmatsci.2021.100840

团队介绍

许声多于2015年和2017年在哈尔滨工业大学能源科学与工程学院取得学士和硕士学位。2017年开始在昆士兰大学昆士兰大学邹进教授团队及南昆士兰大学陈志刚教授团队攻读博士学位,目前的研究方向集中于柔性热电材料,热管理技术,智能器件设计及制造,在《Chemistry of materials》, 《Energy & Environmental Science》和 《Progress in materials science》等期刊发表论文十余篇。

史晓磊(共同一作)就职于澳大利亚南昆士兰大学未来材料中心,于2008及2011年在北京HTH官网地址 大学分别取得材料学学士及硕士学位,毕业后就职于清华大学摩擦学国家重点实验室深圳微纳研究室进行科研工作。2015年获得澳大利亚国际留学生全额奖学金(IPRS)开始在澳大利亚昆士兰大学攻读材料工程博士,为2018年度国家优秀自费留学生奖学金获得者,并于2019年获得博士学位。长期致力于高性能热电材料与器件的研究,在溶剂热法制备微纳米热电材料的合成及掺杂机制等方面取得了突破性成果,并在多个热电材料体系取得世界领先。共指导3名博士研究生和5名硕士研究生,其中已毕业硕士研究生3名。共在Chem. Rev.,Prog. Mater. Sci.,Adv. Mater.,Energy Environ. Sci.,Mater. Today,Adv. Funct. Mater.,ACS Energy Lett.,ACS Nano,Adv. Energy Mater.,Energy Storage Mater.,Adv. Sci.,Nano Energy,Small,J. Mater. Chem. A,Chem. Mater.,Chem. Sci.,Chem. Eng. J.等国际学术期刊上发表论文94篇(影响因子10以上33篇),中国发明专利3项,其中以第一及通讯作者身份发表论文35篇,6篇被选为ESI高被引论文(前1%),2篇被选为Hot Paper(前1‰)。这些论文被Google Scholar引用达2500余次,H-index达到28。目前担任国际开源学术期刊Micromachines(影响因子2.891)热电材料与器件特刊编辑及十余个国际知名期刊的审稿人。

狄重安,中国科学院化学研究所研究员。2008年于中国科学院化学研究所获理学博士学位,之后在化学所工作至今,历任助理研究员、副研究员和研究员;先后作为访问学者访问了剑桥大学卡文迪什实验室和斯坦福大学化工系。曾获中国化学会青年化学奖、中国科学院卢嘉锡青年人才奖、中科院院长特别奖等奖励,入选全国百篇优秀博士论文(2010年度),2014年获得国家自然科学基金委优秀青年基金资助,现为Adv. Mater. Tech.和J. Energ. Chem.期刊的国际顾问编委。长期从事高迁移率有机半导体的电荷输运调控及其器件功能化方面的研究工作,迄今在Nat. Commun., Acc. Chem. Res., J. Am. Chem. Soc., Angew. Chem. Int. Ed., Adv. Mater.等国际著名期刊发表论文170余篇,论文总引用12600余次,H-index达到58.

邹进教授现任澳大利亚昆士兰大学的纳米科学讲席教授(Chair in Nanoscience),曾任澳大利亚电子显微学会秘书长,及澳大利亚昆士兰华人工程师与科学家协会副会长。邹进教授目前的研究方向包括:半导体纳米结构(量子点,纳米线,纳米带,超簿纳米片) 的形成机理及其物理性能的研究;先进功能纳米材料的形成及其高端应用,尤其在能源,环保和医疗中的应用;固体材料的界面研究。邹进教授在 ISI 刊物上已发表学术论文 750 多篇(Web of Science),其多数论文发表在国际知名刊物上并被引用二万七千次。邹进教授目前承担多项澳大利亚研究理事会的研究课题。

陈志刚教授是澳大利亚南昆士兰大学能源学科讲席教授(Professor in Energy Materials),昆士兰大学荣誉教授,南昆士兰大学功能材料学科带头人。长期从事功能材料在能量转化的基础和应用研究。师从成会明院士和逯高清院士。2008年博士毕业后即成功申请到“澳大利亚研究理事会博士后研究员”职位,前往澳大利亚昆士兰大学机械与矿业学院工作,先后担任研究员,高级研究员,荣誉副教授,荣誉教授,后转入澳大利亚南昆士兰大学担任功能材料学科带头人,副教授(2016),教授(2018-),先后主持共计一千七百万澳元的科研项目。在南昆士兰大学和昆士兰大学工作期间,共指导17名博士生和10名硕士研究生,其中已毕业博士生9名和硕士生4名。在Nat. Energy, Nat. Nanotech.、 Nat. Commun.、Chem. Rev. 、Prog. Mater. Sci.、 Adv. Mater.、 J. Am. Chem. Soc.、Angew. Chem. In. Ed. 、Nano Lett.、Energy Environ. Sci.、ACS Nano、Adv. Energy Mater.、Adv. Funct. Mater.、和Nano Energy等国际学术期刊上发表300余篇学术论文, 目前共有SCI高被引论文21篇,热电论文2篇。这些论文共被SCI引用17000余次,H-index达到65。

Conducting polymer-based flexible thermoelectric materials and devices: From mechanisms to applications

Shengduo Xua1,Xiao-Lei Shib1,Matthew Darguscha Chongan Did Jin Zouac Zhi-Gang Chenba

https://doi.org/10.1016/j.pmatsci.2021.100840

本文由作者投稿。

未经允许不得转载:材料牛 » 南昆士兰大学陈志刚,昆士兰大学邹进&化学所狄重安Prog. Mater. Sci.:基于导电聚合物的柔性热电材料和器件:从机理到应用

相关文章

Baidu
map