引言:
近年来,钙钛矿材料由于其独特的光电特性及低廉的生产制备成本吸引了研究者们的广泛关注。钙钛矿薄膜作为钙钛矿太阳电池的核心成分,直接决定了器件的性能及稳定性。在钙钛矿电池的制备过程中,不可避免的会在晶界以及界面处引入大量缺陷,这些缺陷会作为非辐射复合中心,严重损伤器件的性能及稳定性。而添加剂工程可以实现对这些缺陷的有效钝化,从而降低缺陷态密度,提高电池效率及稳定性。
成果简介:
由于氟原子天然的疏水特性,用于钝化钙钛矿缺陷,提高电池效率及稳定性的含氟添加剂引起了研究者们的极大关注。陕西师范大学刘生忠教授团队高黎黎博士&张静博士详细研究了含有不同个数氟原子的氟乙胺(FEA)分子梯度钝化钙钛矿薄膜缺陷,调控薄膜光电性质、以及钙钛矿电池效率以及稳定性的影响。研究者还通过ToF-SIMS研究发现不同个数氟的添加剂在薄膜中呈现梯度分布,可以钝化薄膜不同位置的缺陷,其中,一氟乙胺实现了从体相到表面的整体钝化,因此将电池效率从22.2%提高到了23.4%。该工作以题为“Fluoroethylamine Engineering for Effective Passivation to Attain 23.4% Efficiency Perovskite Solar Cells with Superior Stability”发表在Advanced Energy Materials上。
图文简介:
图1. 含有不同添加剂的钙钛矿器件的结构与表征

a) 截面SEM图像 b) J-V曲线 c) 最大功率点下的稳定输出功率 d)EQE图谱 e) 开压随光强变化图谱 f) 未封装的电池在相对湿度为10-20%,温度为15-25°C下的环境稳定性。
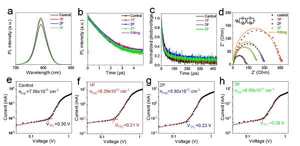
图2. 非辐射复合和缺陷态密度表征

a) 钙钛矿薄膜的荧光图谱 b) 时间分辨荧光图谱 c) 瞬态光电压图谱 d) 电化学阻抗谱 e-h) 不同添加剂修饰钙钛矿的暗态I-V曲线
图3. 钙钛矿薄膜形貌和接触角表征

a) 钙钛矿薄膜的平面SEM图像 b) 原子力显微镜(AFM)图像 c) 薄膜与水的接触角图像
图4. 钙钛矿薄膜晶体结构与吸光性能表征

a) 不同1FEA添加量的XRD图谱 b) 不同1FEA添加量的紫外可见吸收光谱 c) 不同添加剂的XRD图谱 d) 不同添加剂的紫外可见吸收光谱
图5. 添加剂在薄膜中的分布情况

a) 不同添加剂钙钛矿薄膜的F元素分布图 b) 1FEA修饰的钙钛矿薄膜中F、Pb、I元素的分布图 c) 2FEA修饰的钙钛矿薄膜中F、Pb、I元素的分布图 d) 3FEA修饰的钙钛矿薄膜中F、Pb、I元素的分布图 e) F元素分布的3D展示 f) FEA在钙钛矿薄膜中的示意图
文章链接:Fluoroethylamine Engineering for Effective Passivation to Attain 23.4% Efficiency Perovskite Solar Cells with Superior Stability. Adv. Energy. Mater. 2021, 2101454.
DOI: 10.1002/aenm.202101454
本文由作者投稿。





