二硒化铼(ReSe2)是一种层状间接带隙半导体,微机械剥离后可生成由上面和下面的Se原子与平面Re原子构成的单分子层。非典型层状过渡金属二卤化物(TMD)的ReSe2包含了任何TMD中最重的一些元素(因此它将显示出显著的自旋轨道相互作用);(ii)它有一个大的单元格,除了一个反转中心外,没有其他对称;(iii)它在单层单元内具有高度各向异性结构;(iv)它包含金属-金属以及金属-硫键;以及(v)其表面在其单元的横向长度尺度上是波纹状的独特性。TMD为生产相对大面积的单分子层半导体提供了很大的可能性,利用其光学、电子或自旋特性,可以将其制成纳米级器件结构。因此发展ReSe2成为TMD家族将为拓展TMD材料的发展及应用开辟一条新的道路。因此,Daniel Wolverson等人结合拉曼光谱及理论计算对确定单层,少层和块体ReSe2的信息提供了非常有意义的参考价值。
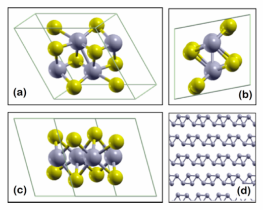
图1 ReSe2的晶体结构示意图,(a)ab,(b)bc和(c)ca平面的ReSe2的菱形单元晶胞(黄色:Se,灰色:Re),(c)不同位置的Se原子垂直于平面,(d)Re原子的平面排列(从正方向看至层平面),形成Re链。
首先,与其他TMD类似,块体ReSe2是由夹在上下面的Se原子和层间的Re原子所组成的一种平面层结构,其中层与层之间由范德华力连接,相邻层的垂直距离为6.56 Å,这也是测量得到的单层(1L)厚度。与其他八面体金属位点的TMD材料不同的是,ReSe2具有较低对称性的三斜晶体结构,每个单元晶胞含有四个化合式量,体积空间组为P1。X射线衍射确定ReSe2的结构是由一维的Re原子链或带组成,其正四价的Re原子在平面上排列成Re4菱形或金刚石形状,该形状可称之为金属中心离子远离理想八面体位置的一种扭曲,其结构如图1所示。而且Re4晶胞中的金属键长相类似于甚至小于块体金属Re的金属键长,Re原子的一维排列也导致了层面高度的各向异性。随着金属原子打破的不对称性和与MoS2明显区别的是Re平面上下的位移不相等,就会导致表面产生垂直振幅为0.34 Å的波纹。因此,一维或者二维周期的ReSe2可以施加在其他二维材料上作为多层异质结构的组成部分。
通过前人的研究发现,拉曼光谱在研究石墨烯或二维材料的层数和应变具有非常大的优势,是确定ReSe2层数的最好表征工具。因此作者联合原子力显微镜(AFM)与拉曼光谱仪得出如下图2中ReSe2的光谱图和图像。通过AFM可以确定ReSe2的层数自5-10层之间,在对这些不同层数的ReSe2进行拉曼表征可以看到强振动频率范围为100~300 cm-1,其中521 cm-1处是对应Si衬底的拉曼峰。这其中作者只是考虑参与一阶拉曼散射的Brillouin中心声子。由于ReSe2每个单元有12个原子,预计会有36个正常模式。由于单元格点群对称Ci只有相同和反转的对称元素,并且所有的原子都从反转中心移位,所有正态模都不是简并,因此这里就有18种拉曼活性Ag模式,15种红外活性Au模式和3种零频Au模式。实验发现,需要16种模式才能拟合光谱,其中最高频率的Ag模式(实验拉曼位移在294 cm-1处)很弱,有时无法观测到,同时预测大多数剩余的峰都有很大的重叠,所以用拟合光谱来定位所有18种拉曼活性模式是非常困难的。

图2 Si衬底上的(a)10层,(b)5层,(c)厚片状ReSe2样品的拉曼散射图谱,右侧显示了获得光谱(a)和(b)的样品的接触模式AFM图像,并标注了各层的厚度。在100~300 cm-1之间的峰都是由三斜态的ReSe2引起的,在521 cm-1处的峰是由(001)取向Si衬底引起的,这是通过观察样品的过渡区域得到的。在相似的实验条件下,光谱没有归一化来表示典型的相对强度。
进一步分析ReSe2的拉曼光谱非标准化强度分布,通过图3a中上部的颜色表明5L和10L的ReSe2在可见波长区域内是足够透明的,可以显示干涉效应,厚的薄片是呈现黄白色的高度反射。图3c中Si的拉曼光谱强度分布图就可以看出ReSe2的5L区域强度最强,白色箭头所指的10L区域较弱,而厚片状的ReSe2的强度最弱。图3d和图2中的拉曼光谱图可以看出来拉曼信号并不与厚度成正比,主要是由于传统的SiO2/Si衬底的干涉效应导致。

图3 (a)图2中拉曼图谱对应的ReSe2样品的光学显微图像,(b)重复图2中薄片的接触模式AFM图像,(c)521 cm-1模式的Si衬底的空间强度分布。(d) ReSe2中124 cm-1波段的空间强度分布(假定颜色亮度的增加表明拉曼信号的增加)。厚的,高度反光的薄片被标记为t;它的信号相对较弱,因此在(d)中不可见。白箭头表示(c)和(d)中的10L区域。
图3中出现的不同厚度下ReSe2不同的相对强度分布,如图3a-c中的124和159 cm-1波段,则意味着ReSe2的拉曼峰的相对强度要么依赖这种低对称材料的取向要么依赖于样品的厚度,或者两者都依赖。科学的研究就是要证明这些模棱两可的问题,所以作者为了澄清拉曼信号依赖取向还是厚度这一点,作者测量了图4a-c中含有1L、3L和8L厚度区域的第二片晶体的偏振相关拉曼光谱。地形线扫描(图4d)显示单层步高为7 Å,与晶体学层厚度6.56 Å一致,证明该样品含有单层(1L)区域。从图4图像中显示的形貌可以看出,1L、3L和8L区域都具有相同的取向,这就使得分离拉曼光谱中的取向和厚度效应成为可能。在对该样品的拉曼测量中,激励光斑在固定在8L区域的一个点上,旋转层面上的入射光偏振面,同时保证Si衬底在检测过程中的拉曼强度是一个常数值。

图4 (a)第二样本部分接触模式AFM图像,显示厚度为1L、3L、8L的区域。(b)整个样品在光照条件下的光学图像,最大限度地提高不同层厚之间的颜色对比度;虚线白色框标识图(a)区域的AFM图像。(c)样品下端的接触模式AFM图像。黑线显示地形扫描线的位置,给出(d)所示的高度剖面图。
图5右侧的521 cm-1位移处的Si拉曼峰强度证实了Si衬底不受偏振角度旋转的影响,与此同时可以看到所有模式下,ReSe2表现出随激发极化旋转角度变化而明显变化的拉曼峰强度。ReSe2的拉曼信号中110~124 cm-1的重叠频带组和158 cm-1处的峰随着激发极性旋转360°之后发生的明显弹性变化。但是理论计算表明ReSe2的原子位移不只是简单地分为平面内或平面外振动,同时还存在涉及Re原子发生显著位移的扭转和摇摆振动,而高频模式则涉及较轻的Se原子的拉伸和摇摆振动。所以作者考虑ReSe2拉曼光谱明显的角度依赖性是否可以用来确定薄片的取向。

图5 ReSe2的拉曼光谱与激发偏振旋转角的关系图,入射偏振以15°每步旋转和垂直偏移来记录图谱;非极化检测可以保证Si衬底的强度恒定在520 cm-1处的拉曼峰;角度比例尺的零点是由实验装置定义的,因此对于样品的晶体轴是任意的;其光谱未进行归一化处理;高亮的红色(0°和180°)和蓝色(90°)光谱显示在激发极性旋转180°后得到相同的光谱。
首先,作者利用层面上光偏振相关的拉曼张量R与入射和散射偏振矢量对拉曼模的影响,通过比较第一性原理张量R和实验张量R0(这是R通过围绕层法线的旋转Φ转换成实验室坐标系)预测的拉曼模的角依赖关系,来测量晶体与实验室转轴的绝对旋转Φ。图6a中进一步的DFT模拟计算可以看出实验测试点值与模拟实线值具有非常高的拟合度,虚线的位置表明了两种模式中每种模式中获得最强散射的方向;随后在图6b中模拟这些模式的期望强度随角度的变化,通过对比虚线的变化之后可以确定两种图形在平面内晶体轴和实验室轴之间相互旋转了角度Φ。图6c和d第二个样品中也表现出类似的结果,说明测定ReSe2样品的绝对取向就是计算拉曼张量的已知因素。

图6 (a) 通过图2所示的样本获得测量ReSe2的124 cm-1(蓝色钻石)和110 cm-1(红色方块)模式的峰值强度作为激发极化方向的函数。也显示(黑色三角形)是重叠的116和120 cm-1模式的峰值强度。(b)理论计算拉曼张量得到峰强度的角度依赖性。依据(a)和(b)使用124和158 cm-1模式(分别为蓝色圆圈和绿色正方形)(c)测量和(d)计算峰值强度的角度依赖关系。
再利用不同照明条件的光学显微镜对不同层数的ReSe2表征拉曼信号可以看出,不同层数区域的拉曼信号频率并没有随着样品的厚度发生变化。此外,拉曼峰值强度对层厚和取向很敏感,单个峰值强度的变化可以由任何一种变化引起。然而,如果两个不同的峰的强度之比,例如,r=I124/I158,那么r值结果则仅是关联Φ方向的函数,与样品的厚度无关。例如图8d和8e中折叠的薄片,在全角度测量数集中证明相对于较薄片区域,较厚片区域的是混乱定向的。图7e显示了基于r=I124/I158的薄片的假定颜色映射,很明显,较暗的绿色区域对应的是错位的区域。与之前图3中所示的同一薄片的图谱不同,这个新的图谱仅基于晶体学取向,并且厚度的影响已经被消除了。因此,该方法为表征ReSe2提供了一种强大而实用的方法,有望应用于一般的各向异性少层材料。

图7 (a)图5中ReSe2样品的光学显微镜,(b)同一样品的AFM图像轻敲模式识别薄片内的层数。(c)拉曼图的强度为124 cm-1波段,I124的位置为1L区域,如箭头所示。(d)图5所示的薄片的光学显微图。(e) (d)样本的拉曼图,其中假色标度由124与158 cm-1拉曼波段的强度之比推导而来。在(d)和(e)中,10L区域的位置用箭头表示。
参考文献:Daniel Wolverson*, Simon Crampin, Asieh S. Kazemi, Adelina Ilie, and Simon J. Bending, Raman Spectra of Monolayer, Few-Layer, and Bulk ReSe2: An Anisotropic Layered Semiconductor, ACS Nano 2014, 8, 11, 11154-11164
文章来源:https://doi.org/10.1021/nn5053926
本文由LLLucia供稿。





