第一作者:Peter M. Csernica
通讯作者:David A. Shapiro ,Michael F. Toney,William C. Chueh
通讯单位:斯坦福大学,劳伦斯·伯克利国家实验室,国家加速器实验室
DOI:https://doi.org/10.1038/s41560-021-00832-7
背景
富锂和富锰(LMR)材料商业化面临的两个主要挑战是循环期间放电电压的逐渐衰减和它们在高脱氢状态下释放氧气的趋势。虽然层状氧化物在第一次电化学循环中的氧释放已被广泛研究,但对延长循环过程中的氧释放过程知之甚少。这在一定程度上是因为与第一个循环相比,在随后的每个循环中只释放少量的氧,因此在电化学质谱研究中可以检测到可忽略的信号。目前,增加层状氧化物电池电极的能量密度是具有挑战性的,因为电极材料进入高的脱氢状态通常会引发电压下降和氧气释放。
研究的问题
本文利用透射X射线吸收光谱显微镜和光刻技术,在Li1.18-xNi0.21Mn0.53Co0.08O2-δ电极的横截面上利用纳米尺度定量描述了循环过程中的氧缺陷。氧缺陷穿透到单个初级粒子(~200nm)的整体中,并由氧空位扩散理论描述。使用一系列表征技术,本文证明了在自然层状相中持续存在的体氧空位确实是观察到的光谱变化的原因。此外,本文还表明,初级粒子在次级粒子(~5μm)内的排列导致初级粒子之间的释氧程度有很大的不均匀性。本文的工作合并了一系列跨越长度的表征方法,并提供了一些有前景的方法来减轻锂离子电池电极中氧释放的有害影响。
图文分析

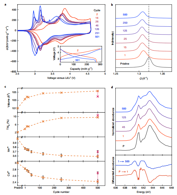
图1|电化学电压降低与阳离子无序和TM降低有关。
要点:
- 同步辐射X射线衍射(SXRD)的Rietveld精细化图谱表明,LMR-NMC在500次循环后仍然是具有R3m空间群的单一相,没有被过渡金属(TM)的四面体占据(图1b)。
- 另一方面,Rietveld精细化表明,随着循环的进行,锂层的八面体位置的TM占有率从2at%稳步增加到10at%(图1c),这与之前的报告一致。这里观察到的强相关性(图1c)表明,这两者可能在力学上是相互联系的。
- 这些光谱变化即使在没有量化的情况下,也可以从不同的曲线图上看到(图1d),这与TM K-edge光谱结果非常一致,这表明d电子计数随着循环而增加。

图2|初级粒子中Mn氧化态的空间依赖性。
要点:
- 与大多数层状氧化物一样,LMR-NMC中的初级粒子以二次粒子的形式存在,而不是以孤立粒子的形式存在。为了保留二级结构,并使样品对X射线足够透明,本文通过干燥的机械超微切割法制备了薄的横截面薄片。首先用分辨率为~5-20 nm(图2a-c)的X射线光谱分析技术讨论了单个初级粒子内的氧化态不均匀性。
- 正如预期的那样,一次循环后的Mn还原集中在颗粒边缘附近,这表明氧的释放始于颗粒的表面(图2d)。此外,初级粒子之间的氧气释放程度有很大的不均一性(图2b)。最后,从颗粒表面开始的氧缺陷在许多电化学循环中逐渐进入块体(>100 nm)材料(图2d)。

图3|氧气释放的结构性后果。
要点:
- 虽然Mn3+浓度的空间分析表明,体相材料中可能存在氧空位,但这一点仍然缺乏证据,因为XAS和SXRD都不能直接分解阴离子亚晶格。考虑到LMR-NMC在循环过程中保持单相,本文提出了500次循环后电极的两种结构模型 (图3a)。
- 图3b显示,与这里和其他地方观察到的的微弱容量衰减一致,放电到并保持在2.5V的电极的Li:TM相对于Li/Li+而言几乎随循环而保持恒定。

图4|二次粒子尺度上的氧化态不均匀性。

图5|带电状态下的氧化态不均匀性。
要点:
- Ni L3边缘的氧化状态图则表现出相反的行为。虽然镍的氧化态在循环放电电极中保持一致,但在充电电极中是不均匀的(图5)。具体地说,图5d显示较厚的区域比较薄的区域达到更高的氧化态。
- 另一方面,O K-edge光谱和Ni L3边光谱一样,在放电态下是均匀的,但在6V处表现出不均匀性(图5c)。如图5d所示,氧和镍的氧化态表现出与颗粒厚度类似的依赖关系,原因可能与上述相同。
结语
利用X射线光谱分析和光刻照相技术,本文发现在长循环过程中,大块的晶格氧被大量释放出来,还发现单个初级颗粒的放氧程度高度依赖于它在二级结构中的位置,这为从形态上缓解释放氧现象提供了机会。虽然氧的释放通常与两个或更多个相之间的相变有关,每个相都包含一个完整的阴离子亚晶格,但在这里证明了只有少量(~15%)的材料是致密的,因此氧的释放很可能发生在初级粒子的表面。另一方面,循环过程中的大多数氧释放会产生大量的氧空位,这些空位形成并持续在自然的层状相中。这些空位产生于一次粒子表面,经过长时间循环进入块体,合适的氧的化学扩散系数为~10-17cm2s-1。本文的观察结果统一了之前关于TM还原和单相阳离子无序的观察结果,并暗示循环诱导的氧释放可以通过化学或结构调整来缓解,这些改变抑制了氧空位在块体材料中的形成和/或传输。
本文由SSC供稿。






