可充水系锌电池,由于锌具有较高的理论容量、较低的价格、与水较好的兼容性和低毒的优点,引起研究人员的广泛关注。受到锂离子电池中所采用的嵌脱化学技术的启发,目前报道的水系锌电池正极材料,绝大多数采用嵌脱型的正极材料。然而,由于Zn2+离子嵌脱过程对正极材料的结构有诸多限制因素,例如要求正极材料活性中心具有多种变价态,正极应具有大的隧道结构容纳水合锌离子(4.3 Å),以及正极对Zn2+离子具有高度的电化学亲和性和活性。这些限制导致目前报道的嵌入型机制的正极材料的能量密度难以进一步提高。相反,具有转换型机制的正极材料,对结构的依赖性较弱,理论上可以获得更高的容量和能量密度。最近研究人员发现,硫基材料是一种具有潜力的转化型正极材料,可以实现较高的可逆容量和能量密度(Adv. Sci. 2020, 2000761)。不过其较低的放电电压和较大的极化,限制了其应用。因此,发展更加合适的转化式电极材料是一个巨大的挑战。
【成果简介】
近日,武汉大学汪的华和华中HTH官网地址 大学蒋凯教授(共同通讯作者),采用磷掺杂的碳纳米片(PCS)包覆SeS2(SeS2@PCS),作为转换型正极材料,用于水系Zn-SeS2电池。作者采用0.1wt%碘作为1 M ZnSO4电解液的添加剂,充当一种氧化还原的媒介,不仅显著改善了SeS2@PCS与电解液的兼容性,而且能够有效提高材料的利用率和降低反应极化。同时,该添加剂还有利于Zn2+离子在SeS2表面吸附,提高反应动力学。基于此,SeS2@PCS可以放出高达1107 mAh g−1的可逆容量和 0.74 V的平坦放电平台,对应能量密度高达772 Wh kg–1,该数值高于目前报道的大多数正极材料。而且SeS2@PCS电极具有优异的循环性能,1000周后具有85%的容量保持率。作者通过非原位XPS和XRD等揭示了SeS2在ZnSe和ZnS之间的可逆转变,而且其反应动力学受限于放电过程。相关成果以题为“Phosphorus-doped carbon sheets decorated with SeS2 as a cathode for aqueous Zn-SeS2 battery”发表在了Chemical Engineering Journal上。
【图文导读】
图1 材料合成和形貌表征

a)PCS 和 SeS2@PCS的合成示意图;
b-d)PCS的SEM 和TEM 照片;
e-g)SeS2@PCS的SEM 和TEM 照片;
h)SeS2@PCS的TEM mapping 照片;
图2 材料的结构

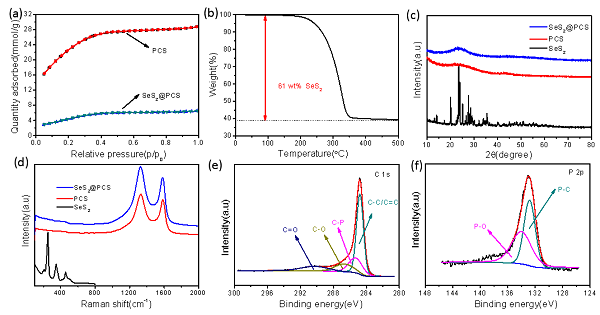
a)PCS 和 SeS2@PCS的BET;
b)SeS2@PCS的TG曲线;
c)PCS, SeS2, SeS2@PCS的XRD图谱;
d)PCS, SeS2, SeS2@PCS的Raman图谱;
e)C1s 的高分辨XPS图谱;
f)P2p 的高分辨XPS图谱;
图3 电化学性能表征

a)SeS2@PCS在0.1 A g-1电流密度下的充放电曲线;
b)SeS2@PCS在不同电流密度下倍率容量;
c)SeS2@PCS在不同电流密度下充放电曲线;
d)SeS2@PCS在0.5 A g-1电流密度下的循环性能;
e)SeS2@PCS在5 A g-1电流密度下的循环性能;
f)SeS2@PCS在5.6 mg cm-2高载量下的循环性能;
g)SeS2@PCS与文献报道的容量和能量密度比较;
图4 反应机制表征

a)SeS2@PCS的充放电曲线;
b)SeS2@PCS在不同电位下的XRD图谱;
c)SeS2@PCS中不同电位下Zn的XPS图谱;
d)原始状态下SeS2@PCS中S+Se的XPS图谱;
e)放电状态下SeS2@PCS中S+Se的XPS图谱;
f)充电状态下SeS2@PCS中S+Se的XPS图谱;
图5 动力学表征

a)SeS2@PCS放电过程的GITT曲线;
b)SeS2@PCS充电过程的GITT曲线;
c)SeS2@PCS放电过程的Zn2+离子扩散系数;
d)SeS2@PCS充电过程的Zn2+离子扩散系数;
图6 DFT理论计算

a)I–, I2和I3–在SeS2上的吸附能,以及Zn2+离子在(SeS2I–)、 (SeS2·I2) 、 (SeS2·I3–)配体上的吸附能;
b)I–, I2和I3–在ZnSe上的吸附能;
c)I–, I2和I3– 在ZnS上的吸附能;
【小结】
结果表明SeS2可作一种高能量密度的水系锌电池的正极。在含I2添加剂的ZnSO4电解液中,SeS2@PCS可以获得较高的可逆容量(1107 mAh g-1)、超高的能量密度(772 Wh kg-1)、平坦的放电平台(0.74 V vs. Zn2+/Zn)、较小极化(0.41 V)、以及良好的循环性能(1000次循环后容量保持85%)。研究发现,放电过程中SeS2转变为ZnSe和ZnS,充电过程则反之。理论计算和实验测试表明,I2作为氧化还原介质,可以改善界面电极/电解液的相容性,增加SeS2与Zn2+离子的吸附能,提高可逆容量和动力学,降低极化。本研究提出了一种高性能转换式正极材料和一种提高其反应的电解液添加剂,为发展高能量密度水系锌电池的提供了思路。
文献链接:Phosphorus-doped carbon sheets decorated with SeS2 as a cathode for aqueous Zn-SeS2 battery(Chemical Engineering Journal,2021,420,129920)
团队在该领域工作汇总以及相关优质文献推荐
[1] Synergistic Effect between S and Se Enhancing the Electrochemical Behavior of SexSy in Aqueous Zn Metal Batteries [J]. Adv. Funct. Mater. 2021, 2101237.
https://onlinelibrary.wiley.com/doi/10.1002/adfm.202101237
[2] A Low Cost Aqueous Zn–S Battery Realizing Ultrahigh Energy Density [J]. Adv. Sci. 2020, 2000761.
https://onlinelibrary.wiley.com/doi/10.1002/advs.202000761
[3] A high energy efficiency and long life aqueous Zn–I2 battery [J]. J. Mater. Chem. A, 2020, 8, 3785–3794.
https://pubs.rsc.org/en/content/articlelanding/2020/TA/C9TA13081K#!divAbstract
[4] An Ultrastable Presodiated Titanium Disulfide Anode for Aqueous “Rocking-Chair” Zinc Ion Battery [J]. Adv. Energy Mater. 2019, 1900993
https://onlinelibrary.wiley.com/doi/full/10.1002/aenm.201900993
[5]A long-life aqueous Zn-ion battery based on Na3V2(PO4)2F3 cathode [J]. Energy Storage Materials,2018, 15,14–21
https://www.sciencedirect.com/science/article/pii/S2405829717307080?via%3Dihub
[6] Advanced Low-Cost, High-Voltage, Long-Life Aqueous Hybrid Sodium/Zinc Batteries Enabled by a Dendrite-Free Zinc Anode and Concentrated Electrolyte [J]. ACS Appl. Mater. Interfaces 2018, 10, 22059−22066.
https://pubs.acs.org/doi/10.1021/acsami.8b04085
[7] Observation of Structural Decomposition of Na3V2(PO4)3 and Na3V2(PO4)2F3 as Cathodes for Aqueous Zn-Ion Batteries[J]. ACS Appl. Energy Mater. 2021, 4, 2797−2807.
https://pubs.acs.org/doi/10.1021/acsaem.1c00067
本文由作者投稿。





