1. 对Materials Research Letters期刊及其编委朱运田教授的介绍
1.1 期刊简介
《Materials Research Letters》期刊简称MRL,是由南京理工大学的朱运田教授领衔创办,2017年进入中科院SCI期刊分区的工程技术1区,被认定为材料科学与工程领域的Top期刊,期编辑部设在南京理工大学材料学院。期刊的编辑委员会由该领域世界顶尖的科学家和学者组成。
同时,该杂志接受原创的研究文章、原创信件、观点文章,这些文章具有创新性和前瞻性的观点,以及对关键问题的简要概述。年文章录用数量才52篇。属于金属加工领域的top journal。审稿专业,高效。
1.2 朱运田教授介绍
朱运田教授本科毕业于合肥工业大学,于1989年先后在美国俄勒冈研究生HTH官网地址 学院及德克萨斯大学获得硕士和博士学位。现为美国北卡罗来纳州州立大学教授,南京理工大学材料学院院长,同时兼任香港城市大学讲座教授。是一位在国际上有重要影响力的材料科学家。朱运田教授主要在纳米晶/超细晶金属与合金、炭纳米管的合成与应用领域开展研究工作, 2010年度当选美国材料学会会士(ASM Fellow),获得2010年度美国矿物、金属与材料学会材料加工与制造领域杰出科学家/工程师奖和北卡州立大学杰出研究奖,在《自然:材料》、《自然:纳米技术》等期刊发表论文230余篇。在2016年,与中科院金属研究所卢柯院士一同当选美国TMS学会会士。本文在介绍由他创办的MRL期刊额同时会介绍朱运田教授在MRL期刊所发表的一些论文。
2. Materials Research Letters期刊涵盖的范围及文章特点解析
MRL编辑委员会成员们对投稿文章严格把关,高效编审,力争每一篇高水平文章都可以在最短的时间内见刊。MRL要求刊登的文章内容严谨、创新性强,以确保期刊的高水平和高影响力,2019年-2020年度,目前该期刊的影响因子已经高达6.6,2021年的影响因子暂未公布。MRL所涉及的科学领域包括材料工程与技术、材料物理与化学、新型和新兴材料,包括的学科如下:
1)金属材料与冶金
2)先进陶瓷材料(结构和功能陶瓷)
3)聚合物材料(结构和功能聚合物及其复合材料)
4)能源材料(太阳能、电池、燃料电池、超级电容器、储氢和核能)
5)功能材料(电子材料、电介质材料、铁质材料、磁性材料、光学材料和光子材料)
6)低维材料(2D和纳米结构材料,如纳米片、管、线和带)
MRL期刊虽然是国产期刊,但是自创办以来,发展良好,这主要来源于编辑对文章质量的宏观把控以及严格的评审要求。对每一篇文章,基本邀请的是该领域顶尖的科学家来评审,其评审质量好,对文章字数和内容要求严格,尤其是文章的创新和逻辑性,期刊论文整体质量非常好。
3. 影响因子走势分析
该期刊创办于2013年,属于“年轻”一代的期刊,但其发展非常好,影响因子一路飙升。如图1所示,在2018年,高达7.4的影响因子让其一度炙手可热,中科院也评选它为一区顶刊。2019年虽然略有降低,但这并不影响它依然是非常优秀的期刊。文章质量可以媲美老牌期刊Scripta Mater等。在短期内取得良好的口碑和影响力,可谓是国产期刊的骄傲。如果紧抓文章质量并继续邀请国内外著名学者担任审稿人,相信该期刊还可以百尺竿头更进一步。

图1 MRL期刊影响因子走势
4. 最近经典文章的解读
MRL期刊收集的论文涉及到能源,催化,陶瓷以及传统金属等材料,发文量不多,但每一篇接受的论文都可谓是佼佼者。面面俱到的介绍最近的论文未免有肤浅之感,在这里笔者就金属材料的背应力强化问题给家进行深度的解读。由于背应力强化金属材料是一种新的机制,可以同时提高材料的强塑性,因此逐渐成为了研究热点,MRL期刊也收录了好几篇这方面的论文,其中几篇则由朱运田教授署名或者作为通讯和一作。从理论深度和工程应用方面都对背应力强化进行了深入解读。
1) 梯度材料中的背应力强化和加工硬化
梯度结构是一种可以用来同时强塑化金属材料的特殊结构。卢柯院士在纳米梯度铜中的研究表明,由于心部粗晶约束着表面纳米层,导致材料在强化的时候还伴随一定的塑性。由于铜中的纳米结构不稳定,在塑性拉伸的过程中,力学驱动晶粒生长成为了主要的变形机制。但是在钢等稳定的结构中,由于应变梯度的存在和应力状态的变化导致了额外的应变硬化,从而产生几何必须位错(GNDs),并促进了位错的产生和相互作用。在实际的计算中,梯度材料所产生的强化作用总是要比理论值大,因此梯度材料的变形机制还存在一些未知的东西需要研究。
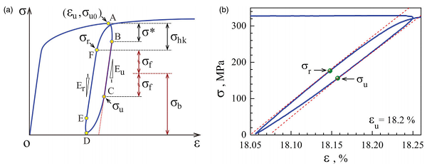
梯度结构可以近似地看成是多个薄层随着晶粒尺寸的增大而形成的整体。梯度结构在应变作用下,由于不同流动特性和应力的相邻层之间的塑性不相容而发生不均匀变形。不均的变形通常会在材料内部引发一定的背应力,其减少了位错滑移的剪切应力。在不均匀的结构中,应变总是不兼容但连续的,这导致应变梯度的产生,需要GNDs来调节。背应力强化和背应力应变硬化是强度和塑性良好结合的主要原因。在本文中,作者以IF钢为研究对象,研究了梯度材料中的背应力强化并给出了相关方程(基于加载卸载的迟滞现象)。在卸载过程中,背应力开始克服外加应力和摩擦应力,使位错向后滑动,其可以表示为σb = σu + σf。而在重新加载过程中,施加应力需要克服背应力和摩擦应力,使位错向前移动,这个过程可以表示为σr = σb + σf。通过结合这两个方程,可以计算出背应力的值。在方程中,σb代表背应力,σu是外加应力,σf为摩擦力。利用提出的方程来计算IF钢的背应力强化,发现其与试验所测的数据非常吻合。
图2 (a)卸载-再加载回路曲线,其中的字母所代表的含义分别是卸载屈服σu,σr、背应力σb、摩擦应力σf、有效卸载杨氏模量Eu、有效再加载杨氏模量Er;(b)用σu和σr定义了GS IF钢试样的卸载-再加载回路曲线[1]。
2) 不均匀结构的层次特征导致高熵合金优异的强塑性结合
高熵合金由于一系列非常优异的性能,是近几年金属材料领域研究的热点材料。这类合金成分复杂,可以通过各种机制进行强化,因此其研究内容非常广泛。在本文中,作者提出了一种新的方法,将分层微观结构特征和非均匀晶粒结构的优点结合起来,以实现同时提高强度和塑性。文中所研究的材料为Al0.3CoCrFeNi合金,处理工艺为冷轧(30%和50%)和退火(800℃/50h)。经过处理后的材料微观结构为长条状晶粒,在集体中还分布着B2粒子(各种尺寸和形貌)。另外,在晶粒内部还有退火孪晶的形成,其与弥散分布的尺寸变化的B2粒子共同组成分层微观结构特征和非均匀的基体晶粒。
力学性能测试显示合金具有优异的强塑性结合。B2粒子可以阻碍基体晶粒在变形过程中位错的运动,因此具有一定的强化作用。另外,B2粒子减少了基体中的Al元素,进一步降低了合金的层错能,在变形过程中促进纳米孪晶的形成。纳米孪晶在变形过程中进一步阻碍了位错的运动,导致明显的动态Hall-Patch效应,强化了合金。另外,纳米孪晶增强了加工硬化效应和并致使合金的塑性提高。
另外,该文还进一步实施了加载—卸载试验,探讨了不同结构之间背应力导致的强化。研究表明,B2粒子和周围的基体变形能力不同,变形时在二者的界面处会形成几何位错密度的堆积,从而导致背应力强化。

图3 分层微观结构特征和非均匀晶粒结构组成的高熵合金的背应力强化[2]
3)综述不均匀结构导致的强塑化
非均质材料可以定义为从一个区域到另一个区域强度具有显著非均质性的材料。这种强度非均质性可以由微观结构非均质性、晶体结构非均质性或成分非均质性引起。区域的大小可以在微米到毫米的范围内,并且区域可以来自不同的材料体系。非匀质材料的变形一般可以分成三个阶段:
1) 软和硬晶粒(区域)弹性变形,这与传统的均质材料相似;
2) 软晶粒开始通过位错滑移启动塑性变形,而硬晶粒保持弹性变形,导致力学性能的不兼容性。由于材料是一个整体,受到硬晶粒的约束,软晶粒不能够自由的变形,这样导致在靠近二者界面附近的软晶粒中出现应变梯度。应变梯度需要几何必须位错的调控,导致材料的协同强化,从而提高其屈服强度。
3) 软和硬晶粒同时塑性变形,但是软晶粒维持更大的塑性应该变,产生应变偏析。当相邻晶粒承受不同的塑性应变时,在晶界附近可能存在应变梯度。随着应变偏析的增加,这些应变梯度将变得更大,从而产生背应力加工硬化。背应力加工硬化有助于在拉伸试验中防止颈缩,从而提高塑性。这就是为什么双相钢具有非凡的加工硬化,从而具有较高的延展性的主要原因。
一般来说,在金属材料的塑性变形过程中,会产生两种位错,统计存储位错和几何必须位错。在传统的匀质材料中,几何必须位错和储存位错对材料的流动应力贡献基本一致。但是在非匀质材料中,几何位错密度产生的背应力强化是非常明显的,必须予以考虑。背应力与塑性应变梯度有关。塑性应变是由位错的滑移产生的,每个位错在其尾迹中留下一个伯格斯向量的位移。位错在靠近边界的地方不断堆积产生长程应力场,从而可以连续不断的阻碍位错的运动,从而产生背应力,导致一定的加工硬化,同时提高材料的强塑性。
另外,该文最后提出了设计非匀质结构的标准,首先尽可能设计更多的界面,这样才能更多地累积位错密度,从而导致更大的背应力。其次,在非匀质晶粒中最大化应变偏析,这将因此增加应变梯度和背应力加工硬化。

图4 (A)几何必要位错的堆积示意图。(B)塑性应变和应变梯度作为距离域界面的函数。(C)有效应力(=外加应力−背应力)作为到域界面距离的函数[3]。
4)非匀质变形诱发硬化(HDI)和背应力的展望
非匀质材料(HS)在最近几年受到了国内外学者的广泛关注,其研究团队和发文数量不断攀升,相关国际会议也逐渐召开。在后纳米时代,非匀质材料在可预见的时间内将会不断地成为热点。到目前为止,已发现的非匀质结构主要包括不均匀的片层结构,梯度结构,层状结构,双相结构,双态组织以及金属基复合材料。这些结构有个共同的特点,就是微观组织都由软区域和硬区域组成。在拉伸变形的时,软域首先开始塑性变形,而硬域保持弹性。在这一弹塑性变形阶段,几何必须位错(GNDs)会被域边界阻塞并堆积,在软域内产生长程内应力,即背应力。背应力具有方向性,并抵消了一些外加剪应力,使软域显得更强,能够承受更高的外加应力。正是这种背应力被认为使异质结构材料更强。当软域和硬域同时塑性变形的时候,软域维持更大的应变,造成应变的偏析。由于域边界处的塑性应变必须相同才能保持连续性,因此区域界面附近必须有应变梯度来容纳应变偏析。变梯度需要由GNDs调节,从而产生背应力诱发的硬化,这有助于保持塑性。背应力被认为是HS材料中观察到的强化和额外应变硬化的原因. 背应力也经常与运动硬化有关,这是一个在力学领域广泛使用的术语,它描述的是一种机械现象,但没有说明其物理起源。背应力的概念和术语本身在材料学界还存在争议,一些研究人员更喜欢称其为长期内应力。
在本文中,作者综述了背应力的起源,位错模型及其对材料力学性能的影响。并在此基础上分析了一些理论的问题并给出了新的解释和定义。感兴趣的研友们可以回看这篇文献。由于一些问题已经在上述文献中所提到,笔者就不在一一赘述了。

图5 非匀质材料的发文量逐年递增[4]
参考文献:
[1] Muxin Yang, Yue Pan, Fuping Yuan, Yuntian Zhu & Xiaolei Wu. Back stress strengthening and strain hardening in gradient structure. Mater. Res. Lett., 2016 Vol. 4, No. 3, 145–151
[2] Shivakant Shukla, Deep Choudhuri, Tianhao Wang, Kaimiao Liu, Robert Wheeler, Sarah Williams, Bharat Gwalani & Rajiv S. Mishra. Hierarchical features infused heterogeneous grain structure for extraordinary strength-ductility synergy. MATER. RES. LETT. 2018, VOL. 6, NO. 12, 676–682
[3] Xiaolei Wu & Yuntian Zhu. Heterogeneous materials: a new class of materials with unprecedented mechanical properties. MATER. RES. LETT., 2017 VOL. 5, NO. 8, 527–532
[4] Yuntian Zhu & Xiaolei Wu. Perspective on hetero-deformation induced (HDI) hardening and back stress. MATER. RES. LETT. 2019, VOL. 7, NO. 10, 393–398
本文由虚谷纳物供稿。
本内容为作者独立观点,不代表材料人网立场。
未经允许不得转载,授权事宜请联系kefu@cailiaoren.com。
欢迎大家到材料人宣传HTH官网地址 成果并对文献进行深入解读,投稿邮箱: tougao@cailiaoren.com.
投稿以及内容合作可加编辑微信:cailiaorenVIP。





