【引言】
石墨烯由单原子厚的碳层组成,呈蜂窝状晶格排列,其具有独特的电学性能和优异的化学稳定性,是构筑超灵敏场效应生化传感器的最佳候选材料之一。然而,低成本制造是石墨烯场效应晶体管(Gr-FET)进一步发展的障碍,无法满足当代大规模商业化的生化传感应用需求,包括环境监测、食品安全、医疗诊断和生命科学研究。另一方面,氧化石墨烯(GO)膜具有易制造/操作性、高柔韧性和批量生产的成本效益,同时以GO纳米片的形式保持了部分石墨烯良好的电学性能和化学稳定性,使得GO膜在可穿戴电子、能源设备、化学过滤器、电化学传感器等领域具有良好的应用前景。然而,受GO纳米片大量聚集的严重制约,当厚度从几十纳米增加到微米时,由于电屏蔽效应,其场效应感应响应会急剧下降。
【成果简介】
近日,在清华大学符汪洋副教授和万春磊副教授等人带领下,构建了己胺分子插层的氧化石墨烯(GO)杂化超晶格。所构建的柔性GO/己胺超晶格传感器在电解质门控下表现出“V”形双极性场效应转移特性,对缓冲溶液的pH值和DNA分子具有优异的传感能力。相比之下,通过退火杂化超晶格制备的GO膜既没有表现出明显的场效应,对各种分析物也没有感应响应。这突出了己胺分子在调控GO/己胺超晶格电学特性中所起的重要作用,拓宽了GO的层间距从而使生物化学分子能在其中传输。同时,GO/己胺杂化超晶格在机械应力下能够保持稳定的电学和传感性能。该成果以题为“Graphene Oxide/Hexylamine Superlattice Field‐Effect Biochemical Sensors”发表在了Adv. Funct. Mater.上,突出了石墨烯超晶格材料在生化传感中的独特潜力。
【图文导读】
图1 GO/己胺超晶格FET的制备与表征
a)GO/己胺超晶格的原理模型和自制流控通道的人造FET。
b)原始GO(黑线)、GO/己胺超晶格纸(红线)和退火后的GO/己胺样品(绿线)的XRD图谱。
c)GO/己胺超晶格的SEM和TEM图像(右上方),显示了有序的堆叠超晶格。
d)GO/己胺超晶格FET和GO纸FET在pH = 5.4缓冲溶液中的转移曲线。显然,只有GO/己胺超晶格FET(实点)表现出“V”形双极性场效应特性。
图2 GO/己胺超晶格FET的生化传感
a)在GO/己胺纸基FET中,Vg = 1 V时的相对电流变化与pH值的关系。上部显示了GO片中质子化的羧基和羟基(突出显示为蓝色和黄色)所造成的散射效应。
b)当Vg = 0.96 V时相对电流随ss-DNA浓度的变化。 上半部分说明了由ss-DNA吸附引起的散射效应。有效载流子迁移率(单位:cm2 V–1 s–1)标注在(a)和(b)中的条形上方。
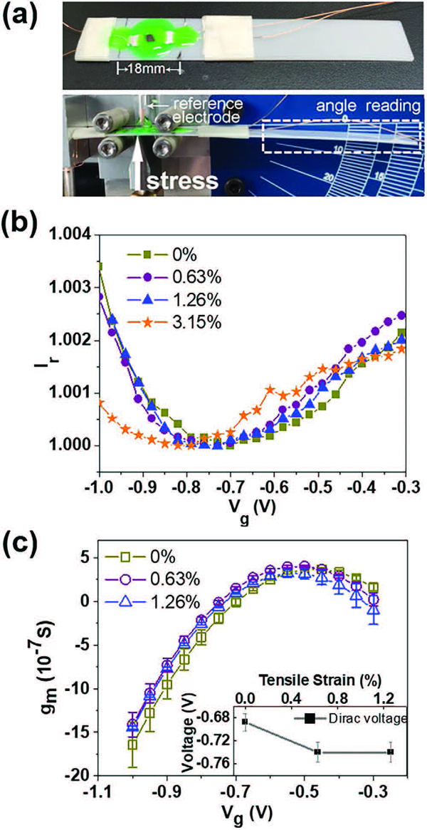
图3 柔性GO/己胺超晶格FET
a)柔性测试中的FET的照片(上)和柔性测试中的器件的照片(下)。
b)不同拉伸应变状态的传递曲线。曲线大致相似,表明对传感器的传感性能影响不大,且去除较强应力后,超晶格纸具有保持场强效应的能力。
c)不同拉伸应变状态下的跨导与Vg。跨导在机械应力下保持稳定,表明具有良好的电学和传感性能。插图显示狄拉克电压与拉伸应变的关系。
【小结】
综上所述,清华大学符汪洋副教授和万春磊副教授团队制备了由GO和己胺分子层交替组成的宏观GO/己胺膜。这种超晶格结构能够表现出明显的场效应,这可以归因于己胺支撑的GO片的宽间距。对该宏观超晶格的初步生化传感测量结果表明,在1×10-9 M的浓度下,DNA分子具有明显的电响应。此外,GO/己胺超晶格在机械应力下仍能保持稳定的场效应和传感性能,结合GO/己胺杂化超晶格材料的成本效益,可望在包括环境监测、食品安全、医疗诊断等生化检测中获得应用。
文献链接:Graphene Oxide/Hexylamine Superlattice Field‐Effect Biochemical Sensors(Adv. Funct. Mater.,2021,DOI: 10.1002/adfm.202003680)
本文由木文韬翻译,材料牛整理编辑。
欢迎大家到材料人宣传HTH官网地址 成果并对文献进行深入解读,投稿邮箱tougao@cailiaoren.com。





