【引言】
氟离子由于具有极高的电负性、小半径和低质量,被认为是一种很有前途的载流子,可以提供比传统金属离子更高的能量密度。目前报道最多的可充电氟离子电池(FIBs)是基于金属和金属氟化物之间的转化反应,伴随着F–在固体电解质中穿梭。然而,固体电解质的低离子电导率、电极的膨胀以及较高的工作温度仍然是FIBs电池的严峻挑战。固体电解质,通常呈现出10-5-10-4 S cm-1的低离子电导率。因此,使用这种固体电解质的可充电FIBs必须在高温(通常高于150℃)下进行。固体电解质的离子电导率可以通过掺杂和粉末压实等几种尝试来提高,但它们仍然比普通液体电解质低几个数量级。同时,固体电解质的电子电导率应尽可能低,以避免电池短路,这给开发合适的固体电解质增加了难度。后来报道了几种离子液体和有机电解质。但金属氟化物电解质盐在浓度超过0.05 M时普遍不溶于有机物,需要阴离子接受体(AA)或聚合物配体来提高F–的溶解度。遗憾的是,使用AA会导致活性材料在循环过程中严重溶解。另一种提高溶解度的策略是开发合适的有机氟化物电解质盐,如N,N,N-三甲基-N-新戊基氟化铵(Np1F)和N,N,N-二甲基-N,N-二新戊基氟化铵(Np2F)。但由于溶剂电子结构对有机氟化物的溶解有很大影响,因此有机溶剂的选择仍受到限制。水系电解质通常具有高的离子电导率,并且具有高的溶解度(常温下KF在水中的溶解度高达16 M)。但是水系电解液中氟离子电化学不稳定,如何实现稳定的氟离子电化学对开发水系氟离子电池至关重要。在电极材料方面,由于BiF3具有三电子还原反应和较高的理论比容量(≈302mAh g–1),是一种非常有前途的FIBs电极材料。BiF3的主要问题是其电子传导性差,将导致动力学性能差,能量效率低。另一个问题是在转化反应过程中普遍存在体积膨胀,这是由BiF3和Bi之间巨大的电池体积差异造成的。体积变化将导致活性材料与导电集流体的隔离,导致容量快速衰减。此外,还应该考虑BiF3的溶解问题。鉴于这些挑战,制备具有高电子导电性和良好体积变化容纳能力的BiF3基电极是实现良好储能性能的关键。
【成果简介】
近日,松山湖材料实验室李洪飞副研究员和香港城市大学支春义教授团队等人(共同通讯作者),通过合理的缓冲相设计,利用BiF3和Bi7F11O5相的交错分布,实现了稳定的水系F–电化学。对增强的F–电化学进行了系统研究,表明Bi7F11O5相由于体积变化小、电导率高,对电极的稳定性和可逆性起着至关重要的作用。活性物种的粉化和溶解问题也被抑制。因此,组装后的电池具有出色的循环稳定性、高可逆性和优越的倍率特性,远远优于传统的固体或有机氟离子电池。机理研究表明,该容量来自于Bi3+与Bi0之间的可逆转化,中间相为Bi7F11O5。这项工作实现了可室温工作的水系氟离子电池,并具备良好的循环寿命,丰富了水系储能电池体系,为后续水系氟离子电池提供借鉴。该成果以题为“Initiating a Room‐Temperature Rechargeable Aqueous Fluoride‐Ion Battery with Long Lifespan through a Rational Buffering Phase Design”发表在了Adv. Energy Mater.上。
【图文导读】
图1 氟化铋电极电化学性能表征
a)用三电极系统测量2 mV s-1下原始氟化铋电极(BF)和普鲁士蓝(PB)的CV曲线;
b)BF//PB全电池不同扫描速率下的CV曲线;
c)BF//PB全电池1 A g–1时的GCD曲线;
d)BF 放电前后的XRD衍射图;
e)BF//PB的循环稳定性;
f)BF和PB电极循环100次后的CV曲线;
g)不同电极组装电池的CV曲线;
h)BF 循环前后的XRD图;
i)循环后电解液中沉淀物的XRD图。
图2 BiF3相和Bi7F11O5相的理论计算
a)BiF3和Bi7F11O5电池体积变化示意图。
b)BiF3相和c)Bi7F11O5相的带隙和DOS。
图3 BFO和BF的形貌表征
a,b)BFO(BiF3@Bi7F11O5@rGO)的a)XRD图和b)拉曼光谱;
c)BF和BFO的Bi 4f高分辨率XPS;
d)BFO的SEM图像;
e,f)BFO的TEM图;
g)BFO的SAED图;
h)BF的TEM图;
i)BF的SAED图。
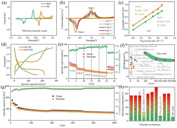
图4 BFO//PB电池的电化学性能表征
a)用三电极系统测量2 mV s–1下BFO和PB的CV曲线;
b)不同扫描速率下的CV曲线;
c)Ip与扫描速率平方根之间的线性关系;
d)1 A g–1下的GCD曲线;
e)BFO//PB电池的倍率性能;
f)与先前报道的FIB的循环稳定性比较;
g)BFO//PB电池的循环稳定性;
h)与先前报道的FIB的工作温度比较
图5 BFO//PB储能机理研究
a)BFO//PB电池的GCD资料;
b)BFO和c)PB的异位XRD图谱;
d)BFO和e)BF在不同充放电状态下的F 1s XPS光谱;
f)PB在不同充放电状态下的K 2p XPS光谱;
g)BFO//PB电池的充放电机理。
【小结】
综上所述,氟离子因其半径小、原子质量小,是一种出色的载流子,但由于固体电解质的低离子导率,大多数报道的FIB只能在高温(>150℃)下工作。电解质中F–电化学的不稳定性一直是阻碍水系FIB发展的障碍。在本工作中,通过缓冲相设计,在室温下水系电解质中实现了稳定的F–电化学反应。因为Bi7F11O5的体积变化较小,电导率较高,BiF3和Bi7F11O5相的交错分布可以提高BFO的结构稳定性和可逆性。此外,石墨烯保护层还解决了活性物质的低电导率和粉化问题。得益于合理的设计,组装后的电池在室温下具有高容量(在1 A g–1时为218 mAh g–1)和长寿命(超过1000次循环)。这种水系电池的高可逆性和优越的倍率性能远远优于传统的固体FIBs电池。机理研究表明,在充放电过程中,Bi3+和Bi0之间发生了可逆的转化反应。这些成果不仅能够促进水系氟离子电池的发展,还能够为改善氟化物电极稳定性提供借鉴。
文献链接:Initiating a Room‐Temperature Rechargeable Aqueous Fluoride‐Ion Battery with Long Lifespan through a Rational Buffering Phase Design(Adv. Energy Mater., 2021,DOI:10.1002/aenm.202003714)
本文由木文韬翻译,材料牛整理编辑。
欢迎大家到材料人宣传HTH官网地址 成果并对文献进行深入解读,投稿邮箱tougao@cailiaoren.com。





