【背景介绍】
自2012年以来,激基复合物在有机发光二极管(OLEDs)中的应用受到了人们的广泛广泛的研究。由于其分子间的电荷转移跃迁在供电子和受电子分子(D和A)间形成,激基复合物的最高占据分子轨道(HOMO)和最低未占据分子轨道(LUMO)分别位于D和A分子上。因此,激基复合物本征上在最低单重态和三重态(S1和T1)能级之间具有极小的能级带隙(ΔEsts),进而通过有效的反系间窜越(RISC)过程利用非辐射跃迁的三重态激子发光。相比于单分子TADF发射体,激基复合物发射体具有独特的优势, 如不需要主体、载流子迁移率可控、方便载流子注入等。所以,最近几年大量的研究学者致力于提高激基复合物发射体的性能。一般来说,传统的激基复合物处于激发态(S1E和T1E)辐射跃迁往往过程包含S1E的瞬发荧光(DF)和T1E的延迟荧光(DF)两个过程。同时,由于其组成成分(D和A)之间易于发生分子间或分子内的旋转和振动,从而产生严重的非辐射跃迁。显而易见,有效的避免非辐射跃迁,是发展高性能激基复合物发射体最有潜力方法之一。
【成果简介】
近日,电子HTH官网地址 大学郑才俊研究员和苏州大学张晓宏教授(共同通讯作者)等人报道了一种通过在供电子和受电子构成分子(D和A)之间引入分子间氢键(HB)来抑制激基复合物发射体的非辐射跃迁的新型策略,从而来提高其在OLEDs中的效率和稳定性。作者以1, 3-二(10H-吩恶嗪-10-基)苯(13PXZB)为供体,4, 6-二(3, 5-二(吡啶-4-基)苯基)-2-甲基嘧啶(B4PyMPM)、4, 6-二(3, 5-二(吡啶-3-基)苯基)-2-甲基嘧啶(B3PyMPM)和4, 6-二(3, 5-二(吡啶-2-基)苯基)-2-甲基嘧啶(B2PyMPM)为受体构建了三种激基复合物发射体。其中,具有分子间HBs最多的13PXZB: B4PyMPM,显示出的光致发光量子产率(ΦPL)最高达到69.6%和最低的三重态激子非辐射过程速率常数(knrT)为3.4×105 S-1)。同时,在OLEDs中,使用13PXZB: B4PyMPM和13PXZB: B3PyMPM的最大外部量子效率(EQEs)分别为14.6%和10.0%,分别是EQE为6.2%的13PXZB: B2PyMPM的2.3和1.6倍。此外,D和A分子之间的分子间HB有利于提高激基复合物发射体的电致发光(EL)稳定性。此外,13PXZB: B4PyMPM的半衰期(LT50)分别是比13PXZB: B3PyMPM和13PXZB: B2PyMPM的4.8倍和8.2倍。总之,该工作不仅证明了D和A分子间的HBs可以改善激基复合物发射体的性能,而且为研制高效稳定的激基复合物发射体开辟了一条新的途径。研究成果以题为“Hydrogen-Bond-Assisted Exciplex Emitters Realizing Improved Efficiencies and Stabilities in Organic Light Emitting Diodes”发布在国际著名期刊Adv. Funct. Mater.上。
【图文解读】
图一、激基复合物发射体以及相对辐射和非辐射过程的Jablonski能量图

图二、激基复合物的构成分子结构及其构成材料的发光/PL光谱
a)13PXZB、B4PyMPM、B3PyMPM和B2PyMPM的分子结构;
b)在固态薄膜中13PXZB: B4PyMPM及其初始材料的吸收光谱和PL光谱;
c)在固态薄膜中13PXZB: B3PYMPM及其初始材料的吸收光谱和PL光谱;
d)在固态薄膜中13PXZB: B2PyMPM及其初始材料的吸收光谱和PL光谱。
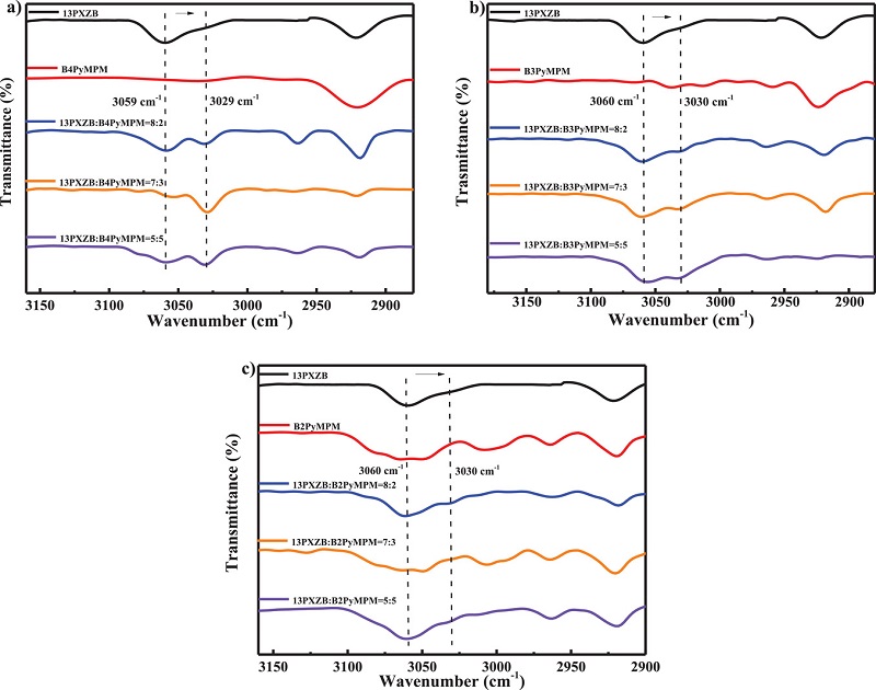
图三、在固态薄膜中三种激基复合物及其构成材料的FT-IR光谱
a)具有不同重量比(8: 2、7: 3和5: 5)的13PXZB: B4PyMPM及其构成成分,波数为2900-3150 cm-1;
b)具有不同重量比(8: 2、7: 3和5: 5)的13PXZB: B3PyMPM及其构成成分,波数为2900-3150 cm-1。
c)具有不同重量比(8: 2、7: 3和5: 5)的13PXZB: B2PyMPM及其构成成分,波数为2900-3150 cm-1。
图四、关键原子的平均静电势(ESP)统计数据
a)13PXZB;
b)B4PyMPM;
c)B3PyMPM;
d)B2PyMPM。
图五、计算的分子间HBs的分子结构
a)B4PyMPM和B4PyMPM;
b)B3PyMPM和B3PyMPM;
c)13PXZB和B4PyMPM;
d)13PXZB和B3PyMPM。
图六、基于三种激基复合物构成OLEDs的性能
a)电流密度-亮度-电压特性;
b)EQE-亮度图;
c)基于13PXZB: B4PyMPM、13PXZB: B3PyMPM和13PXZB: B2PyMPM的重量比为7:3的OLEDs的EL光谱。
图七、不同激基复合物构成OLEDs的寿命曲线

【小结】
综上所述,作者提出了一种通过在D和A分子之间引入分子间HBs来提高激基复合物发射体性能的新策略。文中,作者构造了13PXZB: B4PyMPM、13PXZB: B3PyMPM和13PXZB: B2PyMPM三种激基复合物发光体。根据DFT计算和FT-IR测量的结果,预测13PXZB: B4PyMPM在D和A分子之间的分子间HBs比13PXZB: B3PyMPM多,而13PXZB: B2PyMPM之间不能形成分子间HBs。因此,在三种激基复合物发射体中,13PXZB: B4PyMPM的ΦPL最高为69.6%,最低knrT为3.4×105 S-1。在OLED中,13PXZB: B4PyMPM的最大EQE为14.6%,明显高于其他激基复合物发射体。同时,13PXZB: B4PyMPM基OLED的LT50分别是13PXZB: B3PyMPM基和13PXZB: B2PyMPM基OLED的4.8和8.2倍。此外,对比13PXZB-和13AB-基激基复合物发射体之间的性能,发现HB-辅助激基复合物发射体的性能得到了改善,主要是因为D和A分子之间的分子间HBs。该研究结果表明HB-辅助激基复合物发射体的优越性,为开发高效且稳定的激基复合物发射体提供了一条新途径。
文献链接:Hydrogen-Bond-Assisted Exciplex Emitters Realizing Improved Efficiencies and Stabilities in Organic Light Emitting Diodes. Adv. Funct. Mater., 2021, DOI: 10.1002/adfm.202010100.
1、团队介绍:本工作研究团队一直致力于有机光电材料相关领域研究,主要从事有机光电材料的设计,合成和制备高效的有机电致发光器件,发展和完善了热激活延迟荧光激基复合物的发光机制和器件性能。
2、团队在该领域工作汇总:
近年来,在基于热激发延迟荧光激基复合物OLED方面取得一系列研究成果。
1. Prediction and Design of Efficient Exciplex Emitters for High-Efficiency, Thermally Activated Delayed-Fluorescence Organic Light-Emitting Diodes, Adv. Mater., 2015, 27, 2378–2383;
2. Nearly 100% Triplet Harvesting in Conventional Fluorescent Dopant-Based Organic Light-Emitting Devices Through Energy Transfer from Exciplex, Adv. Mater., 2015, 27, 2025–2030;
3. Novel Strategy to Develop Exciplex Emitters for High Performance OLEDs by Employing Thermally Activated Delayed Fluorescence Materials, Adv. Funct. Mater., 2016, 26, 2002–2008;
4.Tricomponent Exciplex Emitter Realizing over 20% External Quantum Efficiency in Organic Light‐Emitting Diode with Multiple Reverse Intersystem Crossing Channels, Adv. Sci., 2019, 6, 1801938
5. Novel small-molecule electron donor for solution-processed ternary exciplex with 24% external quantum efficiency in organic light-emitting diode, Mater. Horiz., 2019, 6, 1425-1432.
6. Thermally activated delayed fluorescence exciplex emitters for high-performance organic light-emitting diodes, Mater. Horiz., 2021, DOI: 10.1039/D0MH01245A.
7. Hydrogen‐Bond‐Assisted Exciplex Emitters Realizing Improved Efficiencies and Stabilities in Organic Light Emitting Diodes, Adv. Funct. Mater., 2021, DOI: 10.1002/adfm.202010100.
3. 相关优质文献推荐
最近发表的文献推荐:
1. Thermally activated delayed fluorescence exciplex emitters for high-performance organic light-emitting diodes, Mater. Horiz., 2021, DOI: 10.1039/D0MH01245A;
2. Tricomponent Exciplex Emitter Realizing over 20% External Quantum Efficiency in Organic Light‐Emitting Diode with Multiple Reverse Intersystem Crossing Channels, Adv. Sci., 2019, 6, 1801938
本文由CQR编译。
欢迎大家到材料人宣传HTH官网地址 成果并对文献进行深入解读,投稿邮箱:tougao@cailiaoren.com.
投稿以及内容合作可加编辑微信:cailiaokefu.





