当地时间1月14日,美国工程院院士、麻省理工学院(MIT)教授陈刚因未能向美国能源部披露其在中国的工作和获得的奖励而被起诉和逮捕。在盘问6小时、笔录25页后,陈刚教授当天获保释。

陈刚是国际传热学的领军人物,麻省理工学院机械工程系讲席教授。

陈刚本科和硕士毕业于华中HTH官网地址 大学,1993年博士毕业于加州大学伯克利分校。陈刚先后担任杜克大学机械工程与材料科学系助理教授、麻省理工学院机械工程系副教授和教授。2009年首次打破“黑体辐射定律”公式。2010年因为当选美国国家工程院院士。2012年当选美国物理学会会士。2013年担任麻省理工学院机械工程系主任。
陈刚的研究涉及热传递、纳米技术和能源,主要包括微米和纳米尺度能量转换与能量传输机理的实验、理论和数值计算;具有高和低导热率的纳米工程材料;热辐射和电磁超材料;固体能量转换系统、微机电系统、热感应传感器等。
这篇文章简要盘点了2020年陈刚院士的一些工作,希望陈刚院士可以顺利度过难关,继续给我们带来精彩的科研工作。
1.MIT陈刚&南方HTH官网地址 大学刘玮书Science:室温下离子明胶的巨大热功率

将环境中的热量收集为物联网(IoT)传感器供电,使它们摆脱电缆或电池的束缚,从而使其特别适用于可穿戴设备。MIT陈刚&南方HTH官网地址 大学刘玮书利用协同热扩散和热电流效应,在一种柔性的准固态离子热电材料中证明了每度开尔文17.0毫伏的巨大正热功率。离子型热电材料是一种明胶基质,其调制有离子提供剂(KCl,NaCl和KNO3)以实现热扩散作用,氧化还原对[Fe(CN)64–/Fe(CN)63–]具有热电流作用。一种概念验证的可穿戴设备,由25个单极元件组成,它们利用人体热量产生2伏以上的电压,峰值功率为5微瓦。这种离子明胶显示了使用离子作为能量载体的环境热电能量转换的前景。
文献链接:
giant thermopower of ionic gelatin near room temperature.
(Science, 2020, DOI:10.1126/science.aaz5045)
2.MIT陈刚&波士顿学院David Broido:同位素富集的立方氮化硼中的超高导热率

具有高导热率(k)的材料具有技术重要性和基本意义。MIT陈刚&波士顿学院David Broido在立方晶氮化硼(cBN)晶体中控制了硼同位素的丰度,并在室温下测量了富集10B或11B的k大于1600瓦特/米开尔文。相比之下,作者发现磷化硼和砷化硼的k同位素增强显着降低,因为相同的同位素质量紊乱对于声子越来越不可见。超高k及其宽带隙(6.2电子伏特)使cBN成为微电子热管理,高功率电子和光电应用的有前途的材料。
文献链接:
Ultrahigh thermal conductivity in isotope-enriched cubic boron nitride.
(Science, 2020, DOI:10.1126/science.aaz6149)
3.MIT陈刚:直接观察大电子-声子相互作用对声子传热的影响

作为多体物理学的基本概念,电子-声子相互作用对于理解和操纵各种电子,光子和能量转换设备中的电荷和能量流至关重要。尽管在揭示声子如何影响电子动力学方面已经取得了很大进展,但是直接观察电子对声子传输的影响(尤其是在环境温度下)仍然是一项挑战。
MIT陈刚使用改进的瞬态热光栅技术探讨了载流子在室温下对声子传热的影响。通过光学激发晶体硅膜中的电子-空穴对,可以选择声子与载流子相互作用的作用。光激发自由载流子增强的声子散射会导致纳秒级的热导率大幅降低。这个研究提供了直接的实验证据,证明电子-声子相互作用在声子传热中起难以捉摸的作用,这对于理解掺杂半导体中的热传导很重要。作者强调了使用光通过电子-声子耦合动态控制热传输的可能性。
文献链接:
Direct observation of large electron–phonon interaction effect on phonon heat transport
(Nat. Commun., 2020, DOI:10.1038/s41467-020-19938-9)
4.MIT陈刚&上海大学骆军、南方HTH官网地址 大学张文清:半导体玻璃具有出色的柔韧性和较高的室温热电性能

除金属和某些层材料外,大多数结晶无机材料由于强的离子键或共价键而显示出较差的柔韧性,而无定形材料通常由于结构紊乱而显示出较差的电性能。MIT陈刚&上海大学骆军、南方HTH官网地址 大学张文清报道了通过非晶化同时实现了基于Ag2Te1-xSx的材料非凡的室温柔韧性和热电性能。非晶态主相和微晶的共存导致优异的柔韧性和超低晶格热导率。此外,在载流子浓度为8.6×1018 cm-3时,Ag2Te0.6S0.4柔性玻璃在室温霍尔迁移率约为750 cm2/V/s的情况下表现出简并的半导体性能,至少约为一个数量级。由于热电功率因数比其他无定形材料高,因此热电功率因数也比已知的最佳无定形热电材料高一个数量级。用这种材料制成的平面原型热电发电机展示了其在柔性热电装置中的潜力。
文献链接:
Semiconductor glass with superior flexibility and high room temperature thermoelectric performance.
(Science Advances, 2020, DOI:10.1126/sciadv.aaz8423)
5.MIT陈刚&Bilge Yildiz:具有电化学感应相变的SrCoOx中热传输的双向调节

与广泛的电导率动态控制不同,不存在通过电势调节热导率的类似功能。假定插入到材料晶格中的原子纯粹是作为热载体的散射源,这只会降低热导率。MIT陈刚&Bilge Yildiz表明,电化学控制氧化物中氧和质子的浓度提供了双向控制热导率的新能力。在将电化学方法将褐闪石SrCoO2.5氧化成钙钛矿SrCoO3-δ时,热导率提高了2.5倍,而对其质子化以形成氢化SrCoO2.5则使热导率降低了4倍。通过在单个设备中使用离子液体门控来触发“三态”相变,可以在室温下在近10±4倍的范围内对导热系数进行双向调节。作者通过结合X射线吸收光谱法的化学和结构信息与热反射率热导率测量和从头算计算,阐明了这些阴离子和阳离子物种的影响以及晶格常数和晶格对称性对热导率的影响。这种通过电学方法控制多种离子类型,多种相变和电子传导性(跨越金属直至氧化物在绝缘中的行为)的能力,为在大范围内调节热传输提供了新的框架。
文献链接:
Bi-directional tuning of thermal transport in SrCoOx with electrochemically induced phase transitions.
(Nat. Mater., 2020, DOI:10.1038/s41563-020-0612-0)
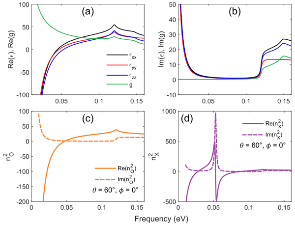
6.MIT陈刚:平面I型磁性Weyl半金属表面的内在不可逆反射和基尔霍夫辐射定律的违反

这项工作证明了基尔霍夫的辐射定律,表明在没有外部磁场或诸如光栅之类的平面的情况下,表面的光谱定向发射率和吸收率在热平衡时是相等的。对具有反对称介电张量的I型磁性Weyl半金属进行建模,由于贝里曲率和异常霍尔速度引起的表面互不极化,这里表现出本质上违反了基尔霍夫定律。这项工作提供了一种简单的方法,可以从物理上了解违反基尔霍夫定律的情况。
文献链接:
Intrinsic nonreciprocal reflection and violation of Kirchhoff’s law of radiation in planar type-I magnetic Weyl semimetal surfaces.
(Physical Review B, 2020, DOI:10.1103/PhysRevB.102.165417)
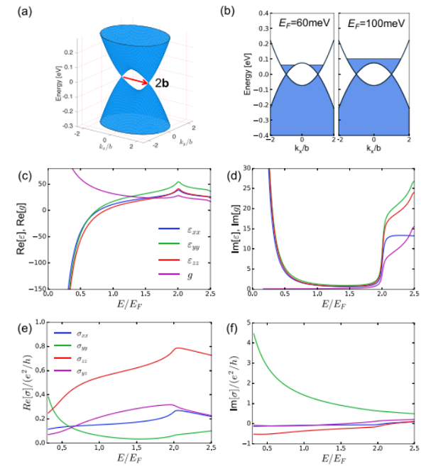
7.MIT陈刚:I型Weyl半金属中的大的不可逆的辐射吸收和发射,具有时间反转对称性破坏

在局部热力学平衡下,物体的光谱定向发射率和吸收率之间的相等性称为基尔霍夫辐射定律。打破时间反向对称性在物理上允许破坏基尔霍夫辐射定律,并可能为不可逆的光发射器和吸收器打开机会。最近在拓扑Weyl半金属(尤其是I型磁性Weyl半金属和II型Weyl半金属)中观察到大的霍尔电导率和角度异常,预计会产生大的不可逆电磁波传播。在这项工作中,MIT陈刚将重点放在I型磁性Weyl半金属上,并通过建模和仿真表明,在没有外部磁场的情况下,不可逆的表面等离激元极化子可导致明显的不可逆性。这项工作中的建模始于一对Weyl节点,然后是具有多个成对的Weyl节点的更现实的模型。还通过表面电导率考虑了费米弧表面状态。这项工作指出拓扑Weyl半金属在磁光和能量应用中的应用前景。
文献链接:
Large nonreciprocal absorption and emission of radiation in type-I Weyl semimetals with time reversal symmetry breaking.
(Physical Review B, 2020, DOI:10.1103/PhysRevB.101.165426)
本文由tt供稿。
本内容为作者独立观点,不代表材料人网立场。
未经允许不得转载,授权事宜请联系kefu@cailiaoren.com。
欢迎大家到材料人宣传HTH官网地址 成果并对文献进行深入解读,投稿邮箱: tougao@cailiaoren.com.
投稿以及内容合作可加编辑微信:cailiaorenVIP。





