引言
大多数金属是晶体,这意味着它们的原子周期性地排列在晶格中。完美的晶体将始终具有相同的周期性结构。但大多数晶体由不同的晶粒组成,这些晶粒均具有相同的原子结构,但彼此的取向不同。
材料学家特别关心这些晶粒之间边界(晶界),因为晶界本质上是缺陷,在晶界中更可能发生腐蚀或其他形式的损坏。了解材料在受到外力作用时晶界如何移动,是材料微结构工程的基础。
成果简介
美国宾夕法尼亚大学陈孔韬博士和香港城市大学David Srolovitz团队合作,通过位错的统计物理模型和分子动力学模拟,说明了晶界动力学里最重要的系数—-晶界迁移率,应该是一个二阶对称张量,而不是目前科学家普遍认为的标量。
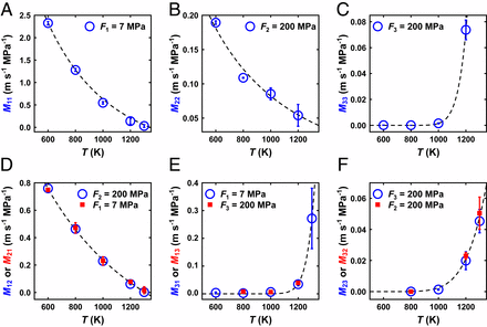
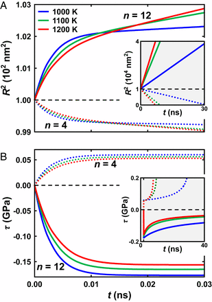
晶界迁移率是把晶界速度和驱动力联系起来的关键。虽然晶界速度通常被认为是晶界沿着法向的运动速度,晶界上下的晶粒也会相对滑移,所以,晶界速度是一个向量。晶界运动可以被晶界上下的化学势差所驱动,也可以被切应力所驱动,所以,晶界上的驱动力也是一个向量。因此,做为速度和驱动力的比例系数,晶界迁移率必须是一个张量。通过对一个铜的晶界的分子动力学模拟,陈孔韬等发现,晶界迁移率张量的所有分量都不是0。其中一些分量随着温度上升而增加,另一些随着温度上升而下降。陈孔韬等提出了一种基于位错的统计模型,说明了在一个临界温度以下,晶界迁移率和温度遵守阿伦尼乌斯方程,而在临界温度以上,晶界迁移率正比于温度的倒数。这个临界温度由位错的能量决定。对于一个晶界,哪个位错发挥主导作用,取决于驱动力的类型和我们研究的晶界迁移率分量。最后,陈孔韬等研究了晶界迁移率张量如何影响了经典晶粒生长理论,并说明了晶界运动带来的应力会降低晶界迁移率和晶粒生长速度。
图文导读

Figure 1晶界分子动力学模拟的示意图

Figure 2晶界迁移率张量的各个分量的温度依赖性

Figure 3晶粒生长中,晶粒大小、切变随时间的演化
第一作者介绍
陈孔韬,宾夕法尼亚大学博士,师从美国工程院院士David Srolovitz,用统计物理、分子动力学、蒙特卡洛模拟等方法研究晶界动力学。曾获Acta Student Award (结构材料学顶级刊物Acta Materialia的年度最佳学生论文奖),President Gutmann Leadership Award (宾夕法尼亚大学授予顶尖研究生的奖项),担任Materials & Design等期刊审稿人,并受邀在美国麻省理工学院、法国里尔大学、美国劳伦斯伯克利国家实验室等进行学术报告。以第一作者在PNAS、Acta Materialia等发表多篇论文,并被Justdial.com, Phys.org等国际媒体报道。
参考文献
https://www.pnas.org/content/117/9/4533.short
本文由记者林旻投稿。





