混合低温等离子体(NTP)和催化(NTP-催化)系统可以激活和转化各种稳定分子,如二氧化碳(CO2),甲烷(CH4)和氮气(N2),在温和的条件下,成为所需的产物,但是混合动力系统是高度复杂的。NTP-催化体系有利于使反应动力学或热力学受限,包括甲烷的重整,水煤气转换和二氧化碳加氢。与热催化剂相比,NTP-催化具有降低催化所需的能垒和改变催化剂表面反应途径的能力。最近的研究表明,与热催化相似,非均相催化剂(包括载体)的内在性质,如金属分散和孔结构,在NTP-催化中起关键作用。例如,设计了一系列多孔硅-1(具有不同孔结构)催化剂负载Ni,研究了NTP条件下的CO2加氢反应。作者发现多孔硅-1载体的孔结构决定了Ni位点的分散和位置,从而决定了等离子体生成反应物质的可得性,从而影响了NTP催化的性能。

近日,曼彻斯特大学范晓雷教授和Christopher Hardacre研究团队,以“CO Poisoning of Ru Catalysts in CO2 Hydrogenation under Thermal and Plasma Conditions: A Combined Kinetic and Diffuse Reflectance Infrared Fourier Transform Spectroscopy−Mass Spectrometry Study”为题在ACS Catal期刊上发表重要研究成果。作者采用动力学和漫反射红外光谱-质谱联用研究了低温等离子体(NTP)催化体系中负载钌(Ru)催化剂上CO2加氢的CO中毒,并与热催化系统进行了比较。相关研究结果表明,在NTP催化中,Langmuir-Hinshelwood和Eley-Rideal机制共存。重要的是,对Ru催化剂在加热和NTP条件下的CO中毒进行了对比研究,显示了混合NTP催化体系在减轻催化剂CO中毒方面展现出了优势。具体地说,与强CO吸附和伴随金属烧结引起的热催化CO中毒相比,原位DRIFTS−MS分析表明,NTP催化反应等离子体衍生物质的碰撞可以去除强吸附的碳物质,从而恢复CO2活化的活性位点。因此,NTP催化剂能够防止Ru催化剂在CO2加氢过程中CO中毒。另外,在NTP条件下,通过NTP使CO与H2O(CO/CO2加氢反应生成的)的水煤气变换反应,使CO2加氢平衡向CH4转化。
根据对照实验对两种负载型Ru催化剂在NTP条件下的CO2加氢进行了研究,以筛选出下一研究的候选物(如图1所示)。在无催化剂的NTP条件下,CO2在6.5 kV(比输入能量(SIE)为2.0 J ml−1)下分解为CO,转化率为∼6%。类似地,只有少量的γ-Al2O3和SiO2填充的NTP系统,在6.5 kV时,对于CO的相关CO2转换率分别为~13和~15%,也只有选择性。与没有填料的系统相比,即空白实验,裸载体的较高CO2转化率可以归因于增强的平均电场强度,有利于CO2解离。相反,在NTP催化中,电压超过7 kV(SIE>2.5 J mL-1),不管选用何种Ru催化剂,CO2转化率和CH4产率显著提高到>57%。
图1. NTP-催化CO2加氢的性能作为电压/输入能量对Ru/SiO2和Ru/γ-Al2O3催化剂的函数,参照控制实验。

初步的催化评价结果表明,在NTP和热条件下,Ru/SiO2催化剂对CO2加氢的CO2转化率和CH4产率相对较高(与Ru/γ–Al2O3催化剂相比);因此,选择Ru/SiO2催化剂进行进一步研究。为了深入了解CO2转化过程中CO中毒的机理,首先对Ru/SiO2催化剂上的CO2氢化反应进行了较为深入的研究。图2显示了加热和NTP条件下CO2加氢反应的表观反应速率与CO2/H2分压(pH2和pCO2)的相关性。在330 ℃的加热条件下,Ru/SiO2催化剂上的CH4生成速率对pH2的依赖性强于对原料中pCO2的依赖性。具体来说,根据Langmuir- Hinshelwood机理,计算pH2的反应顺序为1.0。之前的研究表明,钌表面的H2解离快,生成的产物寿命短,而pH2的反应顺序表明CO2和H2被吸附在Ru表面不同的活性位点上。
图2. (a, c)热条件(330 ℃)和(b, d) NTP条件下反应速率对pH2和pCO2的依赖性。

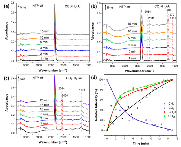
在NTP-off条件下,以反应气体为原料(即3% CO2/9%H2/Ar),除了CO2气相峰(约为2360和2342 cm−1,如图3a所示),表面碳物质没有被DRIFTS检测到,也没有观察到任何反应(根据MS)。在等离子体点火时,MS剖面瞬时出现CH4信号,证实NTP激活下催化剂上形成了CH4。与此同时,表面形成甲酰(CHxO,约1284、1270和1111 cm−1)和羰基(即在2034 cm−1处在Ru0表面线性吸附的COad和在2084 cm−1处线性形态的Ruδ+-CO,如图3b所示。与CO2/Ar下形成的COad谱带相比,两个峰向较低频率移动了约10 cm−1,桥联吸附的COad峰消失了,这可能是由于Had在Ru表面的电子贡献。当关闭等离子体后,CH4浓度立即下降,而甲酰物质则缓慢下降,表明在没有等离子体放电的体系中CH4的形成是不活跃的。甲酰的逐渐减少(在4 min内)反映了它在NTP-off条件下的解吸。CO2加氢可以在钌基催化剂上通过甲酰化途径,包括CO2直接离解到羰基(COad)和Oad,然后COad加氢。COad随后的加氢反应将形成甲酰物种,作为CH4生产的中间体。与加热系统的DRIFTS结果(即只观察到羰基物种)相比,NTP条件下羰基和甲酰物质的出现表明,NTP条件下CO2加氢反应存在另一种反应途径(即甲酰化途径)。因此,表面物种作为ToS函数的进化与CH4信号强度(MS)的变化是相关的,如图3d所示。
图3. 在Ru/SiO2催化剂上CO2加氢的表面物质的原位DRIFTS光谱。

综上所述,在本研究中,NTP催化体系在Ru/SiO2催化剂上可以实现65%的CO2转化率和63%的CH4产率。此外,催化剂的固有性质(如表面积)在加热条件和NTP条件下都至关重要。比较动力学和原位DRIFTS−MS研究表明,NTP催化可以降低催化所需的能量势垒,并使两者都能实现Langmuir−Hinshelwood和Eley−Rideal机制。
文献链接:CO Poisoning of Ru Catalysts in CO2 Hydrogenation under Thermal and Plasma Conditions: A Combined Kinetic and Diffuse Reflectance Infrared Fourier Transform Spectroscopy−Mass Spectrometry Stu, ACS Catal. 2020, 10, 12828−12840. DOI:10.1021/acscatal.0c03620.
原文链接:https://pubs.acs.org/doi/10.1021/acscatal.0c03620.
本文由科研百晓生供稿。
本内容为作者独立观点,不代表材料人网立场。
未经允许不得转载,授权事宜请联系kefu@cailiaoren.com。
欢迎大家到材料人宣传HTH官网地址 成果并对文献进行深入解读,投稿邮箱: tougao@cailiaoren.com.
投稿以及内容合作可加编辑微信:cailiaorenVIP。





