【引言】
随着人们对能源和环境的日益关注,开发可持续、可降解的电极材料越来越受到研究者的重视。有机电极材料不仅具有可持续性和可降解性,而且在低碳、环保、低成本等独特的优势,许多有机电极材料可以从自然界和生物质中提取。此外,有机电极材料的理论容量可以通过分子结构来控制和设计。因此,近年来,有机材料作为电极应用于金属离子电池逐渐引起了研究者的兴趣。锂离子电池(LIBs)因其高能量密度而被广泛应用于电动汽车和电子设备等,同时,钠离子电池(SIBs)和钾离子电池(PIBs)由于成本低和资源丰富,也越来越受到关注,它们有望与锂离子电池媲美。众所周知,锂、钠和钾这三种元素属于第一主族元素,它们具有类似的电化学性质,因此SIBs和PIBs中电极材料的存储机制和行为通常是从LIBs中学习的。事实上,不同的金属元素直接决定了载体离子的差异(包括半径和电解质结构),这可能进一步影响电解质的物理化学特性和电极材料的电化学反应。因此,阐明和总结这三类金属离子电池中有机电极的电化学性能和转化规律,可以为开发低成本、可持续、高性能的金属离子电池提供实践指导。
近期,湖南大学樊令副教授和秦志辉教授等(共同通讯作者)合成了交联纳米片状聚2, 6-蒽醌基硫化物 (PAQS)微球作为金属离子电池(LIBs、SIBs和PIBs)的正极,获得了不同的电化学特性,并通过各种实验表征和密度泛函理论(DFT)计算得到进一步验证。当使用传统(低浓度)电解质时, PAQS正极表现出较高的初始放电容量和更快的离子扩散系数,而在PIBs中的PAQS由于结构褶皱,表现出较差的循环稳定性。考虑到PAQS在PIBs中的低成本和高容量,我们使用高浓度电解质进一步提高了PAQS在PIBs中的循环稳定性,并且实现了1200圈的长循环稳定性。对碱金属离子电池的不同电化学行为给出了基本解释,为开发适用于碱金属离子电池的有机材料电极提供了指导,并强调电解质浓度对碱金属离子电池循环稳定性的重要影响,证明电解质优化对可以提高循环稳定性。相关研究成果以“Electrochemical Study of Poly(2,6-Anthraquinonyl Sulfide) as Cathode for Alkali-Metal-Ion Batteries”为题发表在Advanced Energy Materials上。
【图文导读】
图一、PAQS的合成路线和表征。
(a)PAQS的合成路线;
(b、c)SEM图片;
(d)XRD图谱;
(e)FTIR光谱;
(f)O1s的XPS曲线;
(g)C1s的XPS曲线;
(h)S2p的XPS曲线;
(i)元素mappings;
图二、在LIBs、SIBs和PIBs中PAQS正极的电化学性能
(a)CV曲线;
(b)充放电曲线;
(c)100 mA/g电流下的循环性能;
(d)在50至1000 mA/g的不同电流密度下的倍率性能;
(e)PAQS在5 M高浓度电解液下的循环性能;
(f)PAQS在PIBs中5 M高浓度电解液下的长循环性能。
图三、对LIBs、SIBs和PIBs中的PAQS进行了理论计算
(a、c、e)在LIBs、SIBs和PIBs的各种反应物中PAQS分子的氧化还原电势(间断实线)和吉布斯自由能(星标虚线);
(b、d、f)通过DFT计算得到Lix(PAQS)5、Nax(PAQS)5和Kx(PAQS)5 (x = 2, 4, 6, 8和10)的优化结构。
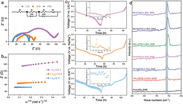
图四、LIBs、SIBs和PIBs的电化学及电解液表征
(a)三电极体系下LIBs、SIBs和PIBs中PAQS的EIS曲线;
(b)Z’与ω−1/2的平面图;
(c)在LIBs、SIBs和PIBs中PAQS的GITT曲线;
(d)各种电解液的拉曼光谱。
图五、PAQS电化学行为总结
(a)PAQS与Li+,Na+和K+的反应机理;
(b)在LiBs、SiBs和PIBs中电化学行为的比较。
【小结】
总之,作者采用PAQS有机材料制备的晶花蕾形态在碱性金属离子电池中表现出不同的优良电化学性能,其独特的结构为电解质的渗透和Li+/Na+/K+的穿梭提供了足够的空间。因此,PIBs具有较高的放电容量和倍率性能;LIBs显示出高循环稳定性和还原电位;而SIBs提供了中等的性能。特别是当使用低浓度电解质时,三个电池中PAQS的还原电压为LIBs (2.11 V) > PIBs (1.94/1.54 V) >SIBs (1.76/1.30 V),这些通过DFT计算得到进一步验证。此外,离子扩散系数的顺序为PIBs > SIBs > LIBs,导致PAQS在100 mA/g电流密度下具有低的初始放电容量,分别为PIBs (198 mAh/g),SIBs (134 mAh/g),和LIBs (103 mAh/g)。尽管如此,循环稳定性顺序为LIBs > SIBs > PIBs,这可能是由于当Li+/Na+/K+加入时PAQS的结构褶皱不同所致。令人惊讶的是,当使用高浓度电解质时,PAQS在PIBs中的循环稳定性可以显著提高到1200次循环,每次循环的容量衰减为0.031%。这项工作对有机材料在碱金属离子电池(LIBs、SIBs、PIBs)中的应用研究具有重要的推动作用,并为提高电池循环稳定性提供了一条优化电解液的途径。
文献链接:“Electrochemical Study of Poly(2,6-Anthraquinonyl Sulfide) as Cathode for Alkali-Metal-Ion Batteries”(Advanced Energy Materials,2020,10.1002/aenm.202002780)
本文由材料人CYM编译供稿。欢迎大家到材料人宣传HTH官网地址 成果并对文献进行深入解读,投稿邮箱tougao@cailiaoren.com。
材料人投稿以及内容合作可加编辑微信:cailiaokefu 。





