热点材料MOF被国际同行广泛研究,其中包括国外很多大牛:Omar M. Yaghi研究组、林文斌教授研究组、周宏才教授研究组、Jeffery Long研究组、Gérard Férey研究组,M. Fujita研究组、Susumu Kitagawa研究组等等,我国国内也不乏在MOF相关领域做出重要贡献的科学家,今天笔者为大家梳理了近期国内部分科研工作者在MOF领域的成果,其中包括:卜显和、邓鹤翔、江海龙、汪骋课题组,供大家学习参考。
Small:缺陷Zr-MOF中限制杂多蓝用于高效氧化脱硫
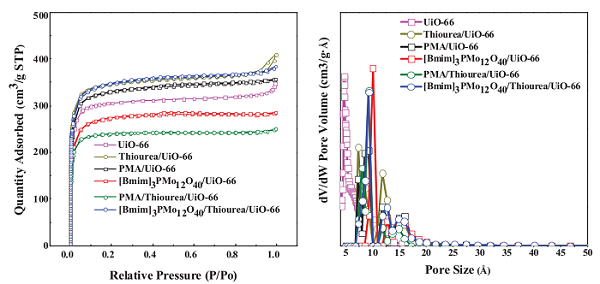
Keggin型多氧金属酸盐(POMs)是氧化脱硫(ODS)的有效催化剂,将其限制在金属有机框架(MOFs)中是一种很有前途的策略。在此,南开大学卜显和教授等人通过添加硫脲对聚甲醛中的oms进行后合成改性,会产生更多的不饱和金属位点作为缺陷,促进ODS的催化活性。通过在MOFs中限制1-丁基-3-甲基咪唑POMs进行附加修饰,以获得更高的ODS活性,这是由于富电子的噻吩基化合物和亲电的咪唑化合物之间的亲合力。四种ODS的催化活性的Zr-MOF基复合材料被研究,X射线衍射、热重量分析,傅里叶变换红外,拉曼,SEM等用于探索这些MOF复合材料的催化机理,其微观结构和电子结构。结果表明,在所有四种复合材料中磷钼酸盐蓝与咪唑磷钼酸盐蓝不同,具有Keggin结构的Mo5+/Mo6+比值均被限制在缺陷UiO-66中。该方法可用于设计和合成其他作为催化剂的POMs/MOFs复合材料。相关研究以“Confined Heteropoly Blues in Defected Zr-MOF (Bottle Around Ship) for High-Efficiency Oxidative Desulfurization”为题目,发表在Small上。
DOI: 10.1002/smll.201906432
图1 氮吸附-脱附等温线及孔径分布曲线

Chemical Engineering Journal:2D MOF衍生的CoS1.097纳米颗粒复合多孔碳纳米片用于高效钠存储器
MOF纳米材料在储能领域的应用已引起广泛关注。其中,硫化物钴因其理论容量大、成本低而被认为是钠离子电池极具发展前景的阳极之一。事实上,不同的相往往表现出与组分有关的电化学性能。在此,南开大学卜显和教授等人充分利用MOF的特点,通过同时碳化和硫化,实现相控合成钴硫化物@硫掺杂多孔碳纳米片(CoSx@SPCN)。分别得到CoS1.097@SPCN和Co9S8@SPCN,两者都表现出了优异的循环稳定性和速率性能。其中,CoS1.097@SPCN复合材料在电流密度为5A g-1的情况下,经过1800次循环后,其可逆容量为231 mAh g-1。值得注意的是,赝容性行为对钠离子的高存储起主要作用。X射线衍射测定揭示了CoS1.097@SPCN复合材料的转化反应机理。有趣的是,研究发现CoS1.097@SPCN会在第一个周期转化为Co9S8。相关研究以“2D MOF-derived CoS1.097 Nanoparticle Embedded S-Doped Porous Carbon Nanosheets for High Performance Sodium Storage”为题目,发表在Chemical Engineering Journal上。
DOI: 10.1016/j.cej.2020.126638
图2 CoSx@SPCN复合材料的合成

Nature:MOF孔隙填充TiO2复合材料实现高效二氧化碳光还原
MOF与气体分子之间具有特异性的相互作用,再加上MOF具有丰富有序的孔道结构,使得MOF成为能够实现气体分子光催化转化的理想材料。然而,与经典的固态或者分子催化剂相比,目前的MOF基材料还未能实现高效的二氧化碳转换效率。武汉大学的邓鹤翔、Ling Zan以及上海HTH官网地址 大学的Osamu Terasaki教授等人创造了一种新型的MOF内“分子隔间(molecular compartments)”材料。在MIL-101及其衍生物的孔结构内生长二氧化钛,从而构建具有了分子隔间的MOF基复合材料。研究显示,这一隔间能够促进光吸收/电子生成的二氧化钛单元与具有催化性能的MOF金属簇产生协同作用,从而实现光催化二氧化碳还原过程以产生氧气。在这一复合材料中,二氧化碳光还原的量子效率甚至可以高达11.3%(350nm光源处),表明二氧化钛在MOF体系中的精确定位能够有效提升二氧化钛的活性。相关研究以“Filling metal–organic framework mesopores with TiO2 for CO2 photoreduction”为题目,发表在Nature上。
DOI: 10.1038/s41586-020-2738-2
图3 控制MOF复合材料中TiO2单元的数量和位置

Nature Chem.:用气体吸附结晶学研究不同孔隙的等温线
对气体吸附等温线的精确测量和评估对多孔材料的表征和应用发展具有重要意义。虽然这些等温线提供了材料整体气体吸收量,但它们不能直接提供有关吸附物在每个单独孔隙中的吸附行为的关键信息,特别是在多孔材料中存在多种类型的孔隙。这里韩国科学技术院Osamu Terasaki,加州大学伯克利分校Omar M. Yaghi,以及武汉大学邓鹤翔等团队展示了如何将气体吸附等温线精确地分解为多个次等温线,这些次等温线对应于材料内的每种孔隙类型。其中PCN-224和ZIF-412两种金属有机骨架分别含有两种和三种不同类型的孔,通过结合气体吸附测量和原位x射线衍射得到单一类型孔隙的等温线。这种等温线分解方法可以获得各孔隙的吸气量、表面积和可达孔隙体积,以及孔隙几何形状对不同吸附物在孔隙内的吸气量和分布的影响。相关研究以“Isotherms of individual pores by gas adsorption crystallography”为题目,发表在Nature Chem.上。
DOI: 10.1038/s41557-019-0257-2
图4 Ar在PCN-224单一类型孔中的吸附行为

AM:孔壁工程增强Pd纳米粒子在MOF中的催化作用
金属纳米粒子(NPs)的化学环境对其催化性能有着重要的影响,但人们对其研究还很不深入。在此,中科大江海龙教授报道了将微小的Pd纳米颗粒被包裹到金属有机骨架(MOF)UIO-66-X(X=H,OMe,NH2,2OH,2OH(Hf))的孔隙中,得到了Pd@UiO-66-X复合材料。Pd NPs的表面微环境可以通过孔壁工程,通过MOFs中的官能团和金属取代来调节。Pd@UIO-66-X对苯甲酸加氢的催化活性顺序为Pd@UIO-66-OH>Pd@UIO-66-2OH(Hf)>Pd@UIO-66-NH2>Pd@UIO-66-OMe>Pd@UIO-66-H。基于协同漫反射的红外傅里叶变换谱和密度泛函理论(DFT)计算,结果发现,活性的差异不仅是由于Pd与MOF之间的电荷转移不同,而且还可以用Pd@UIO66-X(-OH<-2OH(Hf)<-NH2<-OMe<-H)的基底吸附能来解释。Pd@UIO-66-OH具有较高的Pd电子态和中等的吸附能,从而表现出最高的活性。本研究强调了客体金属NPs表面微环境的影响,客体金属NPs的催化活性主要由电子转移和吸附能主导,催化活性通过对宿主MOFs中的金属和官能团的系统取代实现。相关研究以“Boosting Catalysis of Pd Nanoparticles in MOFs by Pore Wall Engineering: The Roles of Electron Transfer and Adsorption Energy”为题目,发表在AM上。
DOI: 10.1002/adma.202000041
图5 Pd@UiO-66-X合成示意图及可定制的孔壁

Nat Commun.:二氧化硅纳米铸入MOF对高负载铁单原子电催化剂具有双重保护作用
单原子催化剂(SACs)最近引起了广泛的兴趣,而低金属负载给进一步的应用带来了巨大的挑战。在此,中科大江海龙教授,俞书宏院士通过将SiO2纳米铸入卟啉金属-有机框架(MOFs),开发了一种双重保护策略,以提供高含量的SACs。SiO2@MOF复合材料的热解提供了高铁负载(3.46wt%)的单原子Fe注入N掺杂多孔碳(FeSA-N-C)。在热解过程中,卟啉接头中被N原子锚定的Fe原子的空间隔离是抑制Fe团聚的第一个保护性屏障。MOF中的SiO2通过创建热稳定的FeN4/SiO2界面提供了额外的保护。由于高密度的FeSA位点,FeSA-N-C在碱性和酸性介质中都表现出优异的氧还原性能。同时,FeSA-N-C在质子交换膜燃料电池中也表现出令人鼓舞的性能,具有很大的实际应用潜力。这项工作为高含量的SACs提供了一种通用的合成方法(如FeSA, CoSA, NiSA)。相关研究以“Nanocasting SiO2 into metal–organic frameworks imparts dual protection to high-loading Fe single-atom electrocatalysts”为题目,发表在Nature Commun.上。
DOI: 10.1038/s41467-020-16715-6
图6 纳米定位辅助制备FeSA-N-C

Matter:机器学习指导金属有机框架的形貌调控
控制纳米晶体的形态是纳米科学的中心任务之一。在这项工作中,厦门大学汪骋教授、周达教授等人利用机器学习研究了由金属氧簇和线性二羧酸配体合成的纳米金属有机框架(nMOF),发现配体溶解度和调控剂浓度可以定量预测具有特定形态的nMOF的生长,得到了二维超薄膜、六角形纳米片、八面体、长方体、凹八面体或空心八面体等不同形态。有了这些见解,我们利用外延生长序列来设计理想纳米结构的nMOFs,增强了底物运输,从而增加了催化烯烃氢化的活性。这项工作突出了利用机器学习来指导nMOFs和其他纳米材料的形态工程的新机会。相关研究以“Machine-Learning-Guided Morphology Engineering of Nanoscale Metal-Organic Frameworks”为他题目,发表在Matter上。
DOI: 10.1016/j.matt.2020.04.021
图7 用机器学习算法确定相图

JACS:光活化MOF中铜位点用于选择性二氧化碳转化为乙醇
二氧化碳加氢制乙醇具有重要的实际意义,但由于需要形成一个碳-碳键,同时保持一个碳-氧键完整,因此面临重大挑战。CuI中心可以选择性催化CO2转化为乙醇,但在反应条件下,CuI催化位点不稳定。在这里,厦门大学汪骋教授等人报道使用低强度光在金属有机框架腔中产生CuI用于催化二氧化碳加氢制乙醇。X射线光电子和瞬态吸收光谱表明,CuI是通过单电子转移从MOF上的光激发[Ru(bpy)3]2+基配体转移到空腔中的CuII中心,以及从Cu0中心转移到光激发[Ru(bpy)3]2+基配体产生的。在光激活条件下,该Cu-Ru-MOF在H2/CO2 = 3:1 150°C、2 MPa条件下选择性地将CO2氢化为EtOH,其活性为9650 umol gCu−1 h−1。因此,低强度的光产生并稳定CuI用于持续的EtOH生产。相关研究以“Photoactivation of Cu Centers in Metal-Organic Frameworks for Selective CO2 Conversion to Ethanol”为题目,发表在JACS上。
DOI: 10.1021/jacs.9b11443
图8 低强度光控制二氧化碳加氢的催化及CuII(HxPO4)y@Ru-UiO催化前后表征

文中所述如有不妥之处,欢迎评论区留言~
本文由Junas供稿。
本内容为作者独立观点,不代表材料人网立场。
未经允许不得转载,授权事宜请联系kefu@cailiaoren.com。
欢迎大家到材料人宣传HTH官网地址 成果并对文献进行深入解读,投稿邮箱: tougao@cailiaoren.com.
投稿以及内容合作可加编辑微信:cailiaorenVIP。





