当前位置: 材料牛 » 专栏 » 室温超导最新研究成果总览,不断突破,未来可期!

室温超导最新研究成果总览,不断突破,未来可期!

北京时间10月14号晚,首个室温超导体问世,一篇刊登在《Nature》封面上的文章引起了广大研究者的关注,轰动了整个物理界!百年来,室温超导材料一直是物理学的核心追求之一,更被赋予解决人类能源问题的宏大愿景。那究竟什么是室温超导材料?它可以应用在生活中的哪些地方?最新的研究又到了哪一步?今天让我们一探究竟。

1、什么是室温超导材料?有可能实现吗?

超导材料是指在一定低温条件下电阻等于零以及完全抗磁性的导体,可以分为低温超导材料和高温超导材料。高于40K(约-233.15℃)的超导体即可称之为高温超导体,这里的高温是相对于绝对零度(0K)而言的,实际上远远低于冰点摄氏度0℃(273K)。而室温超导材料是指能够在无需冷却的常温条件下零电阻导电的导体。然而,目前所研发出的超导体只能在零下数百摄氏度时发挥作用,极低的冷却温度环境意味着实现超导应用必须依赖于昂贵的低温液体,如液氦等来维持低温环境,这使得超导应用成本急剧增加,远超材料本身的价值。因此寻找更高的超导临界温度(超导体电阻变为零的温度),特别是接近常温区的可实用化的超导材料一直是物理界的遥不可及的梦想。

寻找室温超导之路无比艰难坎坷,数百年来,无数科学家付出了许多心血。到近年来,几乎平均每个月都有新超导体被发现,但始终未能实现室温超导。

如果超导材料可以在室温条件下普及,则材料几乎可以将电力零消耗输送到任何地方,对我们的电网基础设施、医学、能源、量子计算、无线通讯、高精尖物理科研设备等诸多领域产生革命性的影响,这将引燃一场新的能源革命,具有划时代的意义!

近日,室温超导有了重大突破,美国罗彻斯特大学Ranga P. Dias等人打破了零度(273K)这一节点,实现了288K(约15℃)温度下的C-S-H体系超导!尽管这是在267±10 Gpa超高压条件下的实现的,但仍旧打破了室温超导领域的世界纪录,具有重大的意义!

2、超导材料的发展历史

1911年,荷兰物理学家Heike Kamer-Onnes在温度4.2K(-268.97℃)时用液氦冷却汞时发现汞的电阻为零,首次发现了超导现象和超导体。

1933年,菲尔德和迈斯纳发现超导体冷却达到转变温度时,不仅电阻完全消失,还会出现抗磁性:磁感线从超导体中排出,不能通过超导体。

1973年科学家发现了保持了近十三年记录、超导转变温度为32.4K(-249.92℃)的超导合金——铌锗合金。

1986年,美国贝尔实验室研究出了打破液氢40K的温度障碍,临界温度为40K(-235.15℃)的超导材料。

1987年,美国华裔科学家朱经武和中国科学家赵忠贤陆续把钇-钡-铜-氧转变温度提高到了90K(-185.15℃),从而发现了高温超导体材料,打破了液氮77K的“温度堡垒”。

1988年,日本实现了液氮温区超导体的理想,研发出了转变温度为110K(-165.15 ℃)的超导材料Bi-Sr-Cu-O,解决了困扰科学界多年的问题。超导热从高温超导材料被发现以后席卷全球。转变温度达-150.15℃的铊系化合物超导材料和转变温度达-140.15℃的汞系化合物超导材料相继被发现,高压条件下的汞转变温度能达到164K(-111.15℃)。

日本东京工业大学细野秀雄教授和其合作者在2007年2月发现了转变温度为-251.15℃的氟掺杂镧氧铁砷化合物。中国物理研究所根据这一发现,制作掺杂样品,将氟掺杂镧氧铁砷化合物中的三价镧用二价金属锶代替,发现该化合物转变温度为-248.18℃。

中国HTH官网地址 大学陈仙辉研究团队和中国物理所研究团队于2008年3月25日和3月26日发现了突破麦克米兰极限温度,转变温度为-233.15℃的非传统超导材料。

3、超导材料的应用

超导材料是一项具有远大战略意义的高新技术,可以广泛用于信息、检测、交通运输、电力技术等领域,有着重要的研究和开发价值。

(1)超导磁体。目前,超导材料应用最多的领域就是制作各种用途的超导磁体。它可以实现常规导体材料无法实现的磁场强度、磁场梯度和磁场均匀度。超导磁体有很多用途,比如核磁共振成像(MRI)、各类粒子加速器、各类高能粒子对撞机、以及目前多国参与的国际热核聚变实验堆(ITER)的磁场,都离不开超导磁体。另外,还有各式各样的超导磁体被应用于检测仪器、各类实验装置、晶体生长等其他许多方面。

(2)超导电缆。电能在传输过程中损耗很大,超导电缆的优势在于电能在输送过程中可以最大限度地降低损耗,仅为传输功率的5%,而常规电线电缆的损耗要达到10%,能够很大程度上节省能源。而且高温超导电缆的容量比常规电缆提高3~5倍、损耗下降60%,节约占地面积和空间,更为可观的是,总费用降低20%,经济效益明显。超导电力技术是21世纪电力工业唯一的高技术,可有效解决能源短缺的问题。

(3)超导电机。超导电机重量轻、紧凑性好,在风力发电机中特别具有优势。所以将超导电机用于风力发电是目前发展的趋势。超导电机采用超导材料替代常规电机的转子。传统电机以铜作为线圈绕组,采用超导材料后,可将铜用量从1 t减至0.44 t,铁用量从10.5 t减少至2.8 t,大大减少了金属的使用量,降低了成本;而制冷系统电力消耗导致的成本,已由使用周期长、效率高而得以抵消。效率高、性能好以及巨大的市场潜力驱动着超导电机的发展。

(4)磁悬浮。在导体截面相同时,超导体制作的导线可以比铜导线(传统电磁铁绝大多数由铜导线绕制)承载高出几十倍的电流。由超导线圈制作的磁悬浮机构可以产生比传统磁悬浮机构大得多的悬浮力和驱动力。另外,铜线圈通电时会不断地产生焦耳损耗,而超导线圈因为无电阻不会产生焦耳损耗,更加节能、环保。

(5)超导储能装置。储能,即通过某种手段将能量存储起来,在需要时释放的过程。按照储能的方式,可分为物理储能、化学储能和电磁储能,超导储能是电磁储能的一种。超导储能装置无需能量转换、直接储能,转换效率高,响应速度快,功率密度大,用于电网时,低谷时储藏电能,高峰时释放电能,具有有效提高输电的效率和经济性等优点。

4、室温超导材料的最新重大突破

(1)(2019.3.8-Science)调整扭曲双层石墨烯的超导性

http://doi.org/10.1126/science.aav1910

具有扁平电子带的材料由于强相关性而经常表现出奇异的量子现象。通过简单地将层旋转1.1°,可以在双层石墨烯中诱导出孤立的低能量平带,从而导致栅极可调超导和相关绝缘相的出现。哥伦比亚大学的Cory R. Dean和加州大学圣巴巴拉分校的Andrea F. Young领导的研究团队在平带条件下测量tBLG中超导与相关绝缘态的关系。证明了除了扭转角,还可以采用层间耦合得以精确地调整这些相位。研究人员通过改变层间间距与静水压力的关系,在大于1.1°的扭转角下诱导超导态,而在这个角度上,相关态并不存在。其低无序器件揭示了超导相图与其附近绝缘体之间的关系,该研究结果表明扭曲双层石墨烯为探索相关态提供了一个独特的可调整平台。

图1:扭曲角为1.14°时器件的超导性

图2:压力下tBLG相图

(2)(2019.5.22-Nature)接近室温条件下的超导体氢化镧(LaH10),最高临界温度-23℃250K

https://doi.org/10.1038/s41586-019-1201-8

美国芝加哥大学、德国马斯克普朗克Mikhail Eremets领导的团队,发现了临界超导温度能达到–23℃的高温超导体新材料:超氢化镧。研究人员用仅几微米大小的镧金属样本,放进一个打孔且充满液态氢的金属箔中,接着将此设备连接电线,然后对其施加高达150~170 GPa的压力——将近地球海平面压力150万倍。研究人员以激光光轰击样本,使镧和氢结合形成氢化镧,最后用X射线束测量该材料的结构与成分。研究人员证实,这种材料在-23 ℃时表现出超导4种特性中的3种:零电阻、外加磁场下临界温度降低、当一些元素被不同的同位素取代时出现温度变化,只差没有检测到迈斯纳效应。

图3:LaH10中超导性的观察

图4:在外部磁场下的超导转变

(3)(2019.12.11-Physical Chemistry Chemical Physics)低压掺杂铍的甲烷中的金属化和超导电性

https://doi.org/10.1039/C9CP06008A

中国科学院深圳先进技术研究院钟国华研究团队基于粒子群优化、密度泛函理论和密度泛函微扰理论,提出了一种实现绝缘体到金属转变的新思路,即通过在甲烷分子中掺杂金属铍。研究人员考虑了铍掺杂甲烷分子的晶体结构、电子态和动力学性质以及电子-声子相互作用。结果显示,具有P-1空间群结构的BeCH4在常压下就可以转变为金属态,并发生超导转变,随着压力的增加最高超导临界温度可以提高导近30K。这说明电子掺杂的CH4有希望成为一种兼具低压和高临界温度的新型超导体。相关研究结果系统地揭示了这种新型超导体在不同压强下空间结构、金属环和超导电性的变化规律,对于探索新型高温低压超导体具有重要的指导意义。

图5:BeCH4稳定相与P-1相的相对焓随压力的变化

图6:预测的不同相BeCH4的超导临界温度Tc随压强的变化

(4)(2020.2.6-Nature-23℃250K)温度条件下氢化镧(LaH10)的量子晶体结构

https://doi.org/10.1038/s41586-020-1955-z

罗马大学的Jose A. Flores-Livas研究团队证明了在137~218 GPa压力范围内,量子原子的波动稳定了高度对称的Fm3m晶体结构。该结构与实验结果一致,并且具有非常大的3.5的电子-声子耦合常数。尽管从头算起经典的计算表明,该Fm3m结构在230 GPa以下的压力下会发生变形,产生复杂的能量分布,但量子效应的包含表明它是真正的基态结构。计算的Tc值与实验Tc值之间的一致性进一步表明,该相是在250开尔文温度下观察到的超导性的原因。量子动力的相关性使人们对经典方法中氢化物的许多晶体结构预测提出了质疑,这些预测目前指导了对室温超导性的实验探索。此外,作者发现量子效应对于具有高电子-声子耦合常数的固体的稳定化至关重要,否则,由于电子-声子的大相互作用可能会使稳定化,从而降低了合成所需的压力。

图7:量子效应稳定了LaH10的对称Fm3m相

(5)(2020.3.25-Nature)重金属UTe2中的手性超导

https://doi.org/10.1038/s41586-020-2122-2

美国伊利诺伊大学厄巴纳香槟分校的V. Madhavan研究团队与美国国家标准与技术研究院、马里兰大学、波士顿学院以及瑞士苏黎世联邦理工的科学家们合作,发文报道认为:超导态UTe2既是寻找已久的手性超导体,也是一种奇异准粒子的天然载体。研究人员利用高分辨扫描隧道显微镜研究了新近发现的重费米子超导体碲化铀,发现了近藤(Kondo)效应与超导性共存现象,在一个单位中实现了竞争性地空间调制。扫描隧道显微学还揭示了手性隙内态的存在,与拓扑超导体的理论预测相吻合。结合上述实验证据,UTe2被认为是一种潜在的手性三重态拓扑超导体。

图8:UTe2 Kondo共振和超导性的空间调制

(6)(2020.7.6-Nature)魔角石墨烯中的绝缘态和超导态

https://doi.org/10.1038/s41586-020-2459-6

巴塞罗那科学技术研究所Dmitri K. Efetov研究团队报告了通过改变石墨烯与金属屏蔽层之间的分隔距离,来直接调节该系统中电子相互作用的方法。在屏蔽层间距小于15纳米的典型Wannier轨道尺寸,以及扭曲角度略微偏离魔角1.10±0.05度的器件中,研究人员观察到了相关绝缘体的淬灭。绝缘顺序消失后,空出的相空间将由具有临界温度的超导部分所占据,该临界温度可与具有强绝缘体的设备相媲美。此外,还发现半填充状态的绝缘子,会重新出现在0.4特斯拉的小平面外磁场中,从而产生Chern数为2的量化霍尔状态。该研究为理解双层魔角石墨烯中的绝缘态和超导态之间的关系提供了经验,并为理解具备强相互作用的超导体系的微观机制提供了方案。

图9:屏幕控制MATBG相图的近似魔角

图10:超导性和相关绝缘相对温度和密度的关系

(7)(2020.9.29-Chinese Physics Letters)基于标准四电极法研究笼型富氢化物LaH10的高温超导电性

https://doi.org/10.1088/0256-307X/37/10/107401

中科院物理所洪芳副研究员、于晓辉副研究员、程金光研究员和赵忠贤院士与北京高压科学中心杨留响研究员通力合作,克服各种高压技术难点,通过在70 μm的金刚石对顶砧台面上手工布置标准四电极引线,采用氨硼烷作为氢源,利用激光加热使其分解产生氢气,并与放置在金刚石对顶砧压腔内的La金属薄片反应。通过调节激光加热温度,在165 GPa高压下获得了两种不同Tc的样品,在1000 K加热得到了氢含量较低的LaHx样品,其中Tc≈74 K;在1700 K加热得到了Tc≈240-250 K的LaH10+δ。通过不同磁场下的电阻测试,进一步确认LaH10+δ的高温超导转变。该工作不仅成功重复出了之前德国和美国研究组发现的LaH10+δ高温超导体,而且还发展了利用金刚石对顶砧开展兆巴高压下的原位激光加热与标准四电极电阻测试技术。实验路线相对简单、易于推广,有助于推动超高压下富氢高温超导材料的探索研究。

图11:(a)激光加热前后的样品和电极对比图;(b)升降温过程测试的电阻数据显示出超导转变(插图显示了在不同磁场下超导转变附近的电阻,显示超导转变随磁场增加而逐渐向低温移动);(c)由Ginzburg–Landau表达式(绿色实线)拟合的临界温度的场依赖性

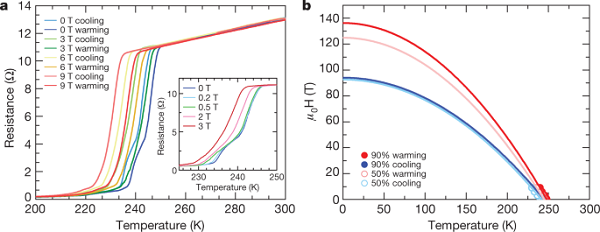
(8)(2020.10.14-Nature15℃超高压下室温超导的首次实现

https://doi.org/10.1038/s41586-020-2801-z

美国罗彻斯特大学、英特尔公司和内华达大学的联合研究团队首次实现了15 ℃下的室温超导。该团队将富氢材料与有机超导这两条路径相结合,用碳来代替金属元素。他们运用一种绿色的光化学合成方式,在硫化氢体系中掺杂了一种自然界最廉价、最普通的元素——碳,在超高压下实现了15 ℃下的室温超导。

该研究团队的实验方案设计如下:1)将碳和硫以1比1摩尔比混合,球磨成5微米以下的颗粒,随后装载到一种称为“金刚石砧座”的装置中;2)氢分子充入其中,扮演反应物和传压介质的双重角色;3)利用两颗金刚石挤压,给样品施加4 GPa的压强,并用波长532 nm的紫外光照射数小时;4)在压力和辐射的双重作用下,驱动S-S键的光分解,形成硫自由基,并与氢分子反应生成硫化氢;5)迅速微调压强和激光位,最终制出均匀透明的C–S–H晶体结构。然后研究人员通过对电阻、磁化率、电输运和拉曼光谱的测量,观察到C–S–H晶体在267±10 GPa压强下,临界温度约288 K时,具有零电阻、在施加的磁场下临界温度的降低、冷却时从材料内部排出磁场(迈斯纳效应)等三个超导体特征,并证实了从分子到金属以及超导的一系列结构和电子相变。这充分说明,有机衍生的C-S-H在267±10 GPa压强下取得了约15℃的超导临界温度,创造了新的世界纪录!

此外,研究人员还指出,可以通过在更低压强下交换分子,微调C-S-H三元体系的组分,有望实现大气压下稳定或亚稳定的高温超导体。论文的合作者,内华达大学拉斯维加斯分校的物理学家Ashkan Salamat表示,添加第三个元素可以大大拓宽未来寻找新超导体的范围,这项工作开辟了一个全新的探索区域。

图12:在高压下C–S-H中的超导性能

图13:外部磁场下的磁化率和超导转变

图14:C + S + H2混合物的光化学产物的压力诱导拉曼变化

最新的研究方法虽实现了288K(约15℃)温度下的含碳硫化氢的超导,但这种室温超导是在267 Gpa高压下实现的,相当于200多万倍标准大气压,目前还很难谈得上实际应用,但还是给大家提供了实现室温超导的希望,相信用不了多久,科学家们一定能再次打破记录,突破瓶颈。

不考虑条件,15℃室温超导的首次实现具有里程碑式的意义,这一项超导体的全新世界纪录,标志着科学家实现室温超导的步伐正在加快,也代表着我们朝着无电力损耗的全新时代更进了一步。室温超导梦,不再遥远!

文章链接:

[1] http://doi.org/10.1126/science.aav1910

[2] https://doi.org/10.1038/s41586-019-1201-8

[3] https://doi.org/10.1039/C9CP06008A

[4] https://doi.org/10.1038/s41586-020-1955-z

[5] https://doi.org/10.1038/s41586-020-2122-2

[6] https://doi.org/10.1038/s41586-020-2459-6

[7] https://doi.org/10.1088/0256-307X/37/10/107401

[8] https://doi.org/10.1038/s41586-020-2801-z

本文由小艺供稿。

本内容为作者独立观点,不代表材料人网立场。

未经允许不得转载,授权事宜请联系kefu@cailiaoren.com。

欢迎大家到材料人宣传HTH官网地址 成果并对文献进行深入解读,投稿邮箱: tougao@cailiaoren.com.

投稿以及内容合作可加编辑微信:cailiaorenVIP。

未经允许不得转载:材料牛 » 室温超导最新研究成果总览,不断突破,未来可期!

相关文章

Baidu
map