【引言】
近年来,钠硒(Na-Se)和钾硒(K-Se)电池由于资源丰富已引起相当大的关注。与传统的嵌入型正极不同,Se与碱金属形成合金,比容量为675 mAh g-1。尽管Se的比容量比S低,但由于其高密度,其体积容量与S相当。另外,Se的电导率显着高于S的电导率,并且多硒化物的穿梭效应不如多硫化物严重。目前,已经在开发可以承载硒的纳米结构碳材料方面取得了显著性进展,然而,对于碳主体的孔结构与Se对Na-Se和K-Se电池的电化学性能之间的关系的研究有限。碳主体的孔结构与电化学动力学密切相关。对于锂硫和锂硒电池而言,碳基质中的中孔可以提供较高的S或Se含量,并提供有效的Li离子扩散途径,从而可以提高S和Se的利用率。但是,最近的研究证实,由于空间限制,微孔碳中的S和Se都表现出更好的可循环性,因为它们以小链状分子的形式存在,这样可以防止它们形成高阶多硫化物或多硒化物,从而避免穿梭效应。因此,优化微孔与中孔的比例以及微孔和中孔的构型以增强电化学性能是十分重要的。另一方面,根据以前对Na-Se电池的研究,即使在基于碳酸酯类的电解液中,Se的首次放电也会产生两个平台,这相当于通过多步反应将Se还原为Na2Se。这种行为与Li-Se电池的行为不同,在Li-Se电池中,使用碳酸酯类电解液实际上可防止多硒化物的形成和溶解,表现为单一放电平台。然而,据报道用于Na-Se电池的封装在纳米结构碳材料中的大多数Se也表现出单一的倾斜放电平台。这种差异表明,如锂-硫电池所观察到的,孔结构与硒的钠化/去钠化反应之间可能存在关系。但是,这尚未被阐明。
【成果简介】
近日,韩国高丽大学Yun Chan Kang教授通过喷雾热解制备了N,S共掺杂的分级多孔碳微球作为Se正极的主体材料,该方法可用于大规模制备纳米结构材料。作者使用甘氨酸和硫酸合成了杂原子(N,S)掺杂的碳微球。通过在喷雾热解过程中使用KCl在微球中原位形成模板化活化剂,可以通过在不同温度下进行化学活化来获得具有不同孔结构的碳主体。此外,还研究了碳基质的孔结构对硒利用率和钠-硒电池的钠化/去钠化过程的影响。最后,作者还展示在K-Se电池中具有优化孔隙结构的电极的性能。相关研究成果“Encapsulation of Se into Hierarchically Porous Carbon Microspheres with Optimized Pore Structure for Advanced Na-Se and K-Se Batteries”为题发表在ACS Nano上。
【图文导读】
图一、喷雾热解及后续后处理形成的N,S共掺杂的分级多孔碳微球的示意图
图二、通过喷雾热解和随后的活化制备的NSHPC-700的形貌和结构表征
(a)SEM图像
(b,c)TEM图像。
(d)HR-TEM图像。
(e)EDS元素映射。
图三、NSHPC-700的XPS能谱表征
图四、不同温度下制备的多孔碳微球的BET表征
(a)N2吸附-解吸等温线。
(b)BJH孔径分布。
(c)NSHPC-x的Horvath-Kawazoe微分孔体积图(x = 650、700、750、800)。
图五、NSHPC-700/Se的形貌和结构表征
(a)SEM图像。
(b,c)TEM图像。
(d)HR-TEM图像。
(e)相应的EDS元素映射。
图六、NSHPC-700/Se的光谱表征
(a,b)NSHPC-x/Se(x = 650、700、750、800)和商业硒粉的XRD和拉曼光谱。
(c,d)NSHPC-700/Se的XPS光谱。
(e,f)NSHPC-x/Se(x = 650、700、750、800)的N2吸附-脱附等温线和BJH孔径分布。
图七、NSHPC-x/Se(x = 650、700、750、800)前5圈的CV曲线
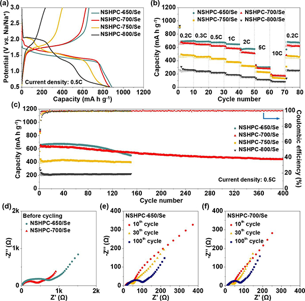
图八、NSHPC-x/Se(x = 650、700、750、800)的储钠性能表征
(a)首圈充放电曲线。
(b,c)倍率性能及循环性能。
(d-f)循环前和循环不同圈数的EIS谱图。
图九、NSHPC-600/Se和-700/Se的电化学动力学分析
(a,b)不同扫描速率下的CV曲线。
(c,d)峰值电流与扫描速度之间的关系。
图十、NSHPC-700/Se的储钾电化学性能表征
(a)前5圈的CV曲线。
(b)首圈充放电曲线。
(c)倍率性能及循环性能。
【小结】
总之,作者研究了碳主体的孔结构对Na-Se电池电化学性能的影响。通过简便的喷雾热解方法,然后在不同温度下进行化学活化,合成了具有不同孔结构的N,S共掺杂的分级多孔碳微球(NSHPC)。NSHPC-700用作硒的主体材料时,表现出稳定的循环性能和优异倍率能力以及高可逆容量。这可能是由于大量的微孔可以容纳硒和优化的微孔与中孔比率。充满硒的微孔阻止了多硒化物的形成和溶解,而介孔提供了足够的自由空间以促进离子的运输并缓冲硒在循环过程中的体积变化。结果,NSHPC-700/Se表现出稳定且高的可逆容量(在0.5C下400次循环后为445 mA h g-1)和良好的倍率性能(在10C下为169 mA h g-1)。在对K-Se电池进行测试时,NSHPC-700/Se在0.2C下120个循环后的容量为436 mA h g-1,在2C下的倍率性能为137 mA h g-1。这项研究证明了孔结构对于Na-Se和K-Se电池的重要性,并为开发具有精心设计的孔结构的导电碳矩阵提供了灵感,这对于先进的碱金属-硫/硒属元素电池体系是十分有价值的。
文献链接:“Encapsulation of Se into Hierarchically Porous Carbon Microspheres with Optimized Pore Structure for Advanced Na-Se and K-Se Batteries”(ACS Nano, 2020,DOI: 10.1021/acsnano.0c04870)
本文由材料人CYM编译供稿,材料牛整理编辑。





