【引言】
作为航空航天深空探测器中不可或缺的关键设备之一,热电发电装置在新能源汽车、柔性可穿戴设备(InfoMat., DOI: 10.1002/inf2.12149 (2020); Energy Environ. Sci., 12, 2983-2990 (2019))、以及物联网IoT (Nature Electronics 2, 300-306(2019))领域也有重大潜力。然而,现有热电材料性能(热电转化效率)有待进一步提高。优化材料的热电性能(图a)一直是通过调节赛贝克系数(s),电导率(σ)和热导率(κ)这几个复杂相关的物理参数实现的(Nature Materials 7, 105–114(2008))。能量过滤(energy filtering)机理是一种跳出上述框架的理论,其核心价值是打破参数间的负相关性,在不影响电导率的情况下有效提升赛贝克系数,从而大幅提升材料功率因子(s2σ)。作为一种极具吸引力的概念,在20年前首次被提出后,各界进行了大量基于此概念的实验性探索。然而,“至今为止基于能量过滤理论的探索并未取得实质性的突破,主要原因是过滤电子的能量势垒造成的负面效应抵消了其正面贡献(Adv. Funct. Mater., 30, 1901789 (2020))。”值得注意的是,在以往大量的文献报道中,虽然各界广泛认可由于引入能量势垒(例如制造晶界),在宏观上会使材料成为一种非均质“复合材料”,然后绝大多数能量过滤的设计和分析却采用基于均质材料的理论。理论和实验中存在的失配问题可能是困扰领域发展的重要因素之一。

图a: 优化热电性能(zT=(s2σ/κ)*T, T为温度)通常是通过调节材料中的载流子浓度(η),平衡有复杂联系的赛贝克系数(s),电导率(σ)和热导率(κ)来实现的。优异的热电材料通常都是是重度掺杂的半导体材料。
【成果简介】
近日,由英国剑桥大学(林悦博士(第一作者,通讯作者),郗凯博士),澳大利亚莫纳什大学(Anna N. Mortazavi博士),美国哈佛大学(David Clarke教授),美国西北大学(Mercouri G Kanatzidis教授,Mark Hersam教授,Jeffrey Snyder教授(通讯作者)),组成的团队从非均质“复合材料“的角度对能量过滤理论进行了解析,并提出体现能量过滤优势效应的关键参数“界面赛贝克系数“。在n型Mg3Sb2及其与石墨烯的杂化材料中,团队发现了类似能量过滤的现象,表现为在材料载流子浓度不变的情况下,材料的赛贝克系数有明显的提升。不同于以往的均质理论,团队从含有晶相和晶界相的非均质材料角度建立模型,对实验结果进行分析。晶相和晶界相在性能上有着本质不同,团队提出能量过滤效应主要集中于晶界相中,带来晶界相的“界面塞贝克系数”的显著提升。在此基础上,团队揭示了性能突破的关键:提高界面塞贝克系数在整体材料塞贝克系数中的比重。该比重与晶界相的温差降占整体材料比重直接相关。以石墨烯作为界面工程工具,团队有效调控了晶界相的界面热阻,导致晶界相的温差降比重显著升高,带来材料整体塞贝克系数和功率因子的提升。最终,在不改变材料载流子浓度的情况下,团队通过界面工程将n型Mg3Sb2的峰值热电性能提高了40%,在750K左右达到1.7。团队希望该工作能够进一步激发各界对宏观材料中界面及其精细控制工程技术的探索和研究。相关研究成果以“Expression of Interfacial Seebeck Coefficient through Grain Boundary Engineering with Multi-Layer Graphene Nanoplatelets“为题发表在Energy & Enviromental Science上。
【图文导读】
图一:多晶Mg3Sb2中能量过滤现象示意图。

(a)高能电子对赛贝克系数的贡献高于低能电子(Applied Physics Reviews 5, 021303 (2018))。通过改变晶界处的能带结构造成能带势垒,可以有效“过滤“低能量电子,增加晶界相的赛贝克系数。(b)材料中声电子输运示意,晶界相造成低能量电子的散射效应,石墨烯的加入增强了晶界相对声子的散射效应。(c)到(e)基于有效介质理论建立的串联模型对材料中的声电子输运进行分析。晶界相对比晶相有更高的电阻和热阻,造成额外的电压降(c左)和温差降(d左)。石墨烯的加入在不影响电子输运的情况下有效增加了晶界相的界面热阻。晶界相界面热阻的增加直接导致晶界相温差降的增加(d),从而产生更大的界面赛贝克电压(e)。
图二:Mg3Sb2及其与石墨烯杂化材料的zT值。

Mg3Sb2/石墨烯杂化材料在750k的温度能达到1.7的峰值zT。相比于纯Mg3Sb2材料,此增强作用源于石墨烯对界面热阻的提升。界面热阻的提升同时提高了材料整体的赛贝克系数,并降低了热导率。
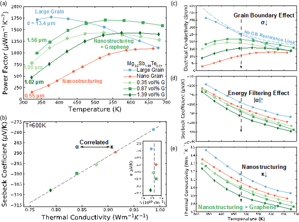
图三:Mg3Sb2及其与石墨烯杂化材料的输运性能。

(a)材料的功率因子曲线
(b)材料的赛贝克系数和热导率具有很强的线性关联。低热导率的材料表现出更大的赛贝克系数,体现出界面热阻对能量过滤效应的表现的重要性。
(c)到(e)材料的电导,赛贝克以及热导曲线。
图四:基于两相非均质模型对Mg3Sb2及其与石墨烯杂化材料的分析。

(a)材料中晶相和晶界相的赛贝克系数,通过模拟计算得出的添加和未添加石墨烯的材料的晶界相赛贝克系数一致,侧面反映石墨烯并未改变晶界相能带结构。(b)不同材料中的界面热阻。石墨烯的添加使晶界相界面热阻增加了6倍。(c)不同材料中的界面电阻。石墨烯的加入导致界面电阻在小于500k的范围内有一定下降,但在能量过滤效应显现优势的区域(大于500k),石墨烯并没有促进界面电阻的下降。
【总结与展望】
该工作中建立的“界面赛贝克系数”模型为寻找和控制宏观热电材料中可能存在的能量过滤效应提供了一个便捷的工具。要体现出能量过滤效应的优势,关键在于最大化能量壁垒区域(比如晶界区域)的温差降。模型揭示了可供调节界面温差降比重的两个本征参数:晶粒尺寸(决定了晶界的多少)和界面热阻。传统纳米化手段提倡缩小晶粒尺寸,创造尽可能多的界面,以此提升整体材料的赛贝克系数,然而这种策略对电子输运造成了极大的负面影响,最终材料的热电性能得不到明显的提升。该工作则提出界面热阻应该作为首要调控参数,增加界面热阻并不会对电子输运造成影响,因此最终材料的热电性能可以通过能量过滤效应得到显著提升。通过纳米材料界面工程手段对晶界区域进行精准调控可以有效的达到该目的。除了Mg3Sb2以外,有其他相当数量的材料体系(例如Ca3AlSb3, Ca5Al2Sb6, SnSe, KAlSb4, Sr3GaSb3, PbSe-NaSbSe2, Mg2Si and (Hf,Zr)CoSb Half-Heusler)具有性能和晶粒尺寸相关性,在这些材料中都有可能存在能量过滤效应,因此非常值得进行探索。
文献链接:Y. Lin, M. Wood, K. Imasato, J. J. Kuo, D. Lam, A. N. Mortazavi, T. Slade, S. Hodge, K. Xi, M. G. Kanatzidis, D. R. Clarke, M. C. Hersam and G. J. Snyder, Expression of Interfacial Seebeck Coefficient through Grain Boundary Engineering with Multi-Layer Graphene Nanoplatelets, Energy Environ. Sci., 2020, DOI: 10.1039/D0EE02490B
【相关工作】
1. Y. Lin, M. T. Dylla, J. J. Kuo, J. P. Male, I. A. Kinloch, R. Freer and G. J. Snyder, Adv Funct Mater, 2020, 30, 1910079.
2. K. Imasato, C. G. Fu, Y. Pan, M. Wood, J. J. Kuo, C. Felser and G. J. Snyder, Adv Mater, 2020, 32, 1908218.
3. M. Wood, J. J. Kuo, K. Imasato and G. J. Snyder, Adv Mater, 2019, 31, 837 1902337.
4. S. Ohno, K. Imasato, S. Anand, H. Tamaki, S. D. Kang, P. Gorai, H. K. Sato, E. S. Toberer, T. Kanno and G. J. Snyder, Joule, 2018, 2, 141–154.
5. J. J. Kuo, S. D. Kang, K. Imasato, H. Tamaki, S. Ohno, T. Kanno and G. J. Snyder, Energy Environmental Science, 2018, 11, 429–434.
【团队介绍】

林悦研究员:英国剑桥大学卡文迪许实验室/美国西北大学材料科学与工程学院玛丽居里全球研究员,研究方向为复杂复合材料体系中声电子输运物理及相关热学工程应用。共承担10余项由欧盟地平线2020战略基金,英国工程与物理科学研究基金资助的纵向重点研发项目;以及多项由国际知名HTH官网地址 制造企业(例如华为,空客,菲亚特)资助的产业化研发项目。至今为止,在Adv. Mater, Energy Environ. Sci, Adv. Funct. Mater等顶级期刊上发表热学及材料学相关论文16篇,并且拥有4项已授权国际专利,其中两项已成功转化并实现产业化。

Jeffrey Snyder教授:美国西北大学材料科学与工程学院终身教授,世界知名半导体物理学者,至今为止在Nature, Science, Proc. Natl. Acad. Sci., Phys. Rev. Lett, J. Am. Chem. Soc, Adv. Mater, Energy Environ. Sci等世界顶级期刊发表论文700余篇。其论文总引用数超过5万次,H因子103,已连续3年(2016-2019)入选汤森路透全球高被引科学家。
本文由Allen供稿。





