
背景介绍
导电聚合物(PEDOT:PSS)因其良好的机械性能和易制备特性而被广泛认为是一种极具前景的柔性热电材料。这一材料通常采用旋涂法和打印法制备热电器件。尽管采用旋涂法制作的薄膜已经被报道拥有相对较高的热电能量因子(Power factor,334 µW∙m-1∙K-2)和热电优值(zT,0.42),但是,旋涂薄膜由于厚度太小 (100 nm),其机械韧性以及环境稳定性并不令人满意;此外,旋涂法的制备效率相对低下,不适用于大规模生产。与之相反,打印法具有高效的器件制备能力,打印出来的薄膜厚度适中(几个µm),具有极好的机械韧性和环境稳定性,可以支持器件的长期使用,是一种非常理想的热电器件原材料。然而,打印薄膜又受限于其相对较低的热电性能,因此也同样并未被广泛应用于热电器件中。为了进一步促进该打印薄膜在柔性热电器件中的发展应用,强化其热电性能非常必要。除此之外,器件冷热端的温差及其合理的结构设计也至关重要,前者决定了输出电压的高低,后者在器件最大输出功率的优化中也举足轻重。
成果简介
在本文中,针对打印的PEDOT:PSS薄膜,我们提出了一种新的材料性能优化策略,结合了EG前处理和H2SO4以及TDAE后处理,实现了相对较高的功率因子(224 µW∙m-1∙K-2)。其内在机理源于PEDOT:PSS打印薄膜中多余的PSS的选择性祛除效应及其后针对薄膜氧化程度进行的优化调整。前者由EG和H2SO4处理实现,并从微纳结构尺度上提升了打印薄膜的结构有序性,为高效的载流子输运提供了顺畅的通道;后者由TDAE处理实现,通过调整薄膜的氧化程度进而得到电导率和塞贝克系数的最优化搭配,最终实现了最佳的功率因子。除了材料性能优化,我们还采用碳纳米管层作为太阳能吸收器,实验结构表明热电器件两端温度梯度达到了44.5 K,这一数值远高于采用人体作为热源时的器件温度梯度。此外,我们进一步做了器件的温度场热分析,发现薄膜的温度变化集中于很小的一块转变区域 (transition length),并得到了该区域长度关于薄膜厚度的经验公式。利用这一经验公式,基于最大输出功率的原理,我们制造了一个热电模块,其最大输出功率密度达到3 µW∙cm-2。该模块同时还表现出了优异的机械和环境稳定性能,实验结果表明,1000次弯曲实验,30天的空气暴露以及20次的冷热循环测试均未大幅度改变其输出功率。后续工作中,我们将进一步推导出转变区域长度与薄膜厚度以及薄膜本身热导率的解析式,为这一器件设计思路推广到其他柔性材料提供指导。
结果分析
图1a是未处理、EG处理以及EG-H2SO4处理薄膜的电导率和塞贝克系数。在经过EG和H2SO4处理之后,PEDOT:PSS薄膜的电导率从2 S∙cm-1提升到了4000 S∙cm-1, 而塞贝克系数也有微小的提升。图1b表明了不同TDAE处理时长对EG-H2SO4处理后的PEDOT薄膜的电导率、塞贝克系数以及功率因子的影响。显然,当TDAE处理时间为1分钟时,薄膜的功率因子最高,对应的电导率和赛贝克系数分别为1975 S∙cm-1和33.4 µV∙K-1。图1c是性能优化之后的PEDOT:PSS薄膜的电子照片。图1d是不同处理阶段的薄膜的横截面处的扫描电子显微镜照片。很明显,相比于未处理薄膜(I),经过EG处理的薄膜(II)开始展现出一定的有序结构,而后续的H2SO4处理(III)则极大地强化了薄膜的结构有序性,最终的TDAE处理(IV)则基本不改变薄膜的微观结构。图1e是未处理、EG处理以及EG-H2SO4处理薄膜表面的XPS图谱。该图谱表明,EG和H2SO4处理均能使薄膜中的PSS含量大幅下降。然而考虑到XPS只能探测到样品表面10 nm内的元素信息,我们将样品用microtome削去表层,然后得到样品内部的XPS图谱,如图1f所示。显然,经过EG和H2SO4处理的样品内部的PSS含量要低于只经过H2SO4处理的样品内部PSS的含量,表明EG前处理对样品内部PSS的选择性祛除效应是有明显的积极效果的。图1g是未处理、EG处理以及EG-H2SO4处理薄膜的GI-XRD图谱。可以看到,EG处理在提升样品结构有序度并不明显,而后续的H2SO4处理则大幅度提升了样品结构的有序度。图1h是不同TDAE处理时间下,EG-H2SO4-TDAE处理薄膜的拉曼光谱。经过TDAE处理之后,薄膜拉曼光谱在1423 cm-1处的峰值变地更加尖锐,这是由于大量还原态在还原处理之后出现在薄膜内,因此TDAE处理的机理就是通过还原反应,调整PEDOT:PSS内过高的氧化程度,最终实现对其热电性能的优化。

图1. 探究PEDOT:PSS薄膜的优化性能以及内在机理
(a)未处理、EG处理以及EG-H2SO4处理薄膜的电导率和塞贝克系数;(b)不同TDAE处理时长对EG-H2SO4处理后的PEDOT薄膜的电导率、塞贝克系数以及功率因子的影响;(c)性能优化之后的PEDOT:PSS薄膜的电子照片;(d)不同处理阶段的薄膜的横截面处的扫描电子显微镜照片。(I)未处理薄膜(II)EG处理薄膜(III)EG-H2SO4处理薄膜(IV)EG-H2SO4-TDAE处理薄膜;(e)未处理、EG处理以及EG-H2SO4处理薄膜表面的XPS图谱;(f)未处理、仅H2SO4处理以及EG-H2SO4处理薄膜内部的XPS图谱在;(g)未处理、EG处理以及EG-H2SO4处理薄膜的GI-XRD图谱;(h)不同TDAE处理时间下,EG-H2SO4-TDAE处理薄膜的拉曼光谱。
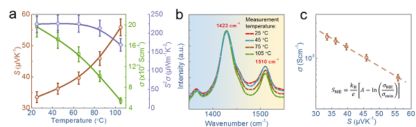
图2a是优化处理后PEDOT:PSS薄膜的热电性能随温度的变化曲线。薄膜的电导率随着温度升高而加速下降,与之相反,赛贝克系数则随之加速上升。为了研究其内在机理,我们获得了薄膜的加热原位拉曼光谱,如图2b所示,随着测试温度升高,1423 cm-1处的峰变地越加尖锐,说明温度的升高会导致薄膜内部氧化态数量的减少,因此直接导致电导率降低而赛贝克系数增高。进一步研究发现,经优化处理之后的薄膜电导率与赛贝克系数满足mobility edge模型,表明薄膜微观结构在经过优化处理之后具有高的有序性,载流子移动方式与其在金属内部相似。

图2.(a)优化处理后PEDOT:PSS薄膜的热电性能随温度的变化曲线;(b)优化处理后PEDOT:PSS薄膜的原位拉曼光谱;(c)PEDOT:PSS电导率与赛贝克系数之间的关系曲线
图3a是基于PEDOT:PSS的柔性有机热电器件的示意图。图3b是AM 1.5条件下海平面处的太阳辐照度(红)和360K温度下的黑体辐射力(蓝)。其中蓝色实线代表完美的太阳能吸收器的光谱吸收率。热稳态条件下,薄膜吸收的太阳能应与向外界环境的对流和辐射热扩散相等,理论计算结果得到PEDOT:PSS薄膜的温度分布云图如图3c所示。很显然,温度变化主要集中在一个小区间,其长度被定义为转变长度(transition length)。图3d-3f表明,在给定的自然对流系数和薄膜热导率条件下,转变长度只和厚度有关,与薄膜长度以及吸收器-薄膜面积比均无关。从器件设计角度而言,薄膜长度应尽可能地小,以减小其内阻,最大化输出功率,为了保证期间冷热两端温差,器件中采用的薄膜长度应当等于转变长度。

图3.柔性热电器件的设计细节(a)柔性有机热电器件的示意图;(b)AM 1.5条件下海平面处的太阳辐照度(红)和360 K温度下的黑体辐射力(蓝);(c)PEDOT:PSS薄膜的理论计算温度场。薄膜厚度为4 µm,热导为0.5 W∙m-1K-1,自然对流系数为10 W∙m-2∙K-1;(d)不同厚度的薄膜,(e)不同吸收器-薄膜面积比的薄膜,以及(f)不同长度的薄膜的一维温度分布曲线。
图4a是薄膜温度分布测试装置的电子照片。可以看到,在太阳照射下,薄膜的热端达到了78.7 ℃,而冷端只有34.2 ℃,只比附近的环境温度(32.8 ℃)稍高,因此其两端温差达到了44.5 ℃。图4b是理论计算得出的转变长度和最大输出功率密度与薄膜厚度的关系曲线。图中的公式即为经过计算机拟合得到的转变温度与薄膜厚度的经验公式。此外,薄膜最大输出功率密度与厚度关系不大。因此,从实际制作角度而言,稍微调整一下薄膜厚度,使最佳器件长度适中,将在不损害器件性能条件下,尽可能便于制备。图4c是实验测试得到的器件V-I曲线及其输出功率密度。显然,器件的最大输出功率密度接近3 µWcm-2,这一数据与以往的工作相比较表明,我们制作的热电器件非常具有性能优势。

图4. 实验结果与其他工作的对比(a)薄膜温度分布测试装置的电子照片;(b)理论计算得出的转变长度和最大输出功率密度与薄膜厚度的关系曲线;(c)实验测试得到的器件U-I曲线及其输出功率密度;(d)我们的器件模块的最大输出功率密度与其他工作的对比。
图5a是PEDOT:PSS旋涂薄膜和打印薄膜的环境稳定性测试比对结果,其中可以看到,旋涂薄膜在自然环境中放置30天之后,其内阻提高到原来的2.2倍,相比于旋涂薄膜,打印薄膜的环境稳定性非常出色,同样静置30天之后,其内阻也几乎没有发生变化。图5b是PEDOT:PSS旋涂薄膜和打印薄膜的机械稳定性测试比对结果,旋涂薄膜在进行1000次的弯曲测试之后,其内阻增大了7倍,可能是由于多次弯曲测试导致薄膜内部产生裂纹所致。与旋涂薄膜相比,打印薄膜则表现出了优良的机械稳定性,即便弯曲1000次之后,其内阻依旧没有太大变化。图5c和5d是PEDOT:PSS打印薄膜的热稳定性测试结果,该打印薄膜在多次加热冷却之后,其电性能依旧稳定不变,证明了该薄膜具备良好的热稳定性能。

图5.PEDOT:PSS薄膜的机械、环境以及热稳定性测试(a)PEDOT:PSS旋涂薄膜和打印薄膜的环境稳定性测试比对结果;(b)PEDOT:PSS旋涂薄膜和打印薄膜的机械稳定性测试比对结果;(c)和(d)PEDOT:PSS打印薄膜的热稳定性测试结果。
结论
我们采用一种新的性能优化策略,结合了EG前处理,H2SO4后处理和TDAE后处理,将打印PEDOT:PSS薄膜的室温功率因子提高到224 μW∙m-1∙K-2。我们的系统表征结果揭示这一优化过程源于EG和H2SO4处理对多余PSS的选择性祛除并提升了PEDOT:PSS薄膜微观有序度,而后续的TDAE处理则通过调整氧化程度的方式实现了薄膜功率因子的最优化。基于该优化薄膜,我们结合其温度场热计算结果,设计并制造出了一个热电器件模块,该模块采用太阳能为热源,通过光热电转换,最大输出功率密度约为3 μW∙cm-2,性能较以往诸多器件都更为优越。此外,PEDOT:PSS打印薄膜的环境、机械以及热稳定性测试结果表明该热电器件模块具备良好的环境、机械以及热稳定性,适用于真实的自然环境中。
论文链接:https://pubs.rsc.org/en/content/articlelanding/2020/ee/d0ee01895c/unauth#!divAbstract
https://doi.org/10.1039/D0EE01895C
作者介绍
陈志刚教授

陈志刚教授是澳大利亚南昆士兰大学能源学科讲席教授(Professor in Energy Materials),昆士兰大学荣誉教授,南昆士兰大学功能材料学科带头人。长期从事功能材料在能量转化的基础和应用研究。师从成会明院士和逯高清院士。2008年博士毕业后即成功申请到“澳大利亚研究理事会博士后研究员”职位,前往澳大利亚昆士兰大学机械与矿业学院工作,先后担任研究员,高级研究员,荣誉副教授,荣誉教授,后转入澳大利亚南昆士兰大学担任功能材料学科带头人,副教授(2016),教授(2018-),先后主持共计一千七百万澳元的科研项目,其中包括7项澳大利亚研究委员会、1项澳大利亚科学院、2项州政府、十数项工业项目和十数项校级的科研项目。在南昆士兰大学和昆士兰大学工作期间,共指导17名博士生和7名硕士研究生,其中已毕业博士生9名和硕士生4名。在Nat. Nanotech.、Joule、 Energy Environ. Sci.、Chem. Rev.、 Prog. Mater. Sci.、Nat. Commun.、Adv. Mater.、 J. Am. Chem. Soc.、Angew. Chem. Int. Edit.、Nano Lett.等国际学术期刊上发表250余篇学术论文, 19篇论文入选 “ESI高被引论文” 和3篇论文入选“ESI热点论文”。这些论文共被SCI引用14100余次,H-index达到59。
邹进教授介绍

邹进教授现任澳大利亚昆士兰大学的纳米科学讲席教授(Chair in Nanoscience),曾任澳大利亚电子显微学会秘书长,及澳大利亚昆士兰华人工程师与科学家协会副会长。邹进教授目前的研究方向包括:半导体纳米结构(量子点,纳米线,纳米带,超簿纳米片)的形成机理及其物理性能的研究;先进功能纳米材料的形成及其高端应用,尤其在能源,环保和医疗中的应用;固体材料的界面研究。邹进教授在 ISI (Web of Science)刊物上已发表学术论文 650 多篇,其多数论文发表在国际知名刊物上并被引用 30,000次, H-index达到75。邹进教授目前承担多项澳大利亚研究理事会的研究课题。
许声多博士研究生介绍

许声多博士研究生本科与硕士毕业于哈尔滨工业大学,目前就读于澳大利亚昆士兰大学,师从陈志刚教授与邹进教授,研究方向为高性能柔性热电材料与器件,目前以第一作者在Energy Environmental Science和Chemistry of Materials上发表两篇高水平研究论文。
本文由作者团队供稿。





