当前位置: 材料牛 » HTH官网地址 » 导读 » 上海交通大学江治等APPL. CATAL. B-ENVIRON.: 双缺陷工程策略实现高效光催化制氢

上海交通大学江治等APPL. CATAL. B-ENVIRON.: 双缺陷工程策略实现高效光催化制氢

太阳能光催化分解水制氢可将太阳能一步转换并储存为化学能,具有体系简单、低成本、易规模化的特点,被认为是值得挑战的最具发展潜力的制氢技术之一。但是光催化分解水过程涉及半导体捕光产生光生载流子、光生电荷/空穴分离与传输以及光生载流子参与表面催化反应等多个步骤的串行,是一个跨越多个时间尺度的复杂反应过程。由此带来了能带设计理论、载流子分离、界面能质转换等基础性科学难题的挑战。缺陷工程一直被认为是调控半导体光催化剂电子结构的重要手段。但是如何平衡结构缺陷对半导体光催化材料性能影响的两面性仍是一个亟待解决的问题。这种两面性主要体现在:某一类型缺陷能促进光催化反应中的特定步骤,但有时却会对其他步骤产生消极影响,从而不利于整体反应效率的提高。例如在半导体中构筑氧缺陷/氮缺陷已被证实能有效拓展光催化剂的可见光吸收范围,但是却常会牺牲部分载流子动力学,所以很多时候会导致全光段的光催化活性提高并不明显。因此需要合理的缺陷工程策略,对催化剂进行自下而上的设计,实现光催化制氢性能的提升。

图1. 双缺陷体系光催化性能与机理示意图

成果简介

近日,上海交通大学新能源动力研究所上官文峰团队的江治副教授与中国科学院上海微系统研究所刘啸嵩研究员和中国科学技术大学张群教授合作,基于已进入实审阶段的发明专利(一种掺杂石墨状氮化碳材料的制备方法,申请号CN201810890793.7),提出了一种通过气相扩散法在聚合物氮化碳(PCN)结构中构建均匀分布且种类和浓度可控缺陷的合成策略 (图1),设计合成了一系列具有不同浓度和配位结构的单位点铜(single site)和氮空位缺陷的PCN光催化剂。X射线软/硬吸收谱结合球差矫正电镜和飞秒瞬态吸收谱等实验手段证实:当PCN结构中存在高浓度氮空位缺陷时,表面σ键被更多破坏,导致了π键与σ键的比值出现上升,并形成具高配位数的单位点铜(图2),进而带来碳氮平面结构扭曲、增加光生电子散射的概率,因此高浓度体相氮缺陷虽然可有效拓展PCN的可见光吸收范围,却会导致载流子动力学性能明显下降(图3)。气相升华法为同时精确降低氮空位缺陷和单位点Cu浓度提供了机会。可在PCN中形成以C-N=C中π键断裂为主的构型,单位点Cu2+可通过与π键断裂后的N原子间的相互作用,与N原子配体间形成较低配位数结构(~2),使得光生电子通过新形成的Cu-N键变得更加离域化(图2)。上述结构有效解决了C-N=C中π键断裂带来的光生电子局域化问题,因此既能通过表面氮空位缺陷造成的子能级吸收拓展PCN的可见光吸收范围至550nm,又调节了电子传输行为,维持了载流子动力学(图3),促进了PCN光催化剂在全光段(350<λ<780 nm) (4.5倍)、可见光段(420<λ<780 nm) (4.5倍)、紫外段(200<λ<400 nm)( ~2倍)光催化制氢反应活性的大幅提升,并实现了浅黄色PCN在500 nm可见光段9.7%的表观量子效率。

图1

双缺陷PCN合成原理图

图2

(a) 双缺陷PCN以及对比样品氮 K边的TEY谱

(b) Cu K边 XANES谱

(c) Cu K边EXAFS谱傅里叶变换后结果

(d) 双缺陷PCN球差校正电镜图

图3

双缺陷PCN以及对比样飞秒瞬态吸收谱结果

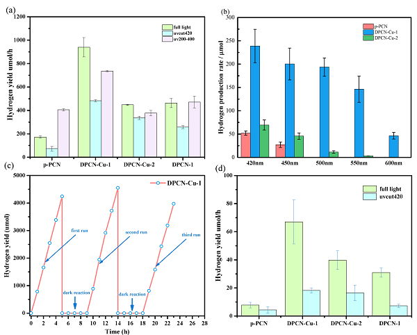
图4

(a) 全光段(350<λ<780 nm)、可见光段(420<λ<780 nm)、紫外段(200<λ<400 nm),光催化制氢活性

(b) 特定单波长下的光催化制氢活性

(c) 双缺陷全光段下稳定性测试

(d) 不加助催化剂情况下的双缺陷体系全光段、可见光段制氢活性

结论

针对在光催化剂中构筑的单缺陷往往不能同时提高光催化反应中多步骤串行反应效率的难题,本文提出了一种双缺陷工程策略,基于气相扩散方法在PCN结构中同时构筑了浓度和种类可控的氮空位缺陷和单位点铜缺陷。其中PCN中的氮空位缺陷能有效拓展PCN光催化剂的可见光吸收范围,单位点铜则通过与氮原子间的协同作用显著增强了光生电子-空穴对的分离和传输,维持了载流子动力学,从而实现了高效光催化制氢。上述工作为从原子水平理解和优化缺陷工程策略,从而实现高效人工光合作用提供了新的研究思路。

上述研究得到自然科学基金委、国家重点研发项目等项目和上海交通大学氢科学中心研究中心的资助。

文献链接

Efficient visible light photocatalysis enabled by the interaction between dual cooperative defect sites

Applied Catalysis B: Environmental, 2020, 119099

https://doi.org/10.1016/j.apcatb.2020.119099

本文由材料人编辑部整理。

未经允许不得转载:材料牛 » 上海交通大学江治等APPL. CATAL. B-ENVIRON.: 双缺陷工程策略实现高效光催化制氢

相关文章

Baidu
map