【引言】
近年来,电力存储技术在先进的电子和电力系统中起着至关重要的作用,许多先进的电子设备要求同时具有高能量和功率密度的能量存储,例如大功率微波,电磁设备和混合电动汽车。介电陶瓷被认为是这些储能应用中最有前途的材料之一,因为与电化学电池相比,它们的快速充电和放电能力以及与介电聚合物相比的高温稳定性。然而,介电陶瓷的相对较低的能量密度,比电池的能量密度低一到两个数量级,这极大地阻碍了介电陶瓷在能量存储装置中的大规模应用。介电电容器的能量密度由电场感应的极化和击穿电场控制。在所有介电陶瓷中,钙钛矿结构的弛豫铁电材料被认为是储能应用中最有希望的候选材料之一,这源自于它们在去除电场后表现出高电场感应极化和低残留极化。根据对钙钛矿介质的储能密度的研究,击穿电场是能量密度水平的重要指标,即更高的击穿强度导致更大的能量存储密度。通常,介电陶瓷的击穿强度与各种晶粒和孔隙的复杂电、热和机械相互作用有关。在材料厚度方面,介质的击穿强度随陶瓷厚度的减小呈指数增长。因此,减小厚度是增强电介质的击穿强度和能量密度的可行方法。然而,尽管厚度在纳米到亚微米尺度的介电薄膜表现出超高的击穿强度和能量密度,但是由于薄膜的体积小,使得它们能量容量很低。因此,薄膜可能无法满足许多需要高能量水平的电子设备的要求。另外,为了实现高击穿强度和大体积,通常将储能电介质制成多层电容器,该电容器由许多薄陶瓷层(~20-60μm)平行堆叠并通过端子表面连接而成。然而,两种方法都降低了电场感应的极化,导致能量密度的改善有限。此外,从力学的角度来看,外加电场引起的应变和弹性能对介电陶瓷的机电击穿强度有很大的影响,钙钛矿陶瓷被认为是脆性固体,因此容易在拉伸应变下产生微裂纹,这可能会大大增加介电陶瓷的击穿概率。对于用于储能的多层陶瓷电容器(MLCCs),施加的电场相当高,在~20-60 MV m-1的范围内,其中感应极化大于0.6 C m-2。因此,为了进一步提高钙钛矿陶瓷的能量密度,迫切需要寻找降低场致应变的策略。
近日,西安交通大学李飞教授,哈尔滨工业大学常云飞副教授和澳大利亚伍伦贡大学张树君教授(共同通讯作者)提出一种通过控制晶粒取向来增加击穿电场,从而提高多晶陶瓷的储能密度。具体来讲,作者采用模板晶粒生长法来制备具有高质量的<111>织构的Na0.5Bi0.5TiO3-Sr0.7Bi0.2TiO3(NBT-SBT)陶瓷。首先是微米级大纵横比的板状模板的选择和制造,研究人员合成了Ba6Ti17O40,其具有层状结构,同时其层平行于氧八面体的表面。随后通过两步拓扑化学微晶转化,将Ba6Ti17O40通过<111>取向的BaTiO3微板转变为<111>取向的SrTiO3微板。最后通过流延技术制造了<111>织构和非织构的NBT-SBT多层陶瓷,其中包括十个带有内部Pt电极的NBT-SBT层。其中电场感应的应变大大降低,从而降低了故障概率并提高了威布尔击穿强度,约为103 MV m-1,比随机取向的同类陶瓷提高了约65%。同时,<111>织构化的NBT-SBT多层陶瓷的可恢复能量密度高达21.5 J cm-3,优于最新的介电陶瓷。本研究提供了一种可设计出具有更高击穿强度的介电陶瓷的途径,并有望推动具有高击穿强度的介电陶瓷的广泛应用,诸如高压电容器和电热固态冷却装置。相关研究成果以“Grain-orientation-engineered multilayer ceramic capacitors for energy storage applications”为题发表在Nature Materials上。
【图文导读】
图一、MLCC单层应变和弹性能分布的有限元模拟
(a)MLCC和MLCC中的单个陶瓷层的示意图;
(b)<100>,<110>和<111>取向的钙钛矿样品的局部位移(沿施加的电场方向);
(c)<100>,<110>和<111>取向的钙钛矿样品的冯米塞斯应力的局部分布;
(d)<100>,<110>和<111>取向钙钛矿样品的局部弹性能密度。在模拟中施加的电场为70 MV m-1。
图二、<111>取向SrTiO3模板的制备过程
(a)Ba6Ti17O40的晶体结构示意图;
(b)Ba6Ti17O40的SEM图像;
(c)Ba6Ti17O40的XRD图谱;
(d)<111>取向的BaTiO3的晶体结构示意图;
(e)<111>取向的BaTiO3的SEM图像;
(f)<111>取向的BaTiO3的XRD图谱;
(g)<111>取向的SrTiO3的晶体结构示意图;
(h)<111>取向的SrTiO3的SEM图像;
(i)<111>取向的SrTiO3的XRD图谱。
图三、NBT-SBT多层陶瓷的织构
(a)织构为<111>的NBT-SBT MLCC的断裂表面(横截面)的SEM图像;
(b)未织构的NBT-SBT MLCC的断裂表面(横截面)的SEM图像;
(c,d)织构为<111>的NBT-SBT多层陶瓷及其非织构陶瓷的X射线衍射图;
(e,f)使用SEM-EBSD技术测量了<111>织构NBT-SBT多层陶瓷及其非织构陶瓷的晶粒取向;
图四、<111>织构和非织构NBT-SBT多层陶瓷的电场诱导应变,击穿强度和储能性能的综合比较
(a)两种陶瓷在10 Hz测量的单极P-E曲线;
(b)两种陶瓷的应变与电场曲线;
(c)击穿电场的威布尔分布;
(d,e)可恢复的能量密度和效率与电场的函数;
(f)<111>织构NBT-SBT多层陶瓷和最先进的介电陶瓷的能量密度比较。
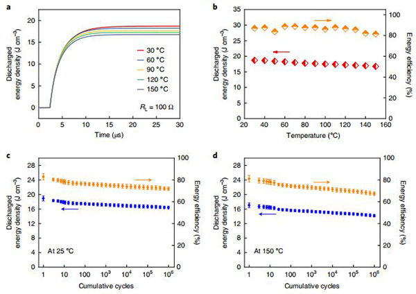
图五、<111>织构的NBT-SBT多层陶瓷的充放电性能随温度和电场周期的变化
(a)在不同温度下的能量放电行为(充电电场为100 MV m–1);
(b)放电能量密度和效率随温度的变化而变化;
(c)在25°C下的放电能量密度和效率;
(d)在150°C下的放电能量密度和效率。
【小结】
总而言之,作者提出了一种工程化晶粒取向的策略,以大大提高钙钛矿型介电陶瓷的击穿强度,从而在<111>织构的NBT-SBT多层陶瓷中实现了约21.5 J cm-3的储能密度,这些织构化的MLCC对大功率储能应用具有实际意义。所提出的策略也可以应用于广泛的功能陶瓷,其中需要高击穿电场来扩大熵的变化,用MLCCs进行电热固态冷却。此外,本文报道了直接从BaTiO3前驱体合成<111>取向SrTiO3微孔板的途径,这为微/纳米级钙钛矿材料的制备开辟了一条替代途径。
文献链接:“Grain-orientation-engineered multilayer ceramic capacitors for energy storage applications”(Nature Materials,2020,10.1038/s41563-020-0704-x)
本文由材料人CYM编译供稿。





