【文章亮点】
1、在SiOx微米颗粒上设计并构建了具有动态稳定的界面。
2、利用高弹性界面维持循环过程中微米SiOx颗粒的结构完整性。
3、完整的界面有效地避免了SEI的不可控生长。
4、动态稳定界面构筑的SiOx负极具有优异的电化学性能。
【背景介绍】
锂离子电池(LIBs)作为清洁能源存储技术的代表,近年来被广泛用于传统的消费电子和新兴的电动汽车等领域。但随着能源危机和环境污染问题日益严重,LIBs的能量密度需要进一步提升。在负极材料方面,虽然硅基负极比传统石墨负极具有更高的理论比容量,但是硅基负极存在充放电过程体积变化大、电子导电性差和锂离子迁移缓慢等问题从而导致界面不稳定、颗粒粉化失去电接触,最终造成电池容量严重衰减。目前,相关的解决方案(如纳米化)通常带来巨大的比表面积、复杂的制造工艺等问题,容易引发过多的副反应、电解液的额外消耗、较低的首次库仑效率(ICE)等问题。微米级电极材料(如商用石墨等)由于具有低的比表面积、化学稳定性好、易加工性等优势,更易满足LIBs产业化应用过程中的要求。在硅基负极材料中,SiOx(x≈1)在首次锂化过程中会原位形成氧化锂和硅酸锂,有助于在后续充放电过程中缓冲巨大的体积变化而受到广泛关注。但相比于纳米级颗粒,微米级SiOx颗粒具有更大的绝对体积变化和更长的Li+/e–传输距离,在多次充放电循环后仍会发生颗粒粉化。因此,如何保持微米SiOx颗粒的动态完整性并提高其Li+/e–电导率对于硅基负极的实际应用至关重要。
【成果简介】
基于上述背景,中国科学院化学研究所的郭玉国研究员团队报道了一种在碳包覆的微米级SiOx颗粒(SiOx/C,壹金新能源HTH官网地址 有限公司提供)表面构筑柔性聚丙烯酸锂(Li-PAA)保护层且均匀嵌入导电碳纳米管(CNTs)的方法,提高了SiOx/C颗粒在充放电过程中的界面稳定性和颗粒完整性。其中,柔性的Li-PAA界面保护层由于具有高的拉伸系数(可拉伸至582%),在SiOx/C颗粒的嵌脱锂过程中能够适应其界面变化而维持颗粒的界面稳定性和颗粒的动态完整性,同时Li-PAA能够在充放电过程中提供均匀的Li+传输界面。在Li-PAA界面中均匀嵌入的CNTs提供了快速的电子传输通道,进而确保所包覆的微米颗粒具有优异的电子导电性。得益于动态稳定整体界面的构筑,在重复的充放电循环中可以有效抑制SEI的不可控生长以及颗粒的粉化问题,从而显著提高复合材料的循环稳定性。在半电池中循环500次后,SiOx/C负极的可逆比容量从无界面保护的458 mA h g-1提升到有界面保护的836 mA hg-1(C-SiOx/C),是商用石墨负极理论比容量(372 mA h g-1)的两倍以上。因此,经过具有动态稳定的界面包覆以后,微米级SiOx颗粒有望成为可实际应用的高性能硅基负极材料。研究成果以“An integral interface with dynamically stable evolution on micron-sized SiOx particle anode”为题发表在国际知名期刊Nano Energy上。
通讯作者是徐泉博士和郭玉国研究员,第一作者是博士生李阁。

TOC
【图文解读】
图一、微米级C-SiOx/C颗粒的制备过程及包覆前后材料的表面形貌对比
(a)C-SiOx/C微米颗粒的制备过程示意图;
(b-d)SiOx/C微米颗粒的SEM图像;
(e-g)C-SiOx/C微米颗粒的SEM图像。
材料的制备过程如图a所示,在SiOx/C微米颗粒表面首先吸附阳离子型聚合物电解质PDDA(聚二甲基二烯丙基氯化铵),使颗粒表面ζ电势为正,然后通过静电自组装把表面电势为负的CNTs和Li-AA吸附在微米颗粒的表面,然后引发Li-AA的聚合,形成Li-PAA的包覆层且CNTs均匀嵌入其中。从包覆前后材料的表面形貌对比可以看出,未经过包覆的材料表面平整(图b-d),而经过包覆以后,CNTs均匀地附着在微米颗粒表面(图e-g)。
图二、微米级C-SiOx/C颗粒的结构表征
(a-b)C-SiOx/C微米颗粒的TEM图像;
(c)C-SiOx/C微米颗粒的高分辨率TEM图像;
(d)C-SiOx/C微米颗粒的TEM图像以及C、Si和O的EDS元素分布图;
(e-g)C-SiOx/C负极上Li(绿色)和Si(红色)元素的ToF-SIMS元素分布图。
通过材料的透射电镜照片、高分辨透射电镜照片(图a-c)可以看出,微米级C-SiOx/C颗粒表面存在均匀的聚合物包覆层,且CNTs均匀地嵌入其中。从材料的透射电镜元素分布图(图d)可以看出,Si和O的信号集中于SiOx颗粒的位置,而C信号区域明显大于Si和O的信号区域,证明了上述Li-PAA包覆和CNTs均匀嵌入的结构。从极片的ToF-SIMS测试结果(图e-g)可以看出,Li元素与Si元素能实现较好的重叠,证明经过制浆涂布等过程处理后包覆结构仍能在材料表面稳定存在。
图三、利用XRD、FTIR、TGA以及XPS表征微米级C-SiOx/C颗粒的界面和内部组成
(a-b)SiOx/C、C-SiOx/C和Li-PAA的XRD图谱和FTIR光谱;
(c)SiOx/C和C- SiOx/C的TGA曲线;
(d)SiOx/C和C- SiOx/C的XPS全谱图;
(e-f)SiOx/C和C- SiOx/C的Li 1s、N 1s和C 1s的XPS光谱。
从微米级C-SiOx/C颗粒的XRD衍射图谱(图a)中可以看出,经过Li-PAA包覆以后,Si的衍射峰强明显减弱;而红外光谱中出现了-COOH与-COOLi的吸收峰(图b);热重曲线中出现了对应于Li-PAA分解和碳的氧化的两段失重(图c);XPS光谱全谱中O信号增强,Si信号减弱,Li 1s谱和N 1s谱中出现了Li和N的信号,C谱中对应COOR的峰明显增强,均表明材料表面形成了均匀地Li-PAA包覆(图d-f)。
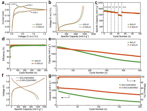
图四、微米级C-SiOx/C颗粒的电化学性能
(a)Li||SiOx/C和Li||C-SiOx/C的首圈循环的CV曲线;
(b)Li||SiOx/C和Li||C-SiOx/C在0.2 C时的首次充放电曲线;
(c)Li||SiOx/C和Li||C-SiOx/C的倍率性能;
(d)Li||SiOx/C和Li||C-SiOx/C的库伦效率和循环性能;
(f-g)SiOx/C||NCM622和C-SiOx/C||NCM622全电池的首次充放电曲线、循环性能和库仑效率。
由于界面保护层的引入,C-SiOx/C的首次充电比容量有略微的降低(图b),但由于界面稳定性的提升,首圈CV曲线中对应于生长SEI的宽峰明显减弱(图a),用于生长SEI的容量也有相应减少;同时,C-SiOx/C的后续库伦效率得到快速提升(图d),由于CNTs的均匀嵌入,包覆前后的倍率性能没有明显的区别(图c);但由于C-SiOx/C微米颗粒的颗粒完整性和界面稳定性得以提升,材料的循环性能得到了明显的提升(图e);在全电池中,有效循环的活性锂离子的数量是有限的,得益于更稳定的表界面,C-SiOx/C微米颗粒中用于生长SEI消耗的不可逆锂离子的数量减少,因此全电池的放电比容量和循环稳定性都有大幅度提升。
图五、全电池中微米级SiOx/C和C-SiOx/C颗粒的结构变化
(a-b)SiOx/C和C-SiOx/C的嵌脱锂过程示意图;
(c-e)全电池中经过200次循环后SiOx/C负极的半原位SEM图像;
(f-h)全电池中经过200次循环后C-SiOx/C负极的半原位SEM图像。
在全电池中循环200次以后,极片表面的颗粒状态如图c-h所示。没有动态稳定界面保护的SiOx/C颗粒经过200次充放电循环以后粉化碎裂严重,极片上已不能分辨出微米颗粒的存在(图c-e);而经过动态稳定界面保护的C-SiOx/C颗粒经过200次充放电循环以后,虽然内部也出现了碎裂的情况,但微米颗粒仍然保持为一个整体,极片上还可以清晰分辨出微米颗粒的存在(图f-h)。因此,包覆前后颗粒的充放电过程可以用示意图a-b表示,刚性碳包覆的SiOx/C微米颗粒经过多次膨胀和收缩以后碳层和材料均会出现严重的碎裂和粉化,而经过动态稳定的界面保护的颗粒经过多次膨胀和收缩以后虽然内部发生了碎裂,但是颗粒仍然保持为整体,保证了材料的界面稳定性。
【小结】
综上所述,本文开发了一种可在微米级SiOx颗粒表面构筑具有动态稳定整体界面的原位聚合方法,用来解决其作为高性能LIBs负极时面临的问题。柔性Li-PAA界面可提供均匀的Li+传输层,同时由于高的拉伸系数还可将粉碎的颗粒粘结在一起而不会发生颗粒的粉化,因此可以保持结构完整性并抑制SEI的连续生长。均匀嵌入的CNTs可与SiOx/C颗粒表面的碳包覆层保持紧密接触,从而确保制备的微米级C-SiOx/C颗粒具有优异的电子导电性。得益于具有动态稳定的整体界面,微米级C-SiOx/C颗粒可有效解决硅基材料不稳定的表界面问题,在半电池和全电池中都表现出优异的循环稳定性和倍率性能。此外,这种原位聚合方法可以扩展到其它具有巨大体积变化和粉化问题的电极材料中。
相关技术已导入中科院化学所成果转化基地—江西壹金新能源HTH官网地址 有限公司。
文献链接:An integral interface with dynamically stable evolution on micron-sized SiOx particle anode (Nano Energy, 2020, DOI:10.1016/j.nanoen.2020.104890)
通讯作者简介
郭玉国,中科院化学所研究员,中国科学院大学岗位教授,博导,中科院分子纳米结构与纳米技术重点实验室副主任。主要从事能源电化学与纳米材料的交叉研究,在高比能锂离子电池、锂硫电池、固态电池、钠离子电池等化学电源体系及其关键材料方面取得一些研究成果,致力于推动基础研究成果的实际应用,开发出的高性能硅基负极材料通过壹金新能源公司实现了产业化。发表论文300余篇,出版英文专著1部,他引超过32000次,h-index为96,连续六年被科睿唯安评选为全球“高被引科学家”。申请国际PCT和中国发明专利100余项,获外国和中国发明专利授权80余项,成果转化多项。近年来主持承担国家重点研发计划项目、973项目课题、国家杰青基金、重点基金、中科院战略先导课题、北京市科委及企业的横向项目。曾荣获中国青年HTH官网地址 奖、中国科学院青年科学家奖、国际电化学会ISE Tajima Prize、国际能量存储与创新联盟青年成就奖、国际电化学能源科学院卓越研究奖等奖励与荣誉。现兼任中国化学会青年化学工作者委员会副主任、中国化学会电化学委员会委员和“化学电源”分会主席、中国硅酸盐学会固态离子学分会理事和副秘书长,ACS Applied Materials & Interfaces副主编,《中国科学:化学》、Nano Research、Energy Storage Materials、ChemElectroChem、Solid State Ionics、《电化学》等10余种期刊的编委。
本文由CQR编译。
欢迎大家到材料人宣传HTH官网地址 成果并对文献进行深入解读,投稿邮箱:tougao@cailiaoren.com.
投稿以及内容合作可加编辑微信:cailiaokefu.





