【引言】
氢气(H2)具有清洁能源的优势,其能量密度高达120-140 MJ kg−1。析氢反应(HER)代表着高效的电转化途径,然而在没有合适催化剂的情况下,高过电位往往导致低效率。尽管人们已经做出了巨大的努力来寻找价格低廉且可用于HER的非贵金属催化剂,但遗憾的是,由于Pt表面瞬时吸附H*的自由能变化值几乎为零,因此没有一种催化剂能胜过低过电位和快速动力学的Pt。考虑到地球上Pt的低丰度,构建异质Pt基纳米催化剂已成为一种趋势,以最大限度地提高活性和耐久性,同时尽量减少Pt资源的使用。由于纳米/原子Pt的导电性和化学稳定性好,其经常用碳基材料作为载体(由碳材料的导电性和化学稳定性好,其经常用于纳米原子Pt的载体),这些碳基材料包括但不限于炭黑、石墨烯、多孔碳等。然而,这些化学惰性碳基材料无法通过湿法化学方法还原Pt阳离子,这就需要额外的还原剂或复杂的后处理工艺来制备Pt/C电催化剂。最近,已发现一种(类)新的2D材料MXenes,已被确定具有高导电性、亲水性和可还原性。第一性原理计算和实验结果表明,Ti3C2Tx MXene的低逸出功使贵金属阳离子自发还原成金属纳米粒子,而不需要额外的还原剂或后处理。除高活性外,基于Pt族金属的电催化剂必须具有长期的耐用性才能用于实际应用。用于HER的Pt基金属通常使用聚合物粘结剂(如Nafion)固定在载体表面上。然而,这些绝缘聚合物粘合剂会阻塞活性位点,抑制离子扩散,增加电子转移电阻。单壁碳纳米管(SWCNTs)具有出色的导电性,但很少用作HER催化剂的导电粘结剂。
【成果简介】
近日,在中科院金属研究所王晓辉研究员团队等人(通讯作者)带领下,与美国劳伦斯伯克利国家实验室和郑州大学合作,提出了构建用于HER催化剂的分层(建议改为多级,下同)Pt-MXene-SWCNTs异质结构的方案。在异质结构中,高活性纳米/原子级金属Pt被固定在Ti3C2Tx MXene薄片(MXene@Pt)上,并与导电SWCNTs网络相连接。通过过滤含有MXene@Pt和SWCNTs的混合胶体悬浮液,构建分层异质结构。利用MXene的亲水性和还原性的优势,MXene@Pt胶体悬浮液是通过自发地将Pt阳离子还原成金属Pt制备的,而不需要额外的还原剂或后处理。如此制成的薄膜状分层HER催化剂在800小时的运行过程中显示出高稳定性,在-50 mV vs. RHE下,其容量电流密度高达230 mA cm-3,在-10 mA cm-2的电流密度下,其过电位低至-62 mV vs.RHE。该解决方案提供了一种简单、高效、可扩展的方法来构建稳定、高效的HER催化剂。考虑到分层Pt-MXene-SWCNTs异质结构的性质和结构-活性关系,其他MXenes可能在HER电催化中显示出更大的潜力。相关成果以题为“Ultrastable MXene@Pt/SWCNTs’ Nanocatalysts for Hydrogen Evolution Reaction”发表在了Adv. Funct. Mater.上。
【图文导读】
图1 Ti3C2Tx MXene胶体悬浮液和MXene@Pt/SWCNTs纳米催化剂的制备示意图
a)Ti3C2Tx MXene胶体悬浮液的制备示意图。
b)MXene@Pt/SWCNTs纳米催化剂的制备示意图。
图2 形貌表征和元素分析
a)几层亚微米Ti3C2Tx纳米薄片的TEM图像。
b)Ti3C2Tx@5Pt的TEM图像。
c)MXene @5Pt的HAADF-STEM图像。
d)Ti、C、Pt和O的对应元素分布图。
e)Ti3C2Tx@5Pt的原子级HAADF-STEM图像。
f)Pt纳米颗粒的粒度分布。
g)在Ti3C2Tx@5Pt上观察到单个Pt原子。
h)尖端-探针超声处理后SWCNTs的TEM图像。
i)SWCNTs薄膜的SEM图像。
图3 薄膜的高低倍SEM表征
a)S-M,c)S-M-1Pt和e)S-M-5Pt的高倍SEM图像。
b)S-M,d)S-M-1Pt和f)S-M-5Pt的低倍SEM图像。
图4 制备样品的XPS分析
a)Ti3C2Tx、Ti3C2Tx@1Pt和Ti3C2Tx@5Pt的光谱图。
b-d)Ti2p区域中的b)Ti3C2Tx、c)Ti3C2Tx@1Pt和d)Ti3C2Tx@5Pt。
e)Ti3C2Tx@1Pt和Ti3C2Tx@5Pt的Pt 4f峰。Pt 4f的结合能位于72.0和75.3 eV,并向高于Pt0的方向移动。
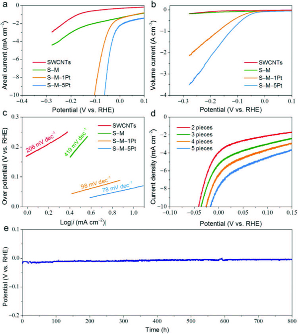
图5 制备的催化剂的HER催化性能
a)电流密度与电位的极化曲线。
b)体积电流与电位的极化曲线。
c)制备的催化剂的塔菲尔曲线。
d)多层S-M-5Pt的LSV曲线。
e)5个S-M-5Pt在-10 mA cm-2的电流密度下运行800 h的长期运行稳定性。
图6 制备的催化剂的动力学研究
a-e)在-50 mV vs.Ag/AgCl和vs.RHE电位下,a)SWCNTs、b)S-M、d)S-M-1Pt和e) S-M-5Pt的EIS光谱
c)赝电容行为的等效电路图
f)HER行为的等效电路图。在没有Pt的情况下,S-M表现出赝电容行为,而在-50 mV vs.RHE下,存在Pt物质的情况下,S-M-1Pt和S-M-5Pt表现出HER行为。
【小结】
综上所述,利用Ti3C2Tx MXene在还原铂络合物离子后仍保持其物理化学性质的特殊特性和作为导电粘结剂的SWCNTs,构建了分层Pt-MXene-CNTs异质结构作为高性能HER催化剂。以薄膜的形式制备的分层HER催化剂在800 h的运行过程中表现出很高的稳定性,在-50 mV vs.RHE时,其高容量电流密度可达230 mA cm-3,在-10 mA cm-2时,其低过电位为-62 mV vs. RHE。本研究中使用的溶液处理方法提供了一种简单、高效且可扩展的策略,用于构建纳米/原子级贵金属在MXene上固定化的(锚固在MXene上的)催化剂,SWCNTs同时作为粘结剂和集电体。该方法不仅为合成Pt基催化剂提供了策略,而且为进一步探索和设计基于贵金属固定化(锚固)MXene/CNT复合材料的高效催化剂或传感器铺平了道路。
文献链接:Ultrastable MXene@Pt/SWCNTs’ Nanocatalysts for Hydrogen Evolution Reaction(Adv. Funct. Mater., 2019,DOI:10.1002/adfm.202000693)
本文由木文韬翻译,材料牛整理编辑。
欢迎大家到材料人宣传HTH官网地址 成果并对文献进行深入解读,投稿邮箱tougao@cailiaoren.com。





