【研究背景】
具有超高理论能量密度的锂氧气电池引起了科学界越来越多的关注,被认为是下一代新型储能设备的重要组成之一。然而,其放电产物不导电特性和三相接触界面(电解质/O2/阴极)滞后的氧还原与氧析出反应导致电池转化效率低,循环寿命短,比容量远低于理论值。在锂氧气电池的正极,放电产物的形成分解机理与相貌演变会受到电流密度、电解液与材料催化特性影响。因此,设计其具有优化微观结构和催化活性的正极催化剂时解决以上问题的一个关键。
复合金属氧化物因其优异的催化性能、多样的电子结构、易调控的微观形貌、绿色环保、储量丰富,已经在能源、催化、电磁等领域得到广泛的研究。对于锂空气电池正极催化材料,调控材料组成和电子结构能对放电产物的形成和分解机制与其电化学性能产生巨大影响。同时,正极催化材料的微观形貌对锂氧气电池性能也有很大影响。迄今为止、已有钙钛矿、尖晶石与白钨矿等结构的复合氧化物被用于锂氧气电池正极催化材料。尖晶石结过复合氧化物表现出了较高的催化活性。然而其催化活性的关键影响因素与性能调控机理还未有系统报道。
【成果简介】
近日,山东大学党锋教授和复旦大学孔彪教授团队(共同通讯作者)合作报道了一种通过超级组装策略构建的三维多级孔结构NiFeO尖晶石材料,以期获得优异的锂氧气电池催化剂。NiFeO尖晶石材料最终获得了23413 mAh g-1的高比容量,在1000与500 mA g-1大电流密度、设定容量1000与2000 mAh g-1的条件下,稳定循环 193与300个周期的优异循环能力。通过对材料低倍率与高倍率电流条件下放电产物演化的原位质谱(DEMS)分析以及XRD,XPS,SEM对不同催化阶段的非原位分析,结合NiFeO催化材料本身表面元素分布、价态与内部晶体结构的变化规律,发现八面体填充占主导地位的尖晶石结构可以提供稳定的多晶结构和优化的电子特性,从而为复杂的电极反应提供有效活性位点,主导了放电产物的形成和分解。此外,NiFeO的多级孔结构不仅为为放电产物提供了足够的容纳空间,而且有效促进了离子和物质传输,从而极大地改善了正极催化性能。上述研究成果为设计和开发具有高性能、低成本的锂氧气电池正极催化剂开辟了一个新的视角。相关研究成果以“Superassembly of Porous Fetet(NiFe)octO Frameworks with Stable Octahedron and Multistage Structure for Superior Lithium-Oxygen Batteries”为题发表在国际著名期刊Adv. Energy Materials (Adv. Energy Mater. 2020, 1904262)上。
【图文导读】
图一 超组装NiFeO材料的合成示意图

图二 NiFeO材料的形貌结构和结晶特征的表征

(a) NiFeO的SEM图像。
(b) NiFeO的EDS图像。
(c) NiFeO的TEM图像。
(d) NiFeO的HR-TEM和SAED图像。
(d)一系列NiFeO样品的XRD图谱。
(f) NiFeO的氮吸附/脱附等温线和孔径分布图。
图三 NiFeO材料的电子结构和晶体示意图

(a) Fe 2p的XPS和价态对比图谱。
(b) O 1s的XPS图谱。
(c) NiFeO的精修Rietveld XRD图谱。
(d) NiFeO样品的拉曼分布图。
(e)单位晶胞结构示意图。
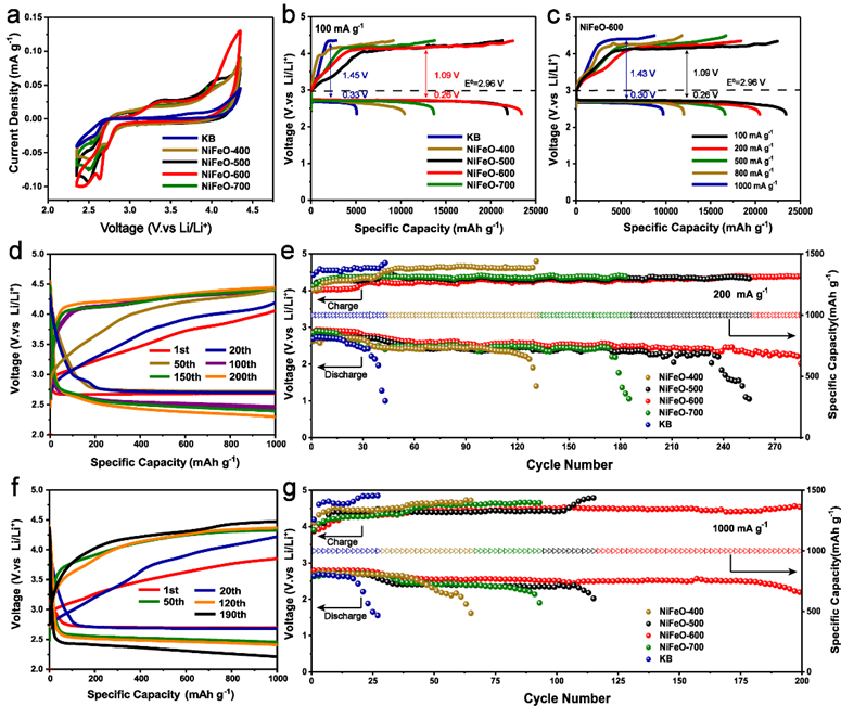
图四 NiFeO材料的电化学性能

(a) 2.35-4.35 v电压窗口,扫描速率为0.1 mV s-1的不同阴极的循环伏安曲线。
(b)不同电极在100 mA g-1电流密度下的比容量对比。
(c) NiFeO-600电极的倍率能力。
在电流密度为(d) 200 mA g-1和(f) 1000 mA g-1,比容量为1000 mAh g-1下, NiFeO-600电极的恒流放电/充电曲线。
在电流密度为(e) 200 mA g-1和(g) 1000 mA g-1,比容量为1000 mA h g-1下不同电极的恒流放电/充电循环数和相应的终端电压的比较。
图五 NiFeO材料充放电过程中产物的表征

(a) NiFeO-600电极在第一次放电结束时的SEM图像。
(b) NiFeO-600处于状态Ⅱ(对应图d)的HR-TEM图像。
(c) NiFeO-600电极在不同电流密度下不同放电/充电阶段的XRD图谱。
(d) NiFeO-600电极在1000mA g-1的电流下的放电-充电曲线,限制容量为2000 mAh g-1。
(e-h) 分别对应于(d)中 (Ⅰ-Ⅳ)的不同状态下NiFeO-600电极Li 1s的XPS光谱。
图六 NiFeO材料充放电过程中产物的表征

(a)原位电化学质普(DEMS)测试锂氧气电池的原理图。
(b) NiFeO-600电极充电曲线和DEMS图谱。
(c)超组装NiFeO催化机理示意图。
【小结】
综上所述,本工作制备了一种超组装三维多级孔结构尖晶石结构NiFeO作为锂氧气电池正极催化剂,获得了性能优异的大倍率长循环性能。其中大的比表面积和多级孔结构有利于物质传输并为放电产物提供存储场所。通过探究反应机理,提出尖晶石结构中,合适的双金属离子对的选择、八面体位置的离子填充率、材料表面元素分布与价态分布是获得高性能锂空气电池正极催化性能的关键,并为后续尖晶石结构锂空气电池正极催化剂研发提供了理论支撑。
文献链接: Superassembly of Porous Fetet(NiFe)octO Frameworks with Stable Octahedron and Multistage Structure for Superior Lithium-Oxygen Batteries. Adv. Energy Mater., 2020, DOI:10.1002/aenm.201904262.





