【锂离子电池】
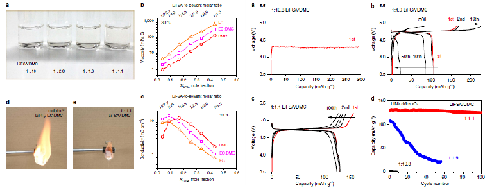
日本东京大学Atsuo Yamada组[1, 2]报道了可以解决当前常规电解液用于下一代5V级锂离子电池不稳定这一难题的电解液设计。通过将稳定的锂盐LiN(SO2F)2(LiFSI)与极高浓度的碳酸二甲酯混合,得到了一种不寻常的电解液,它显示出阴离子和与Li+离子强烈配位的溶剂分子的三维网络。这种简单的超浓缩LiN(SO2F)2/碳酸二甲酯(DMC)电解液配方可在约5V的电压下抑制铝和过渡金属的溶解,并实现了具有出色循环寿命、高倍率性能的高压LiNi0.5Mn1.5O4/石墨电池,同时具有较好的安全性能,如图1所示。
图1. 不同LiFSI/DMC比例的电解液的物理特性和电化学性能。

美国马里兰大学王春生教授和美国陆军学院许康研究员通过设计独特的超浓缩的非均质电解液的方法来最大程度地减少了水系锂离子电池界面形成过程中石墨或锂金属表面的对水的消耗,从而成功解决了水系电解液的“阴极挑战”,结果如图2所示。[3]在第一个充电过程中发生还原分解时,高度氟化的添加剂会形成保护性的界面,使石墨和锂金属阳极在水系电解液中可逆循环。将这些受保护的阳极材料与各种阴极材料结合在一起,将组成一系列4.0 V级锂离子电池,其能量密度接近最新的LIB,但安全性大大提高。尽管这种4.0 V级水系锂离子电池的循环稳定性需要进一步改善,但它们的出现代表了跨越分隔水性和非水性电池间隙的根本突破。随着界面化学的进一步完善,与现有技术的LIB相比,具有能量密度和可逆性优良的水系LIB将成为现实,但无需担心后者的安全性。
图2. 4.0 V稳定性窗口和水系电解液在石墨化时的稳定性。

日本丰田中央研究院Tohru Shiga基于磷酸酯酰胺作为一种新型的自熄溶解研究了包含两个氟化烷基和一个氨基的磷酸酯酰胺((CF3CH2O)2(NR1R2)P=O(PNR1R2))。[4]双(氟磺酰基)酰胺锂(LiFSA)和PNR1R2的摩尔比为0.5时的高浓度电解液在过充电下的热稳定性取决于氨基取代基的修饰。引入苯基(R1=CH3,R2=C6H5)对于改善热稳定性是有效的。通常伴随溶剂与带电石墨阳极反应的气体和热量的释放被大大抑制。密度泛函理论计算表明,PNR1R2在0.5 V(相对于Li+/Li)附近发生还原分解,表明Li离子将难以嵌入石墨。但是,使用LiFSA和PNR1R2的高浓度电解液降低了PNR1R2的还原电位,不仅使Li离子插入石墨中,而且还实现了可逆的Li脱嵌,如图3所示。
图3. 在不同LiFSA/PNMePh比例的电解液中石墨/Li电池的充放电曲线。

【锂硫电池】
日本横滨国立大学Masayoshi Watanabe组系统研究了基于双(三氟甲磺酰基)酰胺锂(LiTFSA)和环丁砜(SL)组成的电解液的迁移特性和锂离子配位。[5]在高浓度区域,锂离子的扩散明显快于SL和TFSA阴离子。SL磺酰基的两个氧原子趋向于与两个不同的相邻Li离子配位,TFSA阴离子与Li离子形成离子簇,从而验证了先前观察到的异常Li离子传导及其与SL和阴离子桥联的相关性链状锂离子配位结构,用于基于SL的浓缩体系与其他锂盐的结合。此外,向基于SL的浓缩电解液中添加氢氟醚(HFE)大大提高了扩散系数,但将链状锂离子配位分解为较小的簇,导致锂离子跳跃对整个锂离子传导的贡献减少。与以前报道的基于四甘醇二甲醚的电解液相比,基于SL的浓电解液及其与HFE的混合物显示出较低的多硫化锂溶解度和较好的锂-硫(Li-S)电池倍率性能。发现基于SL的电解液作为少量溶剂化的电解液在锂离子质量转移方面表现出显著改善,从而使高性能Li-S电池中的固态硫氧化还原反应成为可能,如图4所示。
图4. Li-S电池的在不同电解液中的倍率性能。

美国佐治亚理工学院Gleb Yushin教授课题组通过使用5M的双(氟代磺酰基)酰亚胺锂(LiFSI)基电解液在S基阴极颗粒上原位诱导形成保护性涂层,这样既可以降低电池成本,又可以确保很高的涂层均匀性。[6]特别是,作者证明了双(氟代磺酰基)酰亚胺锂(LiFSI)基电解液的电化学还原以及多硫化物与FSI–阴离子之间的相互作用可以形成非常有效的保护涂层。这种涂层抑制了S穿梭(CE接近100%),同时Li-S电池在60°C下进行的加速测试过程中表现出非常稳定的长期循环性能(1000次循环以上),如图5所示。
图5. 含不同电解液的Li-S电池在60°C下的循环性能。

【锂空气电池】
美国波士顿学院Dunwei Wang教授组研究表明通过使用不包含有机溶剂的盐包水电解液体系可以解决Li-O2电池系统中由于含氧物质的高反应活性使得已知的有机电解液稳定性差的问题。[7]本质上,该电解液由超浓缩LiTFSI(双(三氟甲磺酰基)酰亚胺锂)组成,其中H2O分子被锁定在离子上,并且对Li2O2或其他氧物种的反应性很小。最终结果是一种高效电解液可在阴极上稳定地运行的Li-O2电池,并具有出色的循环寿命(如图6所示)。该研究为高性能Li-O2电池打开了新的大门。
图6. Li-O2电池在盐包水电解液体系中的循环性能。

【钠离子电池】
日本东京大学Atsuo Yamada教授课题组研究报道了超浓缩钠盐电解液的非凡钝化能力。[8]例如,50 mol%的双(氟磺酰基)酰胺钠(NaFSA)/琥珀腈(SN)电解液无需任何电解液添加剂、功能性粘合剂或电极预处理,就可以将Na+高度可逆地嵌入硬碳负极中,如图7所示。重要的是,通过在充电时优先还原阴离子的来形成源自阴离子的钝化膜,这可以有效地抑制电解液的进一步还原。作为电解液的结构特征,大多数阴离子在高浓度下与多个Na+阳离子配位,从而使阴离子的最低未占用分子轨道(LUMOs)向下移动,从而导致优先进行阴离子还原。本工作提供了有关阴离子配位状态的钝化机理的新认识。
图7. 硬碳/Na半电池在不同电解液中的电化学性能。

韩国首尔国立大学Kisuk Kang教授团队针对高浓度电解液体系低成本溶质进行了开发。[9]结果发现在水系电解液中使用NaClO4溶质可通过抑制水分解有效地拓宽电化学稳定性窗口,并诱导形成稳定的固体电解质中间相(SEI)而无需涉及盐阴离子的还原。SEI层由Na2CO3和包括NaOH的Na-O化合物组成,可确保由Na4Fe3(PO4)2(P2O7)阴极和NaTi2(PO4)3阳极组成的全电池在较长的时间内具有出色的电化学存储稳定性。这类新的电解液系统具有出色的循环稳定性,在200℃下1C循环时库仑效率达到99%,这优于基于NaCF3SO3的最新超浓缩体系,如图8所示。
图8. Na4Fe3(PO4)2(P2O7)/NaTi2(PO4)3全电池在不同电解液中的电化学性能。

【参考文献】
[1] Oleg Borodin, Julian Self, Kristin A. Persson, Chunsheng Wang, Kang Xu, Uncharted Waters: Super-Concentrated Electrolytes, Joule 2020, 4, 69-100.
[2] Jianhui Wang, Yuki Yamada, Keitaro Sodeyama, Ching Hua Chiang, Yoshitaka Tateyama, Atsuo Yamada, Superconcentrated Electrolytes for a High-Voltage Lithium-Ion Battery, Nature Comm. 2016, 7, 1-9.
[3] Chongyin Yang, Ji Chen, Tingting Qing, Xiulin Fan, Wei Sun, Arthur von Cresce, Michael S. Ding, Oleg Borodin, Jenel Vatamanu, Marshall A. Schroeder, Nico Eidson, Chunsheng Wang, Kang Xu, 4.0 V Aqueous Li-Ion Batteries, Joule 1, 122–132.
[4] Tohru Shiga, Chika-aki Okuda, Yuichi Kato, Hiroki Kondo, Highly Concentrated Electrolytes Containing a Phosphoric Acid Ester Amide with Self-Extinguishing Properties for Use in Lithium Batteries, J. Phys. Chem. C 2018, 122, 9738-9745.
[5] Azusa Nakanishi, Kazuhide Ueno, Daiki Watanabe, Yosuke Ugata, Yoshiharu Matsumae, Jiali Liu, Morgan L. Thomas, Kaoru Dokko, Masayoshi Watanabe, Sulfolane-Based Highly Concentrated Electrolytes of Lithium Bis(trifluoromethanesulfonyl)amide: Ionic Transport, Li-Ion Coordination, and Li-S Battery Performance, J. Phys. Chem. C 2019, 123, 14229-14238.
[6] Hyea Kim, Feixiang Wu, Jung Tae Lee, Naoki Nitta, Huan-Ting Lin, Martin Oschatz, Won Il Cho, Stefan Kaskel, Oleg Borodin, Gleb Yushin, In Situ Formation of Protective Coatings on Sulfur Cathodes in Lithium Batteries with LiFSI-Based Organic Electrolytes, Adv. Energy Mater. 2014, 1401792.
[7] Qi Dong, Xiahui Yao, Yanyan Zhao, Miao Qi, Xizi Zhang, Hongyu Sun, Yumin He, Dunwei Wang, Cathodically Stable Li-O2Battery Operations Using Water-in-Salt Electrolyte, Chem 2018, 4, 1345-1358.
[8] Koji Takada, OrcidYuki Yamada, Eriko Watanabe, OrcidJianhui Wang, Keitaro Sodeyama, Yoshitaka Tateyama, OrcidKazuhisa Hirata, Takeo Kawase, Atsuo Yamada, Unusual Passivation Ability of Superconcentrated Electrolytes toward Hard Carbon Negative Electrodes in Sodium-Ion Batteries, ACS Appl. Mater. Interfaces 2017, 9, 39, 33802-33809.
[9] Myeong Hwan Lee, Sung Joo Kim, Donghee Chang, Jinsoo Kim, Sehwan Moon, Kyungbae Oh, Kyu-Young Park, Won Mo Seong, Hyeokjun Park, Giyun Kwon, Byungju Lee, Kisuk Kang, Toward a Low-Cost High-Voltage Sodium Aqueous Rechargeable Battery, Materials Today 2019, 29, 26-36.
本文由夏天的白羊供稿。
欢迎大家到材料人宣传HTH官网地址 成果并对文献进行深入解读,投稿邮箱: tougao@cailiaoren.com.
投稿以及内容合作可加编辑微信:cailiaorenVIP。





